3.5. Связь уровня существенности с аудиторским риском
Выше (см. параграф 3.4) мы определили аудиторский риск как вероятность события, заключающегося в том, что в бухгалтерской отчетности может оказаться существенная ошибка (Q > S), и при ее наличии аудитор составит заключение, исходящее из того, что ожидаемая ошибка несущественна (К < S).
Из определения следует, что уровень существенности S должен каким-то образом влиять на аудиторский риск (точнее, на его компоненты). Влияние уровня существенности на аудиторский риск отмечает и федеральный аудиторский стандарт № 4 «Существенность в аудите», который указывает, что аудитор может снижать уровень существенности «в целях уменьшения вероятности необнаружения искажений» (т. е. в целях уменьшения риска необнаружения – п. 10 стандарта).
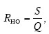
Проанализируем, как зависит от уровня существенности риск необнаружения RHO. Вспомним, что риск необнаружения – это вероятность события, заключающегося в том, что аудитор не обнаружит существенные искажения (искажения, превышающие уровень существенности) в бухгалтерской отчетности. Пусть S – уровень существенности, установленный аудитором, Q – действительная ошибка, содержащаяся в бухгалтерской отчетности (Q > S). Пусть К – ожидаемая ошибка, определенная аудитором. Тогда риск необнаружения RHO – вероятность того, что величина К будет удовлетворять неравенству 0 < К < S (при Q > S).
Введем понятие ошибки аудитора X, где X = Q – К.
Тогда риск необнаружения RHO будет являться вероятностью события, заключающегося в том, что случайная величина X будет удовлетворять неравенству Q – S <X< Q.
Предположим, что случайная величина X распределена равномерно, т. е. имеет равную вероятность попасть в любую точку диапазона Q – S ? Q. Тогда вероятность выполнения неравенства Q – S < X < Q будет равна отношению:

или
RHO = B?s, (3.7)
где B – коэффициент пропорциональности, s – уровень существенности (в долях единицы).
Из приведенного отношения следует, что уменьшение s вызывает пропорциональное уменьшение риска необнаружения RHO, на что и указывает федеральный аудиторский стандарт № 4 в п. 10.
Итак, риск необнаружения с уменьшением уровня существенности снижается. Но уровень существенности оказывает влияние и на другие компоненты аудиторского риска – неотъемлемый риск RHT и контрольный риск RK. Каково же это влияние?
Международный стандарт № 315 вводит понятие «риск существенных искажений» (обозначим его RCИ), равный произведению неотъемлемого и контрольного рисков: R = RHT?RK. В отличие от RHO риск RK связан с уровнем существенности обратной зависимостью: с уменьшением уровня существенности риск RCИ возрастает. Это объясняется нормальностью распределения размера бухгалтерских ошибок в бухгалтерской информации: чем меньше размер ошибок, тем чаще они встречаются. Вследствие этого при уменьшении уровня существенности все большее количество ошибок переходит в разряд существенных, из-за чего и возрастает вероятность их появления в бухгалтерской отчетности.
В литературе [15] приведены результаты экспериментального исследования, которые позволяют утверждать, что размер ошибок в бухгалтерской отчетности имеет показательное распределение, в силу чего риск существенного искажения и уровень существенности связаны зависимостью:

где ? – параметр распределения, s – уровень существенности (в долях единицы).
Рассмотрим возможность практического применения зависимостей 3.7 и 3.8 на практическом примере.
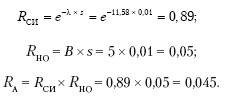
Пример. Уровень существенности установлен аудитором в размере s = 0,05 (5%). Оценка компонентов аудиторского риска при этом показала следующее: неотъемлемый риск RHT = 70%, контрольный риск RK = 80%, риск необнаружения RHО = 25%. Тогда риск существенного искажения:
RCИ = RHT?RK = 0,7?0,8 = 0,56.
Аудиторский риск:
RА = RСИ ? RНО = 0,56 ? 0,25 = 0,14.
Аудитор счел полученное значение аудиторского риска неприемлемо высоким и решил снизить его уменьшением уровня существенности до s = 1%.
Постоянные в уравнениях 3.7 и 3.8:

Значения рисков при уровне существенности, уменьшенном до 1%:

Аудиторский риск в размере 4,5% аудитор счел вполне приемлемым.
Более 800 000 книг и аудиокниг! 📚
Получи 2 месяца Литрес Подписки в подарок и наслаждайся неограниченным чтением
ПОЛУЧИТЬ ПОДАРОКДанный текст является ознакомительным фрагментом.