11.2. Критерии и показатели оценки экономической эффективности предпринимательской деятельности
Вопросы обоснования системы показателей оценки экономической эффективности предпринимательской деятельности напрямую связаны с иерархией критериев, оценивающих достижение поставленных целей. К настоящему времени уже разработано множество специальных методов, позволяющих решить проблему управления многоцелевой системой с помощью построения интегральных оценочных критериев (критериев экономической эффективности).
К наиболее часто используемым методам построения комплексного критерия экономической эффективности предпринимательской деятельности относят детерминированные методы, уже разработанные и успешно используемые при подведении итогов деятельности работы.
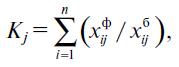
К методам детерминированной комплексной оценки относят интегральный показатель комплексной оценки эффективности, который получается методом суммированием фактических значений факторов, его составляющих, и рассчитывается для каждого торгового объекта по следующей формуле:

где xфij, xбij – соответственно фактическое и базисное значения i-го показателя на j-м торговом объекте (i = 1, 2…, n, j = 1, 2…, т);
n – количество факторов;
m – количество объектов оценивания.
Необходимым условием формирования комплексной оценки эффективности при использовании интегральных показателей, полученных по приведенной формуле, является однонаправленность исследуемых показателей, т. е. увеличение (уменьшение) значения любого частного показателя расценивается как улучшение результатов эффективной деятельности, а соответственно, уменьшение (увеличение) значения частного показателя как ухудшение результатов деятельности объекта. Однонаправленность частных показателей позволяет ранжировать торговые объекты по возрастанию (убыванию) для определения интегрального показателя.
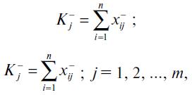
Оценка результатов эффективной предпринимательской деятельности предприятий оптовой торговли по методу сумм может строиться по различным частным показателям и не только в сравнении с планом, но и предыдущими периодами (оценка динамики), и с эталонными значениями показателей по группе торговых объектов. Метод сумм дает возможность оценить результаты деятельности по интегральному показателю, однако недостатком его является нивелирование значимости отдельных частных показателей, которое покрывается за счет высоких значений по другим частным показателям. В определенной степени этот недостаток может быть ликвидирован, если наряду с единым интегральным показателем рассчитывать показатели, отражающие отдельно сумму положительных и сумму отрицательных отклонений значений частных показателей от базы сравнения:

где

Метод геометрической средней предполагает расчет коэффициентов для оцениваемых показателей, таких, чтобы 0 < хij < 1. За единицу принимается значение, соответствующее наиболее высокому уровню данного показателя.
Обобщающая оценка получается в виде коэффициента по следующей формуле:

Этот метод целесообразно применять при относительно малом числе оцениваемых показателей и в случае, если большинство их значений близко к единице.
В некоторых случаях применим метод коэффициентов, когда оценка получается умножением коэффициента значимости отдельных параметров экономической эффективности деятельности предприятия:

Этот метод практически не отличается от расчета средней геометрической.
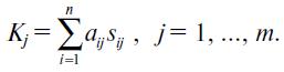
Метод суммы мест предполагает предварительное ранжирование всех торговых объектов по отдельным показателям. Каждому показателю соответствует новый параметр sij, определяющий место каждого среди других по i-му показателю. Составляется матрица баллов {sij}, на основе которой рассчитывается конкретное значение обобщающей оценки по формуле:

В некоторых случаях типичным объектом считается такой, значения показателей которого равны или близки к значениям среднего арифметического уровня показателей в изучаемой совокупности. Однако в совокупности экономических объектов, где преобладают асимметрические распределения, среднее арифметическое в качестве характеристики типичного, эталонного объекта утрачивает свое значение. Однако иногда предлагается использовать дополнительно в качестве эталона 100 %-ное выполнение плана по всем показателям, указывая при этом на нежелательность недовыполнения и перевыполнения плана.
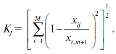
Расчет комплексной оценки проводится по формуле евклидового расстояния от точки эталона до конкретных значений показателей оцениваемых объектов. Перед конкретными расчетами, когда элементами расстояния являются несоизмеримые единицы показателей, проводится нормирование путем деления значений показателей хij на значения показателя эталонного объекта хi,m+1. Для каждого объекта рассчитывается расстояние до эталона по следующей формуле:

Упорядочивая значения Kj по возрастанию, получаем комплексное ранжирование объектов оценивания, причем наименее удаленный от точки эталона объект получает наивысшую оценку (первое место) и т. д.
Необходимо обращать внимание на обоснованность расстояний между значениями показателей конкретного объекта оценивания и эталона без учета того, что отдельные стороны деятельности оказывают неодинаковое влияние на экономическую эффективность. При таких условиях отдельные показатели следует рассматривать в качестве равноправных, имеющих одинаковую важность. Для того чтобы отдельным показателям придавать тот или иной вес и получать экономически более обоснованное расстояние, целесообразно использовать систему коэффициентов сравнительной значимости исчисляемых параметров экономической эффективности деятельности. Необходимо, применяя метод расстояний, использовать выраженные целыми числами эти коэффициенты, существенно отличающиеся друг от друга, так как «чувствительность» метода к изменениям коэффициентов является незначительной.
При построении комплексного критерия возможно использование метода стохастической комплексной оценки, к которому можно отнести метод двумерного шкалирования, позволяющий учитывать, кроме абсолютных значений показателей и степени варьирования, механизм влияния отдельных факторов на результаты оценивания деятельности. Этот метод по содержанию является как бы мостом между детерминированным и стохастическим методами, поскольку имеются характерные черты для обеих групп. Во многих случаях задачу построения обобщающих оценок эффективности деятельности объектов можно решать, использовав экспертные методы. При этом обобщающая оценка ?(х) характеризуется выполнением предприятием поставленных перед ним целей, выраженных через частные показатели эффективности. Задание целевой функции дает возможность интегрально оценить различные стороны деятельности с конечной целью их оптимизации.

Таким образом, критерий – это целевой показатель, по которому можно судить о достижении определенного уровня эффективности. Наличие интегрального (комплексного) критерия эффективности дает возможность оценивать все виды организационных преобразований, а не только какие-то отдельные аспекты деятельности предприятия. Это позволяет придать всем бизнес-процессам строго целевой характер и управлять предприятием как единой системой.
Предпринимательская деятельность всегда направлена на достижение цели, хотя не всегда к ней приводит. Но обязательно заканчивается результатом, даже если он и не запланирован или не имеет положительного характера. Если конечный результат совпадает с целью, то деятельность может быть признана рациональной, если же такое совпадение отсутствует – деятельность является нерациональной.
Совпадение результата и цели особенно важно с позиции выбора наиболее успешных решений. Такое совпадение свидетельствует о том, что выбранные условия соответствуют «стандартам рациональности», а анализ ситуации достаточно полный и обоснованный.
Более точным определением таких понятий, как «успешная деятельность», «деятельность, соответствующая принципам рациональности», является понятие эффективности как отражающее возможность получения результата (или уже полученный результат) при определенных условиях осуществления деятельности. Это обстоятельство помогает выделить основной принцип измерения эффективности – принцип взаимосвязи цели и конечного результата деятельности. Распространяя этот принцип на систему предпринимательства и ее специфичную область – строительство, важно подчеркнуть необходимость такого построения методической базы для оценки эффективности предпринимательских решений, когда моделируемый результат адекватен условиям и задачам целеполагания.
Предпринимательству, базирующемуся на современной маркетинговой концепции, всегда присуща множественность целей. Она проявляется в первую очередь в альтернативности процесса целеполагания, когда из множества целей выбирается одна, в наибольшей степени соответствующая принципам эффективности. Множественность целей может проявляться в ее многокомпонентном составе. Предпринимательская деятельность, как известно, агрегирует в себе три аспекта: производственный, коммерческий и финансовый. Для каждого из направлений характерны собственные цели, иногда взаимоисключающие (например, при стремлении к росту прибыли и минимизации затрат). При этом, разумеется, ставятся задачи поиска единонаправленных целей или в крайнем случае – установления разумного компромисса. Такой компромисс не всегда возможен, и задача оценки эффективности в этих случаях решается с помощью метода многоцелевой оптимизации.
Такой подход обусловливает второй принцип оценки эффективности предпринимательства – доступность использования нескольких критериев оптимальности. Важно подчеркнуть, что речь идет именно о допустимости использования критериев, а не их необходимости. Совокупность критериев используется в тех случаях, когда нет возможности для применения единых или обобщенных оценок.
Процесс установления целей осуществляется в рамках разработки стратегии маркетинга и функционирования системы предпринимательства. Стратегия представляет собой обоснованную программу действий, ориентированную на достижение определенной цели. Отличительная черта стратегии – наличие цели.
Ее присутствие позволяет трактовать стратегию как совокупность концептуальных положений, изложенных в приемлемой для практики форме.
Цели, а значит, и конечные результаты, требующие отражения в показателе эффективности, бывают двух видов: качественные и количественные.
В зависимости от применяемой стратегии и внешних условий могут выдвигаться как количественные, так и качественные цели. Однако в системе предпринимательства к процессу целеполагания предъявляются особые требования. Они обусловлены интеграцией целеполагания в единый планово-управленческий цикл. В этом цикле целевые установки составляют базу для стратегических решений, реализация которых обеспечивается тактическими и оперативными мероприятиями. Они же закладываются в основу контроля полученных результатов, где осуществляется процедура сравнения целей и результатов. На этапе контроля количественные оценки дают более точные и обоснованные результаты. Качественные оценки также пригодные, в принципе, для проведения процедур контроля, позволяют получать менее точные и надежные результаты. Безусловно, любые качественные категории могут быть описаны количественными оценками с помощью баллов или индексами. Но такие оценки всегда имеют элемент условности, который можно сократить (например, с помощью соблюдения всех правил и принципов экспертного метода), но невозможно полностью исключить. Поэтому при оценке эффективности предпринимательства следует отдавать предпочтение количественным оценкам, используя их как для характеристики цели, так и для характеристики результата.
Концепция маркетинга предполагает к использованию различные виды стратегий (а вместе с ними и цепочку «цели – результаты»). Наибольшее распространение получили так называемые наступательные стратегии. Среди целей, присущих наступательным стратегиям, можно выделить: увеличение объема продаж и прибыли (в количественном выражении), овладение определенным сегментом рынка, занятие определенного положения в конкурентной среде, прирост объема производства и производительности труда, достижение количественно выраженного социального эффекта.
Для того чтобы выделить основные из них с точки зрения специфики и задач развития предпринимательства, необходимо обратиться к некоторым особенностям развития рыночной среды, которая представляет собой открытую организационно-хозяйственную систему, где субъекты (бизнес-субъекты) реализуют свои взаимные интересы и функционируют в условиях конкуренции, занимая определенную долю рынка (сегмент). Увеличение занимаемой доли рынка, приращение конкурентных преимуществ обусловливают устойчивость стратегических позиций бизнес-субъекта, т. е. характеризуют возможность его эффективного функционирования в длительной перспективе.
В условиях стратегической устойчивости появляются дополнительные возможности для реализации всего круга задач, установленных в рамках маркетинговой концепции и способствующих увеличению прибыльности и доходности предпринимательской деятельности. Таким образом, целевые приоритеты ориентируются в сторону необходимости управления рынком, с помощью которого бизнес-субъект укрепляет свои рыночные позиции и получает дополнительные возможности для повышения совокупного результата своей деятельности в течение периода, обусловленного стратегией.
Третий принцип оценки эффективности предпринимательства – в процессе целеполагания целесообразно отдавать преимущество целям, характеризующим устойчивость рыночных позиций предпринимателя, реализуя принципы маркетинга, как рыночной концепции управления. Такой подход не противоречит стремлению к максимизации прибыли, характерному для маркетинговой концепции, но создает условия для успешного функционирования в длительной перспективе. Оценка эффективности при этом проводится с учетом стратегических приоритетов, а во множестве возможных оценочных показателей превалируют показатели, характеризующие результативность усилий, предпринимаемых в том или ином стратегическом направлении.
Четвертым принципом оценки эффективности является ее (оценки) взаимосвязь с жизненным циклом продукции.
На стадии разработки и внедрения продукта, как известно, прибыль не образуется. Прибыль имеет при этом мотивационный характер, т. е. формирующие мотивы, в силу которых решаются задачи по сокращению длительности этих стадий, повышению качества разрабатываемого и внедряемого продукта, обеспечению его соответствия потребностям целевого сегмента, а также сокращению затрат на исследование продукта, его апробацию, подготовку рынка и внедрению в рыночную среду. В силу этого обстоятельства для оценки эффективности предпринимательства на этих стадиях требуются специфические показатели, ориентированные на стратегические задачи, охватывающие весь планируемый жизненный цикл продукции, начиная от формирования идеи и заканчивая снятием продукции с производства.
На стадии роста, когда появляются реальные доказательства соответствия товара требованиям целевого сегмента, целесообразно использование показателя прибыли, что обусловлено логикой жизненного цикла товара.
Вместе с тем на этой стадии необходимо решать задачи по увеличению рыночной доли и завоеванию новых рынков или сегментов, так как увеличение темпов роста объема продаж и прибыли свидетельствует о достаточно высоком и широком рыночном признании. Оценка степени достижения этих целей, инновационных по сути, имеет в своей основе стратегические соображения и смыкается с задачей более полного овладения рынком. Поэтому на стадии роста возможно сочетание нескольких методов и показателей оценки эффективности, охватывающих самостоятельные направления предпринимательской деятельности, формирующихся на различных потребительских рынках.
На стадии зрелости в системе оценочных показателей, очевидно, доминирует показатель прибыли. Являясь индикатором стадийных изменений в жизненном цикле продукции, он отражает саму суть стадии зрелости – стабилизация роста прибыли, детерминируемая такими факторами, как признание продукта потребителем, сокращение себестоимости продукции, работ, услуг, вследствие совершенствования производственного цикла и т. д.
Однако в конце стадии, когда наблюдаются первые признаки абсолютного снижения показателя прибыли, становятся актуальными задачи обновления ассортиментного ряда продукции и разработки новых продуктов (работ, услуг). При этом возрастает значение стратегических задач – поиск новых идей, их разработка, испытание, продвижение на строительный рынок и т. д., а оценка эффективности вновь тяготеет к использованию показателей рыночной устойчивости предприятия.
В этой связи оценка результата предпринимательства вновь использует принцип сочетания показателей, когда показатель прибыли дополняется показателями, характеризующими позиции организации в конкурентной среде (например, местоположение организации в иерархической последовательности конкурирующих организаций, выстроенной с учетом их конкурентоспособности в конкретных условиях рыночной конъюнктуры).
На стадии спада, завершающей жизненный цикл продукции, могут устанавливаться два вида целей: быстрый уход с рынка устаревшей продукции и отказ от активных рыночных действий, имея в виду возможность возобновления спроса на продукцию. Результат предпринимательской деятельности на этой стадии может, в принципе, оцениваться с помощью показателя прибыли, стремящегося к максимально возможному значению. Однако он нуждается в дополнении, в зависимости от поставленных целей. В случае использования стратегии быстрого ухода с рынка необходимо анализировать результаты деятельности по другим компонентам ассортиментного ряда, определяющим совокупный результат деятельности предприятия. При ориентации на возможное возобновление спроса показатель прибыли дополняется аналитическими характеристиками в отношении степени вероятности возобновления спроса, риска, обусловленного его неопределенностью и прогнозируемой длительностью периода, предшествующего новому росту спроса. Важно подчеркнуть, что такие характеристики могут выступать лишь в качестве аналитических, дополняющих основные, но не образующих самостоятельные показатели.
Таким образом, можно констатировать изменчивость результирующих показателей предпринимательской деятельности в зависимости от стадии жизненного цикла продукции, а также возможность их комбинации, обусловленную структурными изменениями в целях и задачах предпринимательства.
Более 800 000 книг и аудиокниг! 📚
Получи 2 месяца Литрес Подписки в подарок и наслаждайся неограниченным чтением
ПОЛУЧИТЬ ПОДАРОК