§ 2. Человеческое развитие в стоимостном и потребителъностоимостном измерении
Известное марксистское положение о всестороннем и гармоничном развитии человека, об обеспечении полного благосостояния всех людей теперь положительно воспринимается видными западными теоретиками. Многими из них повторяется мысль В. И. Ленина, высказанная им при обсуждении проекта программы РСДРП относительно целей социалистического переустройства общества: «Не только для удовлетворения нужд... а для обеспечения полного благосостояния и свободного всестороннего развития всех членов общества» {661}. Достаточно сослаться на высказывание основателя Римского клуба А. Печчеи, выразившего глубокую убежденность в «необходимости полного и всестороннего развития возможностей и способностей всех людей планеты, как непременного условия преодоления существующего неравенства и обеспечения здоровой и достойной жизни каждого. Именно этим целям, — по его мнению, — должны быть подчинены все стратегии, политические программы и перспективные планы в национальных и глобальных масштабах» {662}. Такого же мнения придерживался А. Эйнштейн.
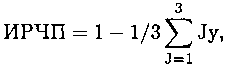
Сегодня, однако, речь идет не просто об отдельных суждениях на этот счет. Мировое сообщество признало развитие человека в качестве цели общественного развития, которая ранее связывалась с социализмом. В разработанной ООН в 1990 г. Программе развития (ПРООН) именно развитие человека принято в качестве критерия оценки достигнутого состояния прогресса всего мирового сообщества и отдельных стран. Начиная с 1990 г. ООН ежегодно публикует доклады о человеческом развитии (Россия стала публиковать подобные доклады с 1995 г.), проводит сравнительный анализ состояния этого развития в разных странах на основе так называемого «индекса человеческого развития» (ИЧР) или «индекса развития человеческого потенциала» (ИРЧП).
Этот индекс рассчитывается по трем компонентам: 1) уровню производства валового внутреннего продукта на душу населения в стоимостном выражении; 2) уровню образования; 3) ожидаемой продолжительности жизни. Итоговый расчет производится по формуле

где Jy —показатель соответствующего 1-3 компонента, а индекс каждого компонента (Jy) устанавливается по формуле [64]

Можно ли принять данный показатель и само человеческое развитие в качестве критерия общественного прогресса? Ведь кроме выставления этим критерием развитие человека в литературе было выдвинуто положение о том, что критерием общественного прогресса является развитие производительных сил, а его количественным показателем — величина производительности труда. Не кто-нибудь другой, а именно В. И. Ленин, ссылаясь на К. Маркса, развитие производительных сил называл высшим критерием общественного прогресса {663}.
Развитие производительных сил и рост производительности труда характеризуют общественный прогресс со стороны его источника как определяющего фактора, связанного главным образом с затратами производительного труда и рабочего времени общества. Но судить об общественном прогрессе нужно и по его результатам (хотя производительные силы входят и в результаты общественной производительной деятельности людей). Без них нельзя получить более конкретного представления о критерии прогресса. Разработка этой проблемы представляется наиболее важной для дальнейшего углубления теории социального развития.
Подходя к оценке общественного прогресса с названной позиции, следует прежде всего выставить в качестве исходного тезис о том, что конечным результатом общественного процесса производства является сам человек, аккумулирующий в себе всю совокупность общественных отношений. И по этому итогу можно судить об общественном прогрессе. Он существенно дополняет содержание этого критерия, усиливает его действенность. Но он не стоит где-то в стороне и от критерия, составляемого производительными силами. Человек, выступая результатом общественного процесса производства, одновременно является и его условием — главной производительной силой, т. е. эволюция производительных сил как критерий общественного прогресса предполагает и развитие человека.
Дело в том, что именно человека некоторые авторы часто не принимали во внимание при характеристике критерия общественного прогресса. Они имели в виду главным образом вещественные элементы производительных сил. Человек обычно рассматривался как индивид, затрачивающий свой труд, а не как результат самого труда. Да и в тех случаях, когда шла речь о месте человека в структуре критерия общественного прогресса, подразумевали развитие людей как производительной силы. Между тем социальный прогресс все более проявляется в многостороннем и гармоническом совершенствовании личности, выходящем за пределы ее производственных качеств. Свободное развитие, являющееся итогом всемирной истории, лежит, по словам К. Маркса, по ту сторону сферы собственно материального производства, там, где начинается развитие человеческих сущностных сил {664}.
Этот результат в качестве критерия общественного прогресса необходимо выдвигается ростом самого производства, в частности тем фактом, что создание действительного богатства общества перестает быть зависимым от количества затрачиваемого обществом непосредственного живого рабочего времени. Решающим фактором производства богатства становится высококвалифицированный труд, развитие самого человека, особенно его научное развитие, совершающееся в свободное время общества. В связи с этим недостаточен прежний способ измерения общественного богатства и, следовательно, общественного прогресса. В тенденции возникает новое их мерило — свободное время, служащее пространством для развития человека, в том числе и новых могучих производительных сил его труда, реализуемых посредством технологического применения науки и высокой дееспособности техники. В этих новых условиях уровень развития самих тружеников все более будет выступать показателем прогресса общества. Он становится более адекватным характеру общественного прогресса показателем, дающим возможность глубже и содержательнее оценивать все предшествующее историческое развитие.
В этой связи представляет особый интерес анализ человеческого развития, его количественной оценки с позиций исходных принципов двух экономических теорий — стоимостной и потребительностоимостной. Они позволяют так или иначе решить вопрос о содержании и способах соизмерения разных показателей человеческого развития, без чего они лишаются многих своих свойств как измерителей. Научный подход к измерениям, необходимым для сравнений, требует наличия общего, одинакового основания, общей единицы. К сожалению, показатели человеческого развития, включенные в соответствующий индекс (ИРЧП), выставляемый от имени ООН в качестве оценочного критерия деятельности общества, не сведены к единой мере как в стоимостном, так и в потребительностоимостном отношении. Приходится ограничиваться баллами, удельными весами, средними их величинами, которые не могут служить надежным основанием измерений в социальной науке.
Между тем классическая экономическая наука выработала способы соизмерения названных компонентов человеческого развития посредством сведения их к единой основе — к стоимости рабочей силы человека, в частности к стоимости способности (потенциала) человека к труду, воспроизводства этой способности. В общем случае речь может идти о ценности человека, стоимости его жизни, что включает и стоимость средств, необходимых для образования, и продолжительность выплаты жизненных средств в зависимости от числа лет жизни. Трудовой теорией стоимости предложена реальная основа для измерения ценности человека. Так, еще В. Петти в своей работе «Ценность людей» определял ценность людей как носителей труда стоимостью необходимых жизненных средств, т. е. издержками, необходимыми для удовлетворения жизненных потребностей, в частности стоимостью среднего душевого пропитания взрослого человека {665}.
А. Смит, а затем Д. Рикардо дали развернутое обоснование положения о том, что ценность (стоимость) благ, жизненных средств определяется количеством общественно необходимого труда, затрачиваемого на их производство. Этот основополагающий принцип был распространен и на труд, следовательно, и на его носителей — людей. Стоимость труда, согласно Д. Рикардо, определяется теми жизненными средствами, которые по традиции являются необходимыми в данном обществе для содержания рабочих и продолжения их рода. В то же время Д. Рикардо, в отличие от А. Смита, полагал, что нельзя стоимостью жизненных средств определять стоимость обмениваемого на них живого труда. Стоимость, представленная в овеществленном труде, есть нечто другое, чем стоимость покупаемого живого труда.
А. Маршалл, следуя классической теории, предложил схему исчисления стоимости индивида (рабочего). Для этого нужно «дисконтировать» вероятную стоимость всех результатов его будущего труда, сложить их и затем вычесть из полученной суммы сумму «дисконтированных» стоимостей всего богатства и всех прямых услуг, которые им будут потреблены. Можно, по его мнению, исчислять стоимость индивида по денежным издержкам его производства. «Можно, например, — пишет он, — предположить, что общая сумма, израсходованная на то, чтобы вырастить среднего ребенка, принадлежащего к менее обеспеченной части трудящегося класса, скажем из 2/5 населения, составляет 100 ф. ст.; для следующей 1/5 населения можно предположить сумму в 175 ф. ст., для следующей 1/5 — 300 ф. ст., для 1/10 — 500 ф. ст. и для оставшейся 1/10 населения —1200 ф. ст., или в среднем —300 ф. ст.» {666}.
К. Маркс, как и представители классической политической экономии, полагал, что в условиях товарного производства человек и его жизнь выступают как субъективированная меновая стоимость. В отличие от А. Смита и Д. Рикардо, он этой стоимостью наделял не сам труд, а способность к труду — рабочую силу.
Почему же тогда развитие человеческого потенциала не подводится под давно обоснованную стоимость рабочей силы человека, обладающую всеми свойствами соизмеримости?
Имеется ряд обстоятельств, объясняющих это «почему». В одном случае, согласно закону стоимости, затраты труда и их результат в виде стоимости жизненных средств были бы равными (эквивалентными), что не годится для обоснования получения большего результата, чем затраты, т. е. не будет измерителя самого человеческого развития. Более того, с ростом производительности труда, связанным с его экономией, стоимость продукта и жизненных средств в общем и целом должна уменьшаться, соответственно, стоимость рабочей силы должна падать, что не только несовместимо с признанием человеческого развития, но и предполагает относительное и абсолютное обнищание трудящегося большинства населения. Капитализация России, в результате которой половина населения оказалась в состоянии бедности, — яркое тому свидетельство.
В другом случае, когда обменивается живой труд на овеществленный (труд на капитал), возникает не менее трудная ситуация с подведением человеческого развития под единую стоимостную меру: во-первых, живой труд не обладает свойством стоимости и не может соизмеряться с овеществленным в его продукте трудом. Потребительная стоимость и стоимость не имеют единой меры. Во-вторых, результатом обмена живого труда на овеществленный является все возрастающий разрыв между уровнем жизни носителей живого труда и представителей (собственников) овеществленного в продукте труда, который ныне в мире достигает огромных размеров. Не всякий решится этот все увеличивающийся разрыв выставить показателем человеческого развития, а его основание — растущую норму прибавочной стоимости и эксплуатации — сделать его критерием, хотя в действительности так и происходит.
Названные обстоятельства не позволяют теоретикам от экономики, считающим себя гуманистами, предлагать измерять человеческое развитие единой стоимостной меркой, хотя в реальной рыночной практике человек оценивается именно этой меркой.
Чтобы оценивать человеческое развитие соответствующим его природе способом, необходимо под его измерение подвести противоположную стоимости основу — потребительную стоимость рабочей силы и труда, т. е. индекс человеческого развития свести к инновационному потенциалу человеческого труда, к его измерению в показателях труда и времени, рассматриваемых как источник потребительной, а не меновой стоимости. Речь идет об использовании закона потребительной стоимости и потребительностоимостной парадигмы экономической науки, на основе которых уже давно измеряется производительность труда, которая применяется как обобщающий показатель уровня экономического и социального развития той или иной страны в историческом и сравнительном аспекте. Задача сводится к тому, чтобы на основе потребительностоимостной концепции разработать индекс развития человеческого потенциала, т. е. способности к творческому труду и ее реализации. Чтобы выполнить эту задачу, необходимо иметь соответствующую теоретическую концепцию и соответствующие ей измерительные процедуры. Главное в этом деле —это связать развитие потенциала человека с его трудом, с производительной и потребительной силами. Именно из инновационной природы труда в конечном счете выводится возможность человеческого развития.
Для этого нужно это свойство обычного труда возводить на уровень его сущностных характеристик, что часто не принимается во внимание при анализе труда. Этого не позволяет обычное рассмотрение труда только в рамках процесса создания стоимости, т. е. как абстрактного труда, как затраты рабочей силы, —безразлично, каким „полезным" способом она затрачивается» {667}. Но в этих условиях превышение результатов труда над его затратами не выявляются, ибо оно — результат неэквивалентного обмена. Превосходство результатов над затратами присуще труду, производящему не стоимость, а потребительную стоимость. Избыток труда, доставляемого рабочей силой, над затратами ее собственного воспроизводства достигается тем, что увеличивается потребительная стоимость применяемых материальных средств производства и природных сил, а также собственной производительной субъективной силы работника за счет потребления им материальных и духовных благ.
Вопрос о потребительной стоимости жизненных средств здесь приобретает особое значение. Их потребительная стоимость, в конечном счете, тоже реализуется в высвобождении труда, достигаемого за счет замещения сложным трудом более простого труда, что ведет к увеличению инновационного потенциала труда. Его формирование осуществляется уже в потребительном производстве. Здесь потребительная стоимость предметов потребления оказывается лишь моментом, а конечным результатом выступает уже не материальный продукт производства, а сам развитый человек и само развитое общество.
О том, как из потребленных жизненных средств может возникнуть превышающий соответствующие затраты на их производство результат, в научной литературе сказано очень мало. Кое-что имеется у представителей теории потребления, опирающихся на концепции предельной полезности и данные психологии. Так, согласно американскому экономисту С. Паттену излишек удовольствия над издержками является основным фактором потребления. С. А. Первушин полагает, что экономически целесообразным выступает потребление, удовольствие от которого превышает тягостность затрат {668}. Для обозначения этой разницы им вводятся, по аналогии с производством, понятия «потребительская прибыль», «потребительский доход», «потребительская рента», призванные отразить дополнительный результат от потребительной деятельности. Он делает поправку ко второму закону Г. Госсена: вместо предельной полезности продукта ставит предельный доход потребителя. «Моментом, определяющим потребление, является, по его мнению, не предельная полезность, а предельный доход, предельная рента потребителя» {669}. Определяется предельный доход (как и предельная полезность) на основе ранжирования получаемого удовольствия от потребления последних долей благ, т. е. на основе субъективных предпочтений людей. Определенным шагом вперед в этом вопросе явилась теория потребительского излишка французского экономиста М. Алле, предложившего концепцию распределяемого излишка.
Представляется, что эффект от потребления человеком материальных и духовных благ правильнее всего выразить в обобщенном виде в понятиях «потребительная сила» труда человека, общества. Можно, следовательно, ставить вопрос о возрастании потребительной силы общества и человека, о способах и факторах ее увеличения. Экономический анализ посредством понятия потребительной силы, т. е. способности к потреблению, позволяет более основательно выявить объективное содержание потребительной деятельности, отмежеваться от ее сведения к психологическим характеристикам, субъективным оценкам.
Кроме того, категория потребительной силы позволяет потребительную деятельность объяснять не законом стоимости, а законом движения потребительной стоимости и преодолеть ограничения, накладываемые на нее законом стоимости. Это связано с тем, что потребительная стоимость рабочей силы и ее мера заключены не в труде, овеществленном в ней, и не в ее стоимости, а в экономии труда. Поэтому обусловленность потребления (спроса) стоимостью (доходами), рабочим временем ограничивает потребительную силу рабочих масс. В условиях действия закона стоимости для громадной массы трудящегося населения мера потребления обусловливается стоимостью рабочей силы, мерой необходимого по условиям ее воспроизводства труда.
Более справедливой будет общественная мера потребления, которая исходит из потребительной силы и базируется не на стоимостной, а на потребительностоимостной основе, что отвечает природе самой потребительной силы. Если господствует потребительная стоимость и сами потребности определяют пределы рабочего времени, необходимого для их удовлетворения, то рабочее время теряет свое значение меры потребления, ибо оно само удлиняется или сокращается в зависимости от того, сколько нужно доставить того или иного количества потребительных благ. Общественный прогресс в этом случае предполагает, что потребление не определяется минимумом времени, необходимого для производства, поскольку само «рабочее время перестает и должно перестать быть мерой богатства, и поэтому меновая стоимость перестает быть мерой потребительной стоимости» {670}.
В этом случае сокращение рабочего времени, обусловленное научно-техническим прогрессом, не должно приниматься за признак уменьшения потребления. Наоборот, экономия рабочего времени может лишь вести к увеличению богатства общества и свободного времени, ибо последнее, превращаясь в мерило развития человека как истинного богатства, тем самым становится и мерой развития способности к потреблению, мерой потребительной силы общества. Если же в качестве такой меры используется рабочее время, выражающее стоимость, то такое потребление свидетельствует по существу о бедности. Рабочее время, в том числе прибавочное, поглощая почти все время трудящихся масс, лишает их свободного времени, которое становится временем для немногих. Они и получают простор для своего развития, в том числе и для потребления. К сожалению, индекс развития человеческого потенциала, предложенного ООН, усредняя, например, доходы в 40 000 долларов и 100 долларов, не учитывает этого обстоятельства.
Другое дело, когда производительная сила общества выражается величиной высвобождаемого из сферы материального производства труда (производительного рабочего времени), то это высвобождаемый для других видов деятельности труд (время) в расчете на душу населения будет служить индексом роста потребительной силы. Высвобождаемый труд (время) может быть затрачен на удовлетворение новых или других потребностей, не реализуемых в прежних условиях. Отношение же высвобождаемого из сферы материального производства труда к занятому в ней труду может служить нормой потребительной способности общества, по которой определяется возвышение потребностей. Тем самым в возвышении потребностей закон потребительной стоимости получает адекватное выражение своей сущности, противоположной формулам предельной полезности, и в том числе «закону убывающей полезности».
По мере повышения производительности труда норма потребительной способности неизбежно повышается, что не умещается и в стоимостную схему движения конечного совокупного продукта, предлагающую падение этой нормы в связи с растущим преобладанием труда по производству той части продукта, которая идет не на личное, а на производственное потребление. Повышение потребительной способности общества подчиняется другому закону — закону возвышения потребительной стоимости. Из нее следует приоритетность потребления и его определяющее влияние на объемы производственного накопления. В этом случае конечным результатом общественного материального производства следует считать фонд индивидуального потребления.
В отечественной экономической науке предложены конкретные методы исчисления показателя, аналогичного индексу развития человеческого потенциала в виде дохода на душу населения. В отличие от этого показателя ПРООН, речь идет о физическом объеме фонда потребления, производимого в среднем одним работником материального производства за единицу рабочего времени {671}. В данном случае исходный параметр развития человеческого потенциала вместо стоимостного исчисления измеряется достигнутым уровнем производительных и потребительных сил, взятых в единстве. Для этого на основе имеющихся статистических данных определяются: сколько произведено совокупного продукта, национального дохода, фонда потребления на одного работника (в неизменных ценах) в том или ином году, устанавливается экономия или перерасход труда по отношению к предыдущему периоду, а также численность работников материального производства и ряд других дополнительных показателей.
Особенность и преимущество оценки человеческого развития по показателю фонда потребления состоят в том, что этот показатель потребительной силы легко совмещается с уровнем производительной силы, имеет с ним одинаковую основу для сопоставления —время, измеренное в человеко-часах. Если отнести сумму сэкономленного (высвобожденного) труда к числу занятых в материальном производстве, то, как показал В. С. Вечканов, получится та же величина, которая определяется по показателю фонда потребления. Более того, экономия (высвобождение) труда легко переводится в показатель свободного времени, что вполне правомерно считается основной мерой человеческого развития, обращенной на будущее. В итоге, с одной стороны, показатель фонда потребления на единицу рабочего времени (на одного работника), отражая объем производства жизненных благ для населения, выражает одновременно экономию потребляемого и авансированного (накопляемого) труда и увеличение свободного времени, необходимые для обеспечения всестороннего развития всех членов общества; с другой стороны, через показатель, характеризующий отношение общей суммы сэкономленного (высвобожденного) труда, т. е. через повышение производительности труда, можно определить величину производства фонда потребления в единицу рабочего времени. Также очевидно, что другие компоненты индекса человеческого развития — уровень образования (сколько лет учебы) и продолжительность жизни получают одинаковую размерность — могут измеряться временем деятельности.
Вместо сэкономленного времени можно воспользоваться и затраченным временем, но с одним условием — оно должно рассчитываться по условиям потребления: например, для производства определенного количества продуктов и услуг, входящих в состав стандартной потребительной корзины, требуется израсходовать определенное количество рабочего времени.
О том, как это делается, можно узнать из расчетов, предложенных Ю. С. Перевощиковым [65].
Сначала выбирается стандартный перечень потребительных благ, из которых составляется минимальная потребительская корзина.
Для каждого вида продукта, вошедшего в минимальную потребительскую корзину (картофель, морковь, хлеб, ботинки, шапка, пальто, рубашка, платье и т. д.), разрабатывается или берется имеющийся технологический процесс изготовления с подробным описанием каждой технологической операции.
По каждой технологической операции в соответствии с ее параметрами и технологическими режимами и условиями труда рассчитываются затраты труда, с учетом тяжести, сложности и условий труда на каждом рабочем месте. Пооперационные затраты труда рассчитываются по формуле:

где КИHi — коэффициент интенсивности труда на рабочем месте; Тi — трудочасы; Pi — физическая напряженность труда на рабочем месте; Ci — интеллектуальная сложность труда на рабочем месте; Bi — санитарно-гигиенические и другие условия непривлекательности труда на рабочем месте; ti — продолжительность процесса труда на рассматриваемой технологической операции, часов (минут); г —индекс принадлежности параметров i-ой технологической операции.
Для оценки физической напряженности труда на рабочем месте (Р), интеллектуальной сложности (С) и условий непривлекательности труда (В) предлагаются следующие формулы.
Эмпирическая формула тяжести труда:

где A —работа, совершаемая человеком в процессе труда на данной технологической операции (Дж/мин); М — статический момент, суммарно выдерживаемый человеком в процессе труда (Дж); ?T — дополнительная энергия, затрачиваемая человеком в процессе его работы на преодоление неблагоприятных условий труда.
Интеллектуальная сложность труда на рабочем месте:

где N — количество членов алгоритма в технологической операции; Na - количество членов алгоритма, имеющих в своем разрешении логическую неопределенность (члены алгоритма с логическими условиями); е —основание натуральных логарифмов.
Уровень непривлекательности труда:

где Bi — оценка в баллах фактического состояния условий труда на i-ом рабочем месте; В0 — оценка в баллах благоприятного состояния условий труда, принимаемая за базу измерения.
Алгоритмическое описание процесса труда и расчет параметров основаны на применении к анализу процессов труда микроэлементной системы МТМ (methods of time measurement).
Мерой труда в предлагаемом методе выступает процесс труда продолжительностью t = 1 час с уровнем интенсивности:

Такой процесс можно описать и выразить все его факторы количественно.
Трудозатраты по всем их составным параметрам (Р, С, В, t) рассчитываются для всей совокупности технологических операций и видов продуктов, включенных в минимальную потребительскую корзину, т. е.:

где i — перечень технологических операций; j — перечень видов продукции.
Одновременно с расчетом трудозатрат производится определение суммы заработной платы, которую нужно было бы выплатить за производственную продукцию потребительской корзины. Заработная плата рассчитывается в долларах по существующей в США системе оплаты и в рублях за те же трудозатраты по существующей в Российской Федерации системе оплаты. Расчет заработной платы производится по каждой технологической операции по формулам:

где VDi — начисленная заработная плата в долларах на i-ой технологической операции; VRi — начисленная заработная плата в рублях на i-ой технологической операции; ?D — часовая тарифная ставка в долларах в системе оплаты труда в США; ?r — часовая тарифная ставка в рублях в системе оплаты труда в Российской Федерации; mD — премии и различные доплаты в системе труда в США, в процентах к часовой ставке (берутся максимальные значения); mR — премии и различные доплаты в системе труда в Российской Федерации, в процентах к часовой ставке (берутся максимальные значения); ti — нормированная продолжительность процесса i-ой технологической операции (час).
Заработная плата в долларах (VD) и в рублях (VR) рассчитывается для всей совокупности технологических операций и видов продуктов, включенных в минимальную потребительскую корзину, т. е.:

Если разделить рассчитанное значение заработной платы в долларах (VD) и в рублях (VR) на трудозатраты (T), получится цена в долларах и в рублях одного трудочаса, т. е.: Ctd = Vd/T.
Переводной коэффициент будет: К = Ctd/Ctr.
Рассмотрим условный пример. В минимальную потребительскую корзину вошло 26 наименований товаров, из которых 10 наименований — продукты питания, 12 — одежда, 3 —обувь. Изучение технологии производственных условий США и нормирование технологических операций по параметрам тяжести, сложности, условий и продолжительности процесса позволили рассчитать трудозатраты, которые составили 1800 трудочасов. Заработная плата рабочих в долларах составила 8000 долларов, в рублях 1200 рублей. Цена доллара за 1 трудочас:
Ctd =8000/1800=4,44 доллар/трудочас, Ctr =1200/1800= 0,67 руб./трудочас.
Переводной коэффициент будет равен: К = 4,44/0,67 = 6,627.
Таким образом, чтобы обеспечить равноценность покупательной способности рубля и доллара, следует платить за 1 доллар 6 руб. 63 коп.
Представляется, что показатель, рассчитанный по предлагаемой Ю. С. Перевощиковым методике, мог бы заменить соответствующий индекс ПРООН — реальный ВВП на душу населения в долларах США.
Во-первых, он более объективен, поскольку исходит из определения реального времени, затрачиваемого на минимальную потребительскую (рыночную) корзину.
Во-вторых, вместо денег вводится показатель времени, который становится соразмерным с остальными показателями: временем (продолжительностью) жизни и временем, затрачиваемым на учебу. Время становится общей единицей соизмерения всех компонентов ИРЧП, что делает расчеты общего индекса на основе соответствующих баллов более содержательными, ибо за этими баллами будут стоять реальные измерители — единицы времени.
Более 800 000 книг и аудиокниг! 📚
Получи 2 месяца Литрес Подписки в подарок и наслаждайся неограниченным чтением
ПОЛУЧИТЬ ПОДАРОК