Временная стоимость денег и ее учет в оценке инвестиционных проектов
Понятие временной стоимости денег приобрело особую актуальность в нашей стране с началом перехода к рыночной экономике. Причин тому было несколько: инфляция, расширившиеся возможности приложения временно свободных средств, снятие всевозможных ограничений в отношении формирования финансовых ресурсов хозяйствующими субъектами и др. Появившаяся свобода в манипулировании денежными средствами и привела к осознанию факта, который в условиях централизованно планируемой экономики по сути не был существенным, и смысл которого заключается в том, что деньги помимо прочего имеют еще одну объективно существующую характеристику, а именно – временную ценность.
В наиболее общем виде смысл понятия «временная стоимость денег» может быть выражен фразой – рубль, имеющийся в распоряжении сегодня, и рубль, ожидаемый к получению в некотором будущем, не равны, а именно, первый имеет большую ценность по сравнению со вторым.
Логика построения основных алгоритмов, позволяющих ориентироваться в истинной цене будущих поступлений с позиции текущего момента, достаточно проста и основана на следующей идее. Простейшим видом финансовой сделки является однократное предоставление в долг некоторой суммы PV с условием, что через какое-то время t будет возвращена большая сумма FV (инвестирование, по сути, также представляет собой «предоставление денег в долг» с надеждой вернуть их с прибылью в виде поступлений, генерируемых принятым проектом). Как известно, результативность подобной сделки может быть охарактеризована двояко: либо с помощью абсолютного показателя – прироста (FV – PV), либо путем расчета некоторого относительного показателя. Абсолютные показатели чаще всего не подходят для подобной оценки ввиду их несопоставимости в пространственно-временном аспекте. Поэтому пользуются специальным коэффициентом – ставкой. Этот показатель рассчитывается отношением приращения исходной суммы к базовой величине, в качестве которой можно брать либо PV, либо FV. Таким образом, ставка рассчитывается по одной из двух формул:

В финансовых вычислениях первый показатель имеет еще названия «процентная ставка», «процент», «рост», «ставка процента», «норма прибыли», «доходность», а второй – «учетная ставка», «дисконт». Итак, в любой простейшей финансовой сделке всегда присутствуют три величины, две из которых заданы, а одна является искомой. Процесс, в котором заданы исходная сумма и процентная ставка, в финансовых вычислениях называется процессом наращения. Процесс, в котором заданы ожидаемая в будущем к получению (возвращаемая) сумма и коэффициент дисконтирования, называется процессом дисконтирования. В первом случае речь идет о движении денежного потока от настоящего к будущему, во втором – о движении от будущего к настоящему. Необходимо отметить, что в качестве коэффициента дисконтирования может использоваться либо процентная ставка (математическое дисконтирование), либо учетная ставка (банковское дисконтирование).
Экономический смысл финансовой операции, задаваемой формулой

, состоит в определении величины той суммы, которой будет или желает располагать инвестор по окончании этой операции. На практике доходность является величиной непостоянной, зависящей главным образом от степени риска, ассоциируемого с данным видом бизнеса, в который сделано инвестирование капитала. Связь здесь прямо пропорциональная – чем рискованнее бизнес, тем выше значение доходности. Наименее рискованны вложения в государственные ценные бумаги или в государственный банк, однако доходность операции в этом случае относительно невысока. Величина FV показывает как бы будущую стоимость «сегодняшней» величины PV при заданном уровне доходности. Экономический смысл дисконтирования заключается во временном упорядочении денежных потоков различных временных периодов. Коэффициент дисконтирования показывает, какой ежегодный процент возврата хочет (или может) иметь инвестор на инвестируемый им капитал. В этом случае искомая величина PV показывает как бы текущую, «сегодняшнюю» стоимость будущей величины FV.
Предоставляя свои денежные средства в долг, их владелец получает определенный доход в виде процентов, начисляемых по некоторому алгоритму в течение определенного промежутка времени. Поскольку стандартным временным интервалом в финансовых операциях является 1 год, наиболее распространен вариант, когда процентная ставка устанавливается в виде годовой ставки, подразумевающей однократное начисление процентов по истечении года после получения ссуды. Известны две основные схемы дискретного начисления:
• схема простых процентов;
• схема сложных процентов.
Схема простых процентов предполагает неизменность базы, с которой происходит начисление. Пусть исходный инвестируемый капитал равен P; требуемая доходность – r (в долях единицы). Считается, что инвестиция сделана на условиях простого процента, если инвестированный капитал ежегодно увеличивается на величину P · r. Таким образом, размер инвестированного капитала через n лет (Rn) будет равен:
Rn = P · (1 + n · r)
Считается, что инвестиция сделана на условиях сложного процента, если очередной годовой доход исчисляется не с исходной величины инвестированного капитала, а с общей суммы, включающей также и ранее начисленные и невостребованные инвестором проценты. В этом случае происходит капитализация процентов по мере их начисления, т. е. база, с которой начисляются проценты, все время возрастает. Следовательно, размер инвестированного капитала будет равен:
Fn = P · (1 + r)n
Эта формула может быть переписана следующим образом:
Fn = P · FM1(r,n),
где FM1(r,n) = (1+r)n– мультиплицирующий множитель.
Экономический смысл множителя FM1(r,n) состоит в следующем: он показывает, чему будет равна одна денежная единица (один рубль, один доллар, одна иена и т. п.) через n периодов при заданной процентной ставке r.
Оценивая целесообразность финансовых вложений в тот или иной вид бизнеса, исходят из того, является это вложение более прибыльным (при допустимом уровне риска), чем вложения в государственные ценные бумаги, или нет. Используя несложные методы, пытаются проанализировать будущие доходы при минимальном, «безопасном» уровне доходности.
Основная идея этих методов заключается в оценке будущих поступлений Fn (например, в виде прибыли, процентов, дивидендов) с позиции текущего момента. Базовая расчетная формула для такого анализа является следствием формулы (4):

, где Fn– доход, планируемый к получению в n-м году;
P – текущая (или приведенная) стоимость, т. е. оценка величины Fn с позиции текущего момента;
r – коэффициент дисконтирования.
Экономический смысл такого представления заключается в следующем: прогнозируемая величина денежных поступлений через n лет (Fn) с позиции текущего момента будет больше и равна P (поскольку знаменатель дроби больше единицы). Это означает также, что для инвестора сумма P в данный момент времени и сумма Fn через n лет одинаковы по своей ценности. Используя эту формулу, можно приводить в сопоставимый вид оценку доходов от инвестиций, ожидаемых к поступлению в течение ряда лет. В этом случае коэффициент дисконтирования численно равен процентной ставке, устанавливаемой инвестором, т. е. тому относительному размеру дохода, который инвестор хочет или может получить на инвестируемый им капитал. Определяя коэффициент дисконтирования, обычно исходят из так называемого безопасного или гарантированного уровня доходности финансовых инвестиций, который обеспечивается государственным банком по вкладам или при операциях с ценными бумагами. При этом может даваться надбавка за риск, причем, чем более рисковым считается рассматриваемый проект или финансовый контракт, тем больше размер премии за риск. Иными словами, процентная ставка rd, используемая в качестве коэффициента дисконтирования, будет в этом случае иметь следующий вид:
rd = rf + ry
где rf – безрисковая доходность;
Множитель FM2(r,k)=1/(1+r)n называется дисконтирующим множителем. Экономический смысл дисконтирующего множителя FM2(r,k) заключается в следующем: он показывает «сегодняшнюю» цену одной денежной единицы будущего, т. е. чему с позиции текущего момента равна одна денежная единица (например, один рубль), циркулирующая в сфере бизнеса k периодов спустя от момента расчета, при заданных процентной ставке (доходности) r и частоте начисления процента. Одним из основных элементов финансового анализа вообще и оценки инвестиционных проектов в частности является оценка денежного потока C1, C2,…, Cn, генерируемого в течение ряда временных периодов в результате реализации какого-либо проекта или функционирования того или иного вида активов. Временные периоды чаще всего предполагаются равными. Также считается, что генерируемые в рамках одного временного периода поступления имеют место либо в его начале, либо в его конце, т. е. они не распределены внутри периода, а сконцентрированы на одной из его границ. В первом случае поток называется потоком пренумерандо, или авансовым, во втором – потоком постнумерандо.
Оценка денежного потока может выполняться в рамках решения двух задач: а) прямой, т. е. проводится оценка с позиции будущего (реализуется схема наращения); б) обратной, т. е. проводится оценка с позиции настоящего (реализуется схема дисконтирования).
Прямая задача предполагает суммарную оценку наращенного денежного потока, т. е. в ее основе лежит будущая стоимость. В частности, если денежный поток представляет собой регулярные начисления процентов на вложенный капитал (Р) по схеме сложных процентов, то в основе суммарной оценки наращенного денежного потока лежит формула (4).
Обратная задача предполагает суммарную оценку дисконтированного (приведенного) денежного потока. Поскольку отдельные элементы денежного потока генерируются в различные временные интервалы, а деньги имеют временную ценность, непосредственное их суммирование невозможно. Одним из ключевых понятий в финансовых и коммерческих расчетах является понятие аннуитета. Логика, заложенная в схему аннуитетных платежей, широко используется при оценке долговых и долевых ценных бумаг, в анализе инвестиционных проектов, а также в анализе аренды.
Аннуитет представляет собой частный случай денежного потока, а именно, это поток, в котором денежные поступления в каждом периоде одинаковы по величине. Если число равных временных интервалов ограничено, аннуитет называется срочным.
В этом случае: C1 = C2 =… = Сn = A
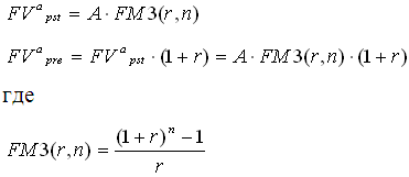
Для оценки будущей и приведенной стоимости аннуитета можно пользоваться формулами (3.4) и (3.6), вместе с тем благодаря специфике аннуитетов в отношении равенства денежных поступлений эти формулы могут быть существенно упрощены. В частности, для решения прямой задачи оценки срочных аннуитетов постнумерандо и пренумерандо при заданных величинах регулярного поступления (A) и процентной ставке (r) можно воспользоваться формулами:

Экономический смысл FM3(r,n), называемого мультиплицирующим множителем для аннуитета, заключается в следующем: он показывает, чему будет равна суммарная величина срочного аннуитета в одну денежную единицу (например, один рубль) к концу срока его действия. Предполагается, что производится лишь начисление денежных сумм, а их изъятие может быть сделано по окончании срока действия аннуитета.
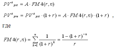
Для решения обратной задачи оценки срочных аннуитетов постнумерандо и пренумерандо, являющейся основной при анализе инвестиционных проектов, денежные притоки которых имеют вид аннуитетных поступлений, можно воспользоваться формулами:

Экономический смысл FM4(r,n), называемого дисконтирующим множителем для аннуитета, заключается в следующем: он показывает, чему равна с позиции текущего момента величина аннуитета с регулярными денежными поступлениями в размере одной денежной единицы (например, один рубль), продолжающегося n равных периодов с заданной процентной ставкой r.
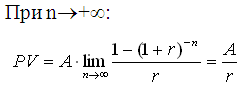
В некоторых методиках анализа инвестиционных проектов используется техника оценки бессрочного аннуитета. Аннуитет называется бессрочным, если денежные поступления продолжаются достаточно длительное время (в западной практике к бессрочным относятся аннуитеты, рассчитанные на 50 и более лет).
В этом случае прямая задача смысла не имеет. Что касается обратной задачи, то ее решение делается на основе формулы (11).
Более 800 000 книг и аудиокниг! 📚
Получи 2 месяца Литрес Подписки в подарок и наслаждайся неограниченным чтением
ПОЛУЧИТЬ ПОДАРОКДанный текст является ознакомительным фрагментом.
Денис Александрович Шевчук
Просмотр ограничен
Смотрите доступные для ознакомления главы 👉