Международная и российская система учета кредитов и займов
Н.Н. Парасоцкая
к. э.н., доцент, Финуниверситет
В ходе реформирования российской системы бухгалтерского учета (РСБУ) наблюдается постепенное сближение с нормами Международных стандартов финансовой отчетности (МСФО). Порядок учета затрат по кредитам и займам регламентируется ПБУ 15/ 2008 «Учет расходов по займам и кредитам» и МСФО (IAS) 23 «Затраты по займам». Правила и рекомендации, изложенные в них, в большей степени совпадают, но есть и различия между ними.
Учитывая то, что российские компании все чаще формируют бухгалтерскую (финансовую) отчетность в соответствии с требованиями МСФО, необходимо систематизировать все сходства и различия.
1. Сфера применения. В МСФО (IAS) 23 «Затраты по займам» раскрываются вопросы, связанные с признанием затрат по займам в отчетности компании; в ПБУ 15/ 2008 кроме этого раскрываются вопросы, связанные с отражением основной суммы долга. Это обусловлено тем, что на сегодняшний день в РСБУ нет стандартов (положений), регулирующих порядок учета финансовых обязательств, в то время как в международной практике вопросы в части отражения основной суммы долга регулируются и МСФО (IAS) 39 «Финансовые инструменты: признание и оценка» и МСФО (IAS) 32 «Финансовые инструменты: представление информации».
Согласно п. 43 МСФО (IAS) 39 «Финансовые инструменты»: признание и оценка» “при первоначальном признании финансового актива или финансового обязательства, предприятие оценивает такой финансовый актив или финансовое обязательство по справедливой стоимости плюс, в случае финансового актива или финансового обязательства, не учитываемых по справедливой стоимости через прибыль или убыток, затраты по сделке, которые напрямую связаны с приобретением или выпуском такого финансового актива или финансового обязательства”. Таким образом, в международной практике основная сумма кредитов и займов будет отражаться по справедливой стоимости, а не по фактической стоимости полученных кредитов и займов, как это предусмотрено РСБУ.
2. Состав затрат. Согласно п. 6 МСФО (IAS) 23 «Затраты по займам» затраты по займам включают в себя процентные и другие расходы, понесенные компанией в связи с привлечением заемных средств, а именно [1]:
• расходы по процентам, исчисленные согласно МСФО (IAS) 39 «Финансовые инструменты: признание и оценка» с использованием метода эффективной ставки процента;
• финансовые затраты, связанные с финансовой арендой (МСФО (IAS) 17 «Аренда»);
• курсовые разницы в той мере, в какой они признаются корректировкой затрат на выплату процентов.
Согласно правилам РСБУ расходы по займам включают в себя проценты за пользование заемными средствами и дополнительные расходы. При этом метод эффективной ставки процента российским законодательством не предусмотрен.
Порядок учета и отражения курсовых разниц по активам и обязательствам, выраженным в иностранной валюте, в российской системе учета регламентируется отдельным положением по бухгалтерскому учету – ПБУ 3/ 2006. Перечень дополнительных (других) расходов остается открытым как в РСБУ, так и в МФСО.
3. Понятие инвестиционного/ квалифицируемого актива. Согласно п.7 ПБУ 15/ 2008 инвестиционный актив – это объект имущества, подготовка которого к предполагаемому использованию требует существенных расходов и длительного времени на изготовление, сооружение и (или) приобретение (объекты незавершенного производства и незавершенного строительства, основные средства, нематериальные активы или иные внеоборотные активы).
В соответствии с п. 5 МСФО (IAS) 23 «Затраты по займам» актив, отвечающий определенным требованиям, (квалифицированный актив) – это актив, подготовка которого к использованию по назначению или для продажи обязательно требует значительного времени. Квалифицированным активом могут признаваться не только производственные и электрогенерирующие мощности, нематериальные активы и инвестиционное имущество, но и запасы [1].
Необходимо обратить внимание на следующее:
• в МСФО (IAS) 23 «Затраты по займам» приведен перечень активов, не признаваемых в качестве квалифицируемых активов (инвестиционных активов по ПБУ 15/ 2008);
• в РСБУ инвестиционным активом признают актив, подлежащий в дальнейшем использованию, в МСФО – использованию или продаже.
4. Признание затрат по займам. Согласно правилам российского законодательства расходы по займам (кредитам) признаются для целей бухгалтерского учета прочими расходами или включаются в стоимость инвестиционного актива. Сумма начисленных процентов за пользование заемными средствами отражается либо равномерно, независимо от условий договора, либо исходя из условий предоставления займа (кредита) (в случае, если такое отражение не отличается существенно от равномерного)
По правилам международного учета кредитов и займов затраты по займам, непосредственно связанные с производством, строительством или приобретением квалифицируемого актива, подлежат капитализации путем включения в стоимость этого актива.
Согласно п. 9 МСФО (IAS) 23 «Затраты по замам» “затраты по займам капитализируются как часть себестоимости актива, если существует вероятность получения предприятием связанных с ними будущих экономических выгод, и если такие затраты можно достоверно оценить”.
5. Условия капитализации затрат. В соответствии с п. 10 МСФО (IAS) 23 «Затраты по займам» затраты по займам подлежат капитализации только в том случае, если они непосредственно относятся к производству, строительству или приобретению квалифицированного актива и их можно было бы избежать, если бы затраты на соответствующий актив не производились [1]. По правилам РСБУ капитализации подлежат только проценты по кредитам и займам, непосредственно связанные с изготовлением, сооружением и (или) приобретением инвестиционного актива. Таким образом, в РСБУ исключена возможность капитализации других расходов (кроме процентов), связанных с получением заемных средств.
6. Ставка капитализации. В случае если предприятие привлекает заемные средства в общих целях, но направляет их для создания, приобретения квалифицированного актива, сумма затрат по займам, подлежащая капитализации, определяется путем умножения ставка капитализации на сумму затрат на этот актив [1].
Ставка капитализации представляет собой средневзвешенное значение затрат по займам касательно займов экономического субъекта, остающихся непогашенными в течение периода, за исключением тех займов, которые были получены непосредственно для приобретения актива, отвечающего определенным требованиям [1].
Необходимо помнить, что капитализируемая сумма затрат по займам за период не должна превышать понесенную сумму затрат по займам за этот же период.
Несмотря на то, что в российском учете такое понятие как «ставка капитализации» отсутствует, следует помнить, что сумма процентов по общим займам (кредитам) включается в стоимость инвестиционного актива пропорционально доле средств, использованных на изготовление, сооружение и (или) приобретение данного актива, в общей сумме заемных средств, полученных на общие цели [2, п. 14].
7. Капитализация затрат. По правилам, изложенным в МСФО, компании начинают капитализировать затраты по займам на дату начала капитализации, т. е. на дату, когда выполняются одновременно следующие условия [1]:
1. затраты по данному активу понесены;
2. затраты по займам понесены;
3. работа, необходимая для подготовки актива к продаже или к использованию по назначению выполняется.
Стоит заметить, что в целом условия даты начала капитализации совпадают с условиями, перечисленными в п. 9 ПБУ 15/ 2008.
В МСФО дано пояснение, что следует понимать под работой (деятельностью), необходимой для подготовки актива к продаже или к использованию по назначению: к ней может относиться административная и техническая работа, предшествующая началу физического создания актива (например, освоение земельного участка).
Согласно п. 12 МСФО (IAS) 23 «Затраты по займам» капитализации подлежит сумма фактических затрат, понесенных по займу, за вычетом полученного компанией инвестиционного дохода в ходе временного инвестирования этих заемных средств [1]; согласно правилам российского учета за вычетом дохода, полученного компанией от временного использования займов и кредитов в качестве краткосрочных и долгосрочных финансовых вложений.
8. Приостановление капитализации затрат. Как в МСФО, так и в РСБУ прописаны условия приостановки капитализации затрат по займам. В п. 20 МСФО (IAS) 23 «Затраты по займам» капитализации затрат по займам приостанавливается в течение продолжительных периодов времени, когда активная разработка квалифицированного актива приостанавливается за исключением периодов, когда проводится значительная административная или техническая работа, и периодов, представляющих собой неотъемлемую часть процесса подготовки актива к использованию или к продаже.
Необходимо обратить внимание на то, что в РСБУ определен «продолжительный период» приостановки – период свыше 3 месяца. Также согласно ПБУ 15/ 2008 определена точная дата приостановки капитализации процентов – с первого числа месяца, следующего за месяцем приостановления изготовления, сооружения и (или) приобретения такого актива, и возобновления – с первого числа месяца, следующего за месяцем возобновления изготовления, сооружения и (или) приобретения такого актива.
9. Прекращение капитализации затрат. Капитализация затрат по займам в РСБУ прекращается с первого числа месяца, следующего за месяцем прекращения изготовления, сооружения и (или) приобретения или за месяцем начала использования инвестиционного актива. Согласно п. 22 МСФО (IAS) 23 «Затраты по займам» затраты по займам перестают капитализироваться с момента, когда практически все работы, необходимые для подготовки к продаже или к использованию по назначению, завершены [1]. Если актив, состоит из нескольких частей, и каждая из них может использоваться, пока продолжается строительство (сооружение) других частей, то капитализация затрат по этой части прекращается, когда завершены практически все работы по подготовке ее к использованию по назначению или к продаже [1]. В ПБУ 15/ 2008 не предусмотрены ситуации прекращения капитализации затрат по займам в инвестиционную стоимость отдельной части объекта.
Следует обратить внимание на то, что в МСФО основной акцент сделан на завершенность основных работ по активу (объекту), несмотря на то, что административные работы могут продолжаться.
10. Признание прочих затрат. Согласно п. 8 МСФО (IAS) 23 «Затраты по займам» прочие затраты подлежат включению в состав расходов в том отчетном периоде, в котором были понесены. По правилам РСБУ дополнительные расходы могут отражаться в составе расходов равномерно в течение срока действия кредитного договора (договора займа).
Сближение РСБУ и МСФО в этом вопросе позволит сблизить бухгалтерский и налоговый учет, поскольку налоговым законодательством не предусмотрена возможность равномерного списания дополнительных расходов по займам (кредитам).
В целом можно утверждать, что ПБУ 15/ 2008 схоже по своему содержанию с МСФО (IAS) 23 «Затраты по займам», что свидетельствует о плавном переходе РСБУ к МСФО. Однако между рассмотренными стандартами существуют значительные отличия, в том числе в части отражения основной суммы долга, порядка признания процентов и дополнительных затрат по займам и прочее.
Согласно п. 11 МСФО (IAS) 32 «Финансовые инструменты: представление информации» финансовым инструментом признается договор, в результате заключения которого наблюдается появление финансового актива у одной компании и финансового обязательства у другой.
Финансовое обязательство представляет собой договорное обязательство на передачу денежных средств или иных финансовых активов другой компании, на обмен финансовыми активами или финансовыми обязательствами на потенциально невыгодных условиях или договор, расчеты по которому будут (могут быть) произведены собственными долевыми инструментами организации.
Финансовые обязательство компании при первоначальном признании отражаются по справедливой стоимости плюс затраты по сделки, непосредственно связанные с приобретением или выпуском этого финансового обязательства (за исключением обязательств, отражаемых по справедливой стоимости через убыток или прибыль).
Справедливая стоимость финансового обязательства представляет собой сумму, на которую можно произвести расчет по обязательству при осуществлении сделки между желающими совершить такую операции и хорошо осведомленными независимыми сторонами.
С 1 января 2013 года вступает в силу МСФО (IFRS) 13 «Оценка справедливой стоимости», согласно которому справедливая стоимость – это цена, которая была бы получена при продаже актива (передаче обязательства) в рамках обычной сделки между участниками рынка на дату оценки, т. е. «цена выхода» [1].
Справедливая стоимость займа (кредита) представляет собой задолженность на момент ее признания за вычетом затрат по сделке (комиссии и вознаграждения, уплаченные посредникам, банковские комиссии и прочее).
В общем случае первоначальная (справедливая) стоимость полученного займа (кредита) равна его номиналу («телу займа»), как и в российском учете. В случае получения займа (кредита) на условиях, отличных от рыночных, справедливая стоимость определяется как расчетная величина будущих выплат по этому финансовому обязательству, дисконтированная по рыночной ставке.
Дисконтирование – это механизм, позволяющий достоверно отразить финансовое положение компании, и одна из самых сложных проблем, с которыми сталкиваются российские бухгалтеры при подготовке финансовой отчетности по МСФО.
Дисконтирование позволяет рассчитать текущую стоимость будущих денежных потоков, которая может значительно отличаться от номинальной.
Самое важное и самое сложное при дисконтировании – это определение ставки, поскольку от ее значения зависят результаты всех проводимых расчетов.
В российской практике нет единого мнения, что следует признавать рыночной ставкой, однако специалисты компаний «Большой четверки» придерживаются мнения, что в качестве рыночной ставки следует
рассматривать ставку рефинансирования ЦБ РФ, поскольку эта информация надежна и находится в открытом доступе для пользователей.
После первоначального признания финансовые обязательства отражаются по амортизированной стоимости (за исключением обязательств, представленных в п. 47 МСФО (IAS) 39 «Финансовые инструменты: признание и оценка»).
К финансовым обязательствам, учитываемым по амортизированной стоимости, чаще всего, относят:
• задолженность по полученным займам (кредитам);
• выпущенные облигации;
• выданные векселя.
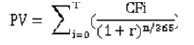
Амортизированная стоимость финансового обязательства (АС) представляет собой стоимость обязательства при его первоначальном признании (РУ) за вычетом выплат процентов и основной суммы долга (CF), плюс сумма накопленной амортизации (AA) (рассчитанная с использованием метода эффективной ставки процента) [5]:
AC = PV – ?CF + АА
Метод эффективной ставки процента – это метод определения амортизированной стоимости и распределения процентного расхода на определенный период.
Эффективную ставку процента следует рассматривать, как ставку, при которой сумма дисконтированных платежей от даты их перечисления к дате признания самого финансового обязательства будет равна справедливой стоимости этого обязательства (РУ).

где РУ – первоначальная (справедливая) стоимость финансового обязательства;
CFi – денежные выплаты процентов и основной суммы долга;
r – эффективная ставка процента;
T – количество выплат;
n – количество дней с даты возникновения финансового обязательства до даты осуществления платежа.
Для расчета эффективной ставки процента необходимо знать сумму основного долга, затраты по сделки, проценты, прочие выплаты по финансовому обязательству, дату возникновения обязательства и предполагаемые даты погашения основной суммы долга и процентов по нему.
Проценты за пользование займом (кредитом) по методу эффективной ставки процента определяются путем умножения амортизируемой (первоначальной – для первого отчетного периода) стоимости займа (кредита) на значение эффективной ставки процента.
Пример 3. Компания заключила договор займа на сумму 1 млн. руб. под 6 % годовых. Срок действия договора 3 года с даты зачисления денежных средств на расчетный счет.
Согласно условиям договора проценты начисляются исходя из допущения, что в году 360 дней. Проценты (%) начисляются ежеквартально:
% = 1 000 000 ? 0,06 ? (90 / 360) = 15 000 рублей.
Согласно планируемому графику погашения задолженности проценты будут уплачиваться ежегодно (CF%), основная сумма долга будет погашена 31 декабря 2014 года:
CF% = 15 000 ? 4 = 60 000 рублей – ежегодный платеж.
Эффективная ставка процента равна 8 % годовых.
Справедливая стоимость финансового обязательства (PV) равна 948 458,06 руб.:

Разница между справедливой стоимостью и фактически полученной суммой займа (1 000 000,00 – 948 458,06) признается прибылью компании в размере 51 541,94 руб.
При начислении процентов по методу эффективной ставки процента абсолютные значения получаются разные в каждом отчетном периоде (Табл. 3).
Таблица 3
Расчет процентов по методу эффективной ставки процента, руб.

В российском учете для отражения суммы долгосрочного займа (кредита) не требуется определение рыночной ставки, поскольку основная сумма обязательства отражается по сумме фактически полученных денежных средств или иных вещей (1 000 000 руб.). Проценты за пользование заемными средствами начисляются равномерно (ежеквартально в размере 15 000 рублей). Согласно международным стандартам при первоначальном признании долгосрочные займы (кредиты) отражаются по справедливой стоимости (948 458,06), проценты за пользование заемными средствами начисляются по методу эффективной ставки (путем умножения амортизируемой (первоначальной) стоимости на эффективную ставку процента – 8 %). В связи с этим информация, представленная в отчетности, подготовленной по российским стандартам учета, и представленная в отчетности, подготовленной по международным стандартам, будет отличаться на протяжении всего срока действия договора.
На сегодняшний день использование профессионального мнения для осуществления обоснованных расчетов (одна из важнейших частей подготовки финансовой отчетности в соответствии с МСФО) порождает серьезные трудности как для составителей, так и для пользователей финансовой отчетности. Однако использование МСФО в части учета кредитов и займов при составлении отчетности позволяет:
• отражать реальное финансовое положение организации;
• повысить сопоставимость отчетности компании (разных компаний) за разные периоды времени;
• достичь максимального соблюдения принципа осмотрительности (осторожности).
Литература
1. Приказ Минфина России «О введении в действие Международных стандартов финансовой отчетности и разъяснений Международных стандартов финансовой отчетности на территории Российской Федерации» от 25 ноября 2011 г. № 160н
2. Положение по бухгалтерскому учету «Учет расходов по займам и кредитам» (ПБУ 15/ 2008) утверждено приказом Минфина России от 06.10.2008 г. № 107н
3. Агаева И.Д. Контролируемая задолженность или особенности налогообложения процентных доходов // Международный бухгалтерский учет, № 2, 2012 г., С. 37–47
4. Аносов О. Проблемы применения МСФО (IAS) 23 «Затраты по займам» российскими компаниями // МСФО на практике, № 6, 2012 г. (Электронный журнал)
5. Варламова В.В. Налоговые последствия изменения ставки рефинансирования // Бухгалтерский учет, № 4, 2012 г., С. 43–46
6. Низамова А. И. Сравнение положений МСФО (IAS) 23 «Затраты по займам» с положениями ПБУ 15/08 «Учет расходов по займам и кредитам» // Молодой ученый, № 5, 2012 г., С. 188–190
7. Сухарев И.Р. Значение введения МСФО в Россию // Бухгалтерский учет, № 3, 2012 г., С. 7–13
Более 800 000 книг и аудиокниг! 📚
Получи 2 месяца Литрес Подписки в подарок и наслаждайся неограниченным чтением
ПОЛУЧИТЬ ПОДАРОК