3.3. Допустимая ошибка (уровень существенности)
Выше мы отметили, что одной из задач теории аудита являются разработка и обоснование методов выбора уровня существенности (допустимой ошибки).
Что такое существенность? Как мы уяснили, предметом аудита является информация[5], сосредоточенная в бухгалтерской отчетности. Существенность – это свойство информации, которое делает ее способной влиять на экономические решения пользователя этой информации. А уровень существенности – это тот максимально допустимый размер ошибки, искажения, который может быть показан в информации, содержащейся в бухгалтерской отчетности, и который не введет квалифицированного пользователя в заблуждение относительно этой информации. Соответственно если сумма ошибок в отчетности превышает уровень существенности, то квалифицированный пользователь отчетности, скорее всего, будет не в состоянии сделать на ее основе правильные выводы. Другими словами, уровень существенности – это допустимая ошибка бухгалтерской отчетности.
Уровень существенности (допустимая ошибка) зависит от многих факторов, в том числе достаточно субъективных: важности показателя бухгалтерской отчетности для пользователя, ответственности решения, принимаемого пользователем, консервативности аудитора и т. д.
Серьезных исследований влияния уровня существенности бухгалтерской информации на процесс принятия решения среднестатистическим пользователем пока практически не проводилось. Поэтому при выборе уровня существенности приходится опираться на эмпирический опыт аудиторских фирм, который формировался в процессе конкурентной борьбы между ними. Подобный опыт показывает, что аудиторские фирмы, которые устанавливают слишком низкие значения уровня существенности, увеличивают трудозатраты на проведение проверки, удорожают ее стоимость, чем проигрывают своим конкурентам. Фирмы же, которые устанавливают слишком высокие значения уровня существенности, увеличивают вероятность совершения ими ошибок (увеличивают аудиторский риск), вследствие чего страдает их репутация. Исходя из этого выработанная опытом ведущих аудиторских фирм «золотая середина» уровня существенности в процентах от значения показателя, показанного в отчетности, составляет 1-10%, в том числе 1-5% для выручки от продаж; 5-10% для балансовой прибыли (прибыли до налогообложения); 1-10% для валюты баланса [10]. Конкретное же числовое значение уровня существенности должно устанавливаться аудитором (аудиторской фирмой) в соответствии с методикой, установленной своим внутрифирменным аудиторским стандартом.
При разработке метода выбора уровня существенности аудитору необходимо решить как минимум две задачи:
• выбрать показатели бухгалтерской отчетности, для которых будет установлен уровень существенности (так называемые «базовые показатели»);
• установить уровень существенности для каждого из выбранных показателей (базовых показателей).
Рассмотрим вопрос выбора базовых показателей.
В соответствии с федеральным аудиторским стандартом № 4 «Существенность в аудите» аудитор должен устанавливать уровень существенности:
• для отчетности в целом (т. е. для валюты баланса; для балансовой прибыли);
• для остатков (сальдо) по счетам бухгалтерского учета (т. е. для статей баланса – активов, обязательств, составляющих капитала);
• для групп однотипных операций – оборотов по счетам бухгалтерского учета (т. е. для статей отчета о прибылях и убытках – доходах и расходах).
Кроме того, аудитор должен оценивать существенность для случаев раскрытия информации (т. е. оценивать существенность пропуска или искажения фактов, подлежащих раскрытию в пояснительной записке).
Возникает вопрос: все ли показатели отчетности, перечисленные в стандарте, аудитор должен выбирать в качестве базовых?
Нет, федеральный аудиторский стандарт № 4 «Существенность в аудите» указывает, что при решении вопроса выбора базовых показателей аудитор может исходить из оценки существенности. Это означает, что статьи отчетности, сумма которых несущественна, аудитор вправе в качестве базовых не выбирать (т. е. не подвергать их документальной проверке, а ограничиться, например, аналитической процедурой).
Рассмотрим пример выбора аудитором базовых показателей бухгалтерской отчетности.
Пример. В качестве базового показателя выбрана валюта (актив) баланса (табл. 3.2). Уровень существенности для валюты баланса установлен в размере 5% (6280 тыс. руб.). Сравнивая суммы статей с размером уровня существенности валюты баланса, видим, что статьи 250, 260 и 270 актива менее уровня существенности валюты баланса, т. е. несущественны. Исходя из рекомендации федерального аудиторского стандарта № 4 аудитор выбрал статьи 190 «Внеоборотные активы», 210 «Запасы», 230 + 240 «Дебиторская задолженность» в качестве базовых показателей. Статьи 250 «Краткосрочные финансовые вложения» и 270 «Прочие оборотные средства» аудитор счел возможным не подвергать документальной проверке, а ограничиться аналитической процедурой – сравнением с результатами проверки предыдущего отчетного года. Статью 260 «Денежные средства» аудитор в качестве базовой не выбрал (т. е. для нее уровень существенности назначаться не будет), но решил подвергнуть ее документальной проверке вследствие высокой вероятности наличия нарушений действующих нормативных актов при совершении и отражении операций по этой статье.
Таблица 3.2. Актив баланса проверяемого предприятия


После выбора базовых показателей перед аудитором стоит задача установления для них уровня (уровней) существенности. Здесь необходимо иметь в виду следующее.
Из соображения экономии трудозатрат аудитору выгоднее принять максимально возможный уровень существенности, но, как мы увидим в дальнейшем, размер уровня существенности влияет на величину вероятности определения ожидаемой ошибки (величину аудиторского риска).
Поэтому аудиторской фирме в своем внутреннем стандарте целесообразно установить приемлемые пределы уровня существенности (например, Smin = 1% и Smax = 5%) и в ходе планирования изначально выбрать максимальное его значение, а дальнейшую корректировку S осуществлять исходя из полученной оценки аудиторского риска, добиваясь его минимизации.
Рассмотрим вопрос выбора уровней существенности для валюты баланса и статей баланса. Поскольку валюта баланса А складывается из суммы статей баланса А = А + А2 + … + Ап (А1, А2, … Ап – статьи баланса), то уровень существенности валюты баланса также связан с уровнями существенности статей баланса.
Как показано в [15], практически со стопроцентной надежностью можно полагать, что если:
А = А1 + А2 + … + Ап ,
то SА = S1 + S2 + … + Sп ,
где SА – допустимая ошибка (уровень существенности) в абсолютных единицах валюты баланса А; S1, S2,…, Sn – допустимые ошибки (уровни существенности) статей баланса А1, А2,…, Ап соответственно.
На практике уровни существенности (S1, S2,…, Sn) статей баланса, выбранных в качестве базовых, обычно получают путем распределения уровня существенности SA валюты баланса между статьями баланса пропорционально их величине [3, 6].
Рассмотрим на примере определение уровня существенности статей баланса с помощью подобного подхода.
Пример. Аудитором (см. табл. 3.2) выбран ряд статей актива баланса в качестве базовых показателей. Выбранные статьи приведены в табл. 3.3.
Таблица 3.3. Базовые показатели актива баланса проверяемого предприятия

Уровень существенности валюты баланса SA = 5% (SA = 6,3 млн руб. – с округлением до сотен тысяч). Определяем уровни существенности статей баланса, выбранных в качестве базовых показателей:

Проверка: S1 + S2 + S3 = 2,1 + 2,4 + 1,8 = 6,3.
В ряде случаев (особенно при проверке больших предприятий бригадой аудиторов, когда дебетовый и кредитовый обороты какого-либо счета могут проверять разные аудиторы) бывает необходимо распределить уровень существенности, установленный для статьи баланса (сальдо по счету), между дебетовым и кредитовым оборотами этого счета. В подобном случае может быть применен подход, аналогичный вышеизложенному.
Пример. Аудитору необходимо установить уровень существенности для дебетовых и кредитовых оборотов счета 62 «Расчеты с покупателями и заказчиками». Конечное сальдо (дебетовое) счета 62 составляет 32 520 тыс. руб. (см. табл. 3.3). Уровень существенности для него определен в сумме 1800 тыс. руб. (см. предыдущий пример). Конечное сальдо СК связано с дебетовым ОД и кредитовым ОК оборотами счета зависимостью СК = СН + ОД – ОК, где СН – начальное сальдо. В рассматриваемом примере ОД = 68 720 тыс. руб., ОК = 63 275 тыс. руб., СН = 27 075 тыс. руб.
Если предыдущий отчетный период проверен и подтвержден аудитором, то начальное сальдо СН – достоверно (уровень существенности для него равен нулю). Тогда уровень существенности конечного сальдо (1800 тыс. руб.) может быть распределен между оборотами. Уровень существенности дебетового оборота будет равен:

Уровень существенности кредитового оборота составит:

Теперь рассмотрим вопрос оценки уровней существенности балансовой прибыли и статей отчета о прибылях и убытках.
Если в качестве базовых показателей выбраны балансовая прибыль и статьи отчета о прибылях и убытках (доходы и расходы), то уровни существенности доходов и расходов могут быть получены путем распределения уровня существенности балансовой прибыли аналогично тому, как это было описано выше.
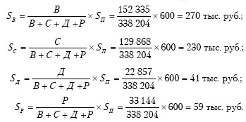
Пример. Аудитору необходимо установить уровни существенности статей отчета о прибылях и убытках проверяемой организации. Отчет приведен в табл. 3.4.
Уровень существенности балансовой прибыли принят в размере = 5% (Sn = 600 тыс. руб.). Определим уровни существенности выручки от продаж SB, себестоимости продукции SС, прочих доходов SД прочих расходов SР

Проверка: SB + SС + SД + SР = 270 + 230 + 41 + 59 = 600 тыс. руб.
В другом случае при аудиторской проверке организации балансовая прибыль оказалась несущественной. В качестве базовых показателей были выбраны доходы и расходы.
Таблица 3.4. Отчет о прибылях и убытках

Пример
Таблица 3.5. Отчет о прибылях и убытках

Уровни существенности базовых показателей (доходов и расходов) приняты аудитором в размере 2% (SВ = 3000 тыс. руб.; SС = 2600 тыс. руб.; Р = 440 тыс. руб.).
Более 800 000 книг и аудиокниг! 📚
Получи 2 месяца Литрес Подписки в подарок и наслаждайся неограниченным чтением
ПОЛУЧИТЬ ПОДАРОКДанный текст является ознакомительным фрагментом.