Тема 17 Количественные методы экономического обоснования размещения производств
Современная промышленность характеризуется высоким уровнем специализации. В результате углубления общественного разделения труда возникло множество отраслей, подотраслей и видов производств, образующих в своей совокупности отраслевую структуру промышленности. Отрасли специализации определяют и хозяйственный профиль регионов. Поскольку в основе рыночной специализации лежит территориальное разделение общественного труда, то и определение специализирующихся отраслей должно базироваться на выявлении доли участия района в общественном разделении труда.
Для количественного определения уровня специализации регионов используют такие показатели, как коэффициент локализации, коэффициент душевого производства и коэффициент межрайонной товарности[50].
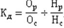
Коэффициент локализации (Кл) производства на территории региона рассчитывается отношением удельного веса данной отрасли в структуре производства региона к удельному весу той же отрасли в стране. Расчеты производятся по валовой товарной продукции, основным промышленным фондам и численности промышленно-производственного персонала:

где:
Ор – отрасль региона;
Ос – отрасль страны;
Пр – все промышленное производство региона;
Пс – все промышленное производство страны.
Коэффициент показывает, во сколько раз концентрация данной отрасли в данном регионе больше (или меньше, если значение меньше единицы), чем в целом по стране. Расчеты коэффициента локализации производятся по валовой товарной продукции, основным промышленным фондам и численности промышленно-производственного персонала.
Коэффициент душевого производства (Кд) исчисляется отношением удельного веса отрасли хозяйства региона в соответствующей структуре отрасли страны к удельному весу населения региона в населении страны:

где:
Op – отрасль региона;
Ос – отрасль страны;
Нр – население региона;
Нс – население страны.
Коэффициент показывает «сравнительную производительность» отрасли, представленной в регионе. При расчете коэффициента можно использовать общую численность населения (региона или страны), либо только численность занятого в производственной деятельности экономически активного населения. Как правило, если значение коэффициента локализации для субъекта окажется больше единицы, то рассматриваемая отрасль является отраслью специализации.
Для расчета указанных коэффициентов требуются статистические данные из сборников «Регионы России: социально-экономические показатели» «Численность населения» (для расчета коэффициента душевого производства) и другие.
Коэффициент межрайонной товарности – коэффициент вывоза (Кмт) рассчитывается по формуле:

где:
Вр – вывоза из региона продукции;
Пр – производство регионом продукции.
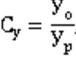
Разновидностью коэффициента локализации является показатель специализации региона на соответствующей отрасли (Су);

где:
Уо – удельный вес региона в стране по данной отрасли промышленности;
Ур – удельный вес региона в стране по всей отрасли промышленности.
Если расчетные показатели больше или равны 1, следовательно, данные отрасли выступают как отрасли рыночной специализации.
Расчеты показывают, что отрасли с наибольшим удельным весом в структуре промышленного производства страны имеют и наибольшие показатели по коэффициентам специализации, локализации и душевого производства.
Одним из главных критериев размещения отраслей на определенной территории является показатель их экономической эффективности. В качестве рекомендуемых показателей эффективности размещения предприятий установлены: себестоимость продукции с учетом ее доставки потребителю, удельные капитальные вложения на единицу мощности и прибыли. Из сравниваемых показателей наилучший определяется по минимуму приведенных затрат (П).
П = С + К Е,
где:
С – себестоимость продукции;
К – удельные капитальные вложения;
Е – нормативный коэффициент эффективности капитальных вложений.
Определение показателей экономической эффективности размещения производства ведется также с использованием показателей рентабельности (Р).

где:
Ц – цена;
С – себестоимость единицы продукции;
К – удельные капитальные вложения на единицу продукции;
Показатель рентабельности обеспечивает соизмерение прибыли от реализации продукции с капитальными вложениями. Величина рентабельности зависит не только от размеров текущих и единовременных затрат, но и от уровня цен на продукцию.
Наряду с указанными показателями по каждой отрасли производства разрабатывается система технико-экономических показателей ее размещения. Она включает:
а) удельные расходы основных видов сырья, топлива, энергии, воды на единицу готовой продукции;
б) выход производственных отходов (на единицу продукции) и их характеристику;
в) трудовые затраты на единицу продукции;
г) удельные затраты основных фондов.
На основе этих первичных показателей разрабатывается ряд других показателей, играющих важную роль для обоснования размещения производства: обеспеченность рабочих основными производственными фондами, энерговооруженность и пр.
Использование показателей эффективности рационального размещения способствует установлению оптимальных пропорций между отраслями и производствами.
При выборе наиболее оптимального варианта размещения промышленного предприятия необходимо учитывать влияние ряда факторов – материалоемкости, транспортного фактора и потребительского. Так, в отраслях добывающей промышленности главную роль играют запасы ресурсов, их качество и транспортные условия, уровень научно-технического прогресса.
При размещении многих отраслей обрабатывающей промышленности важно учитывать влияние преобладающих факторов во всей их совокупности. Так, энергоемкость выступает как главный фактор при размещении производства синтетического каучука, химических волокон, пластмасс, смол, а также отраслей цветной металлургии (алюминиевой, магниевой, никелевой).
Многие отрасли добывающей промышленности ориентируются на сырьевой фактор – это черная металлургия, тяжелое металлоемкое машиностроение, производство минеральных удобрений, цементная, стекольная, сахарная, целлюлозно-бумажная. В их производстве расход сырья в несколько раз превышает вес готовой продукции.
На трудоемкость как главный фактор в своем размещении ориентируются станкостроение, приборостроение, электротехническая и радиотехническая промышленность, а также текстильная, швейная, обувная, трикотажная.
На потребительский фактор ориентируются нефтеперерабатывающая промышленность, резино-техническая, кирпичная, сельскохозяйственное машиностроение, хлебопекарная, кондитерская, молочная и мясная.
Во всех отраслях наряду с преобладающим фактором большое влияние на размещение оказывают и другие факторы. Например, в черной металлургии полного цикла на размещение влияют сырьевой и топливно-энергетический факторы.
Особенно важно при выборе места для размещения промышленных предприятий всех отраслей учитывать экологический фактор.
Более 800 000 книг и аудиокниг! 📚
Получи 2 месяца Литрес Подписки в подарок и наслаждайся неограниченным чтением
ПОЛУЧИТЬ ПОДАРОК