Метод цепного повтора в рамках общего срока действия проектов
Пусть проекты A и B рассчитаны соответственно на i и j лет. В этом случае рекомендуется:
? найти наименьшее общее кратное сроков действия проектов N = НОК (i,j);
? рассматривая каждый из проектов как повторяющийся, рассчитать с учетом фактора времени суммарный NVP проектов A и B, реализуемых необходимое число раз в течение периода N;
? выбрать тот проект из исходных, для которого суммарный NPV повторяющегося потока имеет наибольшее значение.
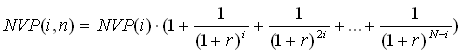
Суммарный NPV повторяющегося потока находится по формуле:

где NPV(i) – чистый приведенный эффект исходного проекта;
i – продолжительность этого проекта;
r – коэффициент дисконтирования в долях единицы;
N – наименьшее общее кратное;
n – число повторений исходного проекта (оно характеризует число слагаемых в скобках).
Более 800 000 книг и аудиокниг! 📚
Получи 2 месяца Литрес Подписки в подарок и наслаждайся неограниченным чтением
ПОЛУЧИТЬ ПОДАРОКДанный текст является ознакомительным фрагментом.
Денис Александрович Шевчук
Просмотр ограничен
Смотрите доступные для ознакомления главы 👉