Метод внутренней ставки дохода
Под нормой рентабельности инвестиции (внутренней ставкой дохода, внутренней нормой прибыли) (IRR) понимают значение коэффициента дисконтирования, при котором NPV проекта равен нулю:
IRR = r, при котором NPV = f(r) = 0.
Иными словами, это абсцисса точки пересечения графика y=f(r) (y=NPV) с осью r.
Смысл расчета этого коэффициента при анализе эффективности планируемых инвестиций заключается в следующем: IRR показывает максимально допустимый относительный уровень расходов, которые могут быть ассоциированы с данным проектом. Например, если проект полностью финансируется за счет ссуды коммерческого банка, то значение IRR показывает верхнюю границу допустимого уровня банковской процентной ставки, превышение которого делает проект убыточным.
На практике любое предприятие финансирует свою деятельность, в том числе и инвестиционную, из различных источников. В качестве платы за пользование авансированными в деятельность предприятия финансовыми ресурсами оно уплачивает проценты, дивиденды, вознаграждения и т. п., т. е. несет некоторые обоснованные расходы па поддержание своего экономического потенциала. Показатель, характеризующий относительный уровень этих расходов, можно назвать «ценой» авансированного капитала (CC). Этот показатель отражает сложившийся на предприятии минимум возврата на вложенный в его деятельность капитал, его рентабельность и рассчитывается по формуле средней арифметической взвешенной.
Экономический смысл этого показателя заключается в следующем: предприятие может принимать любые решения инвестиционного характера, уровень рентабельности которых не ниже текущего значения показателя CC (или цены источника средств для данного проекта, если он имеет целевой источник). Именно с ним сравнивается показатель IRR, рассчитанный для конкретного проекта, при этом связь между ними такова.
Если: IRR > CC. то проект следует принять;
IRR < CC, то проект следует отвергнуть;
IRR = CC, то проект ни прибыльный, ни убыточный.
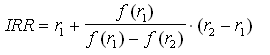
Практическое применение данного метода осложнено, если в распоряжении аналитика нет специализированного финансового калькулятора. В этом случае применяется метод последовательных итераций с использованием табулированных значений дисконтирующих множителей. Для этого с помощью таблиц выбираются два значения коэффициента дисконтирования r1< r2 таким образом, чтобы в интервале (r1,r2) функция NPV=f(r) меняла свое значение с "+" на «-» или с «-» на "+". Далее применяют формулу

где r1 – значение табулированного коэффициента дисконтирования, при котором f(r1)>0 (f(r1)<0); r2 – значение табулированного коэффициента дисконтирования, при котором f(r2)<О (f(r2)>0).
Точность вычислений обратно пропорциональна длине интервала (r1,r2), а наилучшая аппроксимация с использованием табулированных значений достигается в случае, когда длина интервала минимальна (равна 1 %), т. е. r1 и r2 – ближайшие друг к другу значения коэффициента дисконтирования, удовлетворяющие условиям (в случае изменения знака функции с "+" на "-"):
r1 – значение табулированного коэффициента дисконтирования, минимизирующее положительное значение показателя NPV, т. е. f(r1)=minr{f(r)>0};
r2 – значение табулированного коэффициента дисконтирования, максимизирующее отрицательное значение показателя NPV, т. е. f(r2)=maxr{f(r)<0}.
Путем взаимной замены коэффициентов r1 и r2 аналогичные условия выписываются для ситуации, когда функция меняет знак с «-» на "+".
Более 800 000 книг и аудиокниг! 📚
Получи 2 месяца Литрес Подписки в подарок и наслаждайся неограниченным чтением
ПОЛУЧИТЬ ПОДАРОКДанный текст является ознакомительным фрагментом.
Денис Александрович Шевчук
Просмотр ограничен
Смотрите доступные для ознакомления главы 👉