2.1. Наращение и дисконтирование денежных потоков
Особенностью использования базовых приемов финансовой математики в инвестиционном менеджменте является необходимость учета фактора времени. Особая важность данного фактора объясняется долгосрочностью инвестиционных вложений. Как известно, золотое правило бизнеса гласит: «Денежная сумма, полученная сегодня, больше той же суммы, полученной завтра». Такое изменение ценности денег обусловлено следующими причинами:
– настоящие деньги можно использовать как финансовый актив, приносящий доход в будущем;
– в связи с инфляционными процессами денежная единица со временем обесценивается;
– неопределенность связана с риском не получить будущие деньги.
В инвестиционном менеджменте данный фактор учитывается при измерении доходности проводимых финансовых операций посредством проведения процедур наращения и дисконтирования.
Процесс приведения настоящей стоимости денег к будущей их стоимости при заданной процентной ставке называется процессом наращения.
Процесс приведения ожидаемой в будущем к получению суммы денег к их стоимости в настоящий момент времени называется дисконтированием.
Логика данных финансовых операций отражена на рис. 8.

Рис. 8. Логика операций наращения и дисконтирования
При проведении процедуры наращения используют следующие понятия:
– процентный доход – абсолютная величина дохода от предоставления денег в долг в любой форме;
– процентная ставка – отношение суммы процентного дохода, выплаченного за фиксированный отрезок времени, к величине ссуды;
– период начисления – промежуток времени, в течение которого начисляют процент; период начисления делится на интервалы начисления;
– интервал начисления – промежуток времени, за который происходит начисление процента (год, полугодие, квартал, месяц);
– наращение (рост) первоначальной суммы – процесс увеличения суммы денег в связи с присоединением процентов к основной сумме.
В зависимости от способа начисления процентов по отношению к начальной сумме на протяжении всего периода начисления различают простые и сложные проценты.
Для простых процентов начисление осуществляются на начальную сумму. Формула наращения по простым процентам выглядит следующим образом:
где Бд – будущая стоимость денег;
Нд – настоящая стоимость денег;
n – количество периодов начисления;
i – процентная ставка.
Простые проценты обычно используются при выдаче краткосрочных ссуд, срок по которым равен одному году или менее.
Если в расчете принимают, что год равен 360 дням, то вычисляют обыкновенный, или коммерческий, процент, если 365 дням, то вычисляют точный процент.
Формула наращения по коммерческим процентам имеет вид
где Т – число дней ссуды.
При сложных процентах проценты начисляются на наращенную сумму (если проценты не выплачиваются сразу в момент их начисления). Сложные проценты применяют для долгосрочных финансово-кредитных операций. Присоединение начисленных процентов к сумме, которая служила базой для их определения, часто называют капитализацией процентов.
Для определения величины сложных процентов применяют следующую формулу:
где r – процентная ставка за начисляемый период;
t – количество периодов начисления процентов.
Например, если годовая процентная ставка равна 20 %, а проценты начисляются ежеквартально (т. е. 4 раза в год), то при определении величины наращенной за три года суммы в представленной формуле r = 20/4 = 5 % (т. е. при 20 % годовых в квартал начисляется 5 %), а t = 4 · 3 = 12 (количество периодов начисления процентов за 3 года).
Таким образом, методика расчета процентов базируется на теории наращения денежных средств по арифметической или геометрической прогрессии. Арифметическая прогрессия соответствуют простым процентам, а геометрическая – сложным.
Различают два способа начисления процентов:
1) декурсивный;
2) антисипативный.
При декурсивном способе проценты начисляются в конце каждого интервала начисления. Декурсивная процентная ставка называется ссудным процентом (i).
При антисипативном способе проценты начисляются в начале каждого интервала начисления. Антисипативная процентная ставка называется учетной ставкой (d).
И в том и в другом случае начисления процентов процентные ставки могут быть как простыми, так и сложными.
Формулы для расчета простых и сложных процентов различными способами приведены ниже:
Бд = Нд (1 + ni) – для простых декурсивных процентов;
Бд = Нд (1 + i)n – для сложных декурсивных процентов;
Бд = Нд / (1 – nd) – для простых антисипативных процентов;
Бд = Нд / (1 – d)n – для сложных антисипативных процентов.
Сравнивая данные формулы, можно заметить, что антисипативный метод начисления процентов более выгоден заемщику. В мировой практике наибольшее распространение получил декурсивный способ начисления процентов. Антисипативный метод начисления процентов применяется, как правило, в периоды высокой инфляции.
В ряде случаев при анализе эффективности различных финансовых операций определяют эквивалентные процентные ставки.
Эквивалентные процентные ставки – это процентные ставки разного вида, применение которых при одинаковых начальных условиях дает одинаковые финансовые результаты.
Под одинаковыми начальными условиями в данном случае подразумеваются одна и та же величина первоначального капитала и равные периоды начисления дохода. Исходя из этого, можно составить уравнение эквивалентности и вывести соотношение для рассматриваемых ставок.
Например, для простых ссудной и учетной ставок такие соотношения будут выглядеть следующим образом:
d = i / (1 + ni);
i = d / (1 – nd)
При проведении процедуры дисконтирования доходность инвестиций определяется на основе дисконтной ставки (нормы дисконта).
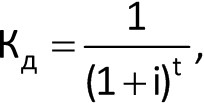
Дисконтирование осуществляется посредством корректировки (умножения) ожидаемых денежных доходов на коэффициент дисконтирования (Кд).

где i – ставка дисконтирования (норма дисконта), доли единицы.
Ставка (норма) дисконтирования – это размер прибыли, которую инвестор мог бы иметь от альтернативного вложения. Определение нормы дисконта является довольно сложной задачей. При определении нормы дисконта возможно несколько подходов.
1. Тождественность нормы дисконта с банковской ставкой. Данный подход предполагает, что альтернативным источником вложения денежных средств является размещение денег в банке под проценты. Однако, принимая во внимание, что различные банки предлагают различные ставки, сложно понять, какое именно значение следует выбрать.
2. Установление нормы дисконта в соответствии с уровнем доходности каких-либо ценных бумаг. Как правило, в данном случае используются показатели доходности казначейских обязательств.
3. Установление нормы дисконта на основе экспертных оценок финансовых специалистов предприятия.
4. Установление нормы дисконта с учетом уровня риска вложений и темпов роста инфляции.
5. Установление нормы дисконта на основе средневзвешенной стоимости капитала предприятия.
Применительно к дисконтированию также говорят о дисконтировании по простой или сложной ставке процентов.
Данный текст является ознакомительным фрагментом.