Управление комплексом маркетинга
А теперь давайте расширим модель и сделаем ее более реалистичной.
Одно из наиболее важных решений, которое нужно принять менеджменту дилера автомобилей, – это определить «комплекс маркетинга», способ распределения средств для инвестиций за этот месяц на такую деятельность, как реклама, продвижение продаж (дополнительные опции, включенные в цену автомобиля), скидки и т. п. Это одни из важнейших рычагов данного бизнеса.
В нашу модель уже включены средства для инвестиций за этот месяц, поэтому давайте добавим для иллюстрации два компонента комплекса маркетинга – рекламу и продвижение продаж.
Реклама и продвижение продаж
Чем являются реклама и продвижение продаж – запасами или потоками? Если это запасы, то какие потоки им соответствуют? И наоборот – если это потоки, то какие им соответствуют запасы? Как бы вы нарисовали диаграмму запасов и потоков, отражающую суть того, как реклама и продвижение продаж работают на бизнес?
Для меня реклама – это запас. Каждый месяц на рекламу тратятся деньги, и запас растет, все это делается с целью заставить меня купить товар или воспользоваться услугой. Когда рекламная кампания закончится, я буду помнить, хотя бы некоторое время, рекламу, которая мне понравилась. Но со временем я ее забуду, и влияние рекламы будет неуклонно уменьшаться. На рис. 12.11 показана диаграмма запасов и потоков, отражающая эту ситуацию.

Каждый месяц затраты на рекламу за этот месяц постепенно увеличивают запас рекламы. Ручка указывает, что начальное значение для этого элемента показано на контрольной панели. Истощение запаса показано с помощью потока ослабление рекламы, который контролируется продолжительностью жизни рекламы, еще одной переменной, которую можно увидеть на контрольной панели. Мысль в том, что запас рекламы имеет продолжительность жизни, за пределами которой реклама больше не действует. Эта продолжительность жизни, вероятно, зависит от художественной ценности рекламы и воздействия кампании и может составлять, скажем, полгода. Значит, в отсутствие притоков в затраты на рекламу за этот месяц запас рекламы истощится примерно за шесть месяцев, то есть каждый месяц он будет истощаться на одну шестую. Поэтому модель ослабления рекламы будет выглядеть следующим образом:
Ослабление рекламы = запас рекламы / продолжительность жизни рекламы.
Коммерческое воздействие запаса рекламы в любой момент времени представлено влиянием рекламы на привлечение клиентов, функцией графика, представляющей ментальную модель того, как команда управления дилера представляет себе работу рекламы (рис. 12.12).
Этот график показывает, что, если компания не будет тратить на рекламу ничего, она по-прежнему будет продавать около 200 автомобилей в месяц благодаря рекламе производителя, а также за счет продаж клиентам, которых привлекает репутация марки, и лояльным клиентам, которые совершают повторную покупку.

Реклама стоит дорого, и график показывает, что команда руководителей считает: им нужен запас рекламы примерно в ?3 млн, чтобы привлечь значительно больше, чем базовый уровень в 200 новых клиентов. Увеличение запаса с ?3 млн до ?4,5 млн окажет сильное влияние, что показано крутым подъемом графика, но, когда запас приближается к ?5 млн, отдача начинает убывать и влияние рекламы выравнивается. Конечно, этот график является отражением всего одной ментальной модели. Многие решения, касающиеся рекламы, принимаются на основе похожих ментальных моделей, но предположения обычно не высказываются явно. Как я уже отмечал, одним из значительных преимуществ системной динамики является то, что она способствует этому. Легкость, с которой графики можно рисовать прямо на экране, пропускать через модель, менять и пропускать снова, помогает понять поведение этих важных, но часто не измеряемых переменных. Как мы видели в главе 10, переменные в форме влияния [чего-либо] на привлечение и удержание клиентов важны при соединении уравновешивающей петли, определяющей рычаги управления, и усиливающей петли, движущей ростом бизнеса. Этот график является примером того, как может выглядеть одна из этих переменных.
На рис. 12.13 показана диаграмма запасов и потоков, структурно идентичная диаграмме для рекламы.

Согласно моей ментальной модели, по времени влияние запаса продвижения короче, чем влияние запаса рекламы, поэтому продолжительность жизни продвижения будет составлять, скажем, месяц или два. Влияние продвижения на привлечение клиентов тоже отличается, например, график может быть таким, как на рис. 12.14.

Он отражает то, что примерно 100 новых автомобилей в месяц продаются на основе продвижения, финансируемого производителем, но вначале кривая растет довольно резко, так как клиентов привлекают относительно недорогие предложения. Затем график стабилизируется, и далее рост запаса с примерно ?0,8 млн до ?2,5 млн почти не оказывает влияния на график. Однако выше этого уровня кривая опять начинает резко подниматься вверх. Это происходит, когда клиентов привлекает выгодное предложение, например на праздники.
И снова это всего лишь одна ментальная модель. Существует множество других. Какова ваша?
Эти две переменные комплекса маркетинга можно соединить на одной диаграмме (рис. 12.15), которая содержит два дополнительных понятия.

Во-первых, базовый уровень новых клиентов в месяц – это просто сумма влияния рекламы на привлечение клиентов и влияния продвижения на привлечение клиентов. По мере того как модель прокручивает каждый период времени, в любой момент времени запас рекламы и запас продвижения будут иметь конкретные значения, зависящие от предыдущего характера поведения притоков затрат на рекламу за этот месяц и затрат на продвижение за этот месяц и оттоков ослабления рекламы и ослабления продвижения. В каждый момент модель использует функции графика, чтобы трансформировать текущие значения запаса рекламы и запаса продвижения в количество новых клиентов, найдя соответствующие точки на горизонтальной оси, поднявшись вверх по каждому графику и затем выбрав соответствующие точки на вертикальной оси. Затраты на каждый элемент комплекса маркетинга выражаются в количестве новых клиентов, эти два числа складываются и дают базовый уровень новых клиентов в месяц. Я использовал выражение «базовый уровень», потому что он не зависит от насыщающего влияния возрастающей доли рынка, о которой мы говорили прежде. Реальное количество новых клиентов за этот месяц будет рассчитано на основе базового уровня новых клиентов за этот месяц, умноженного на эффект насыщения рынка.
Второе новое понятие, представленное на рис. 12.15, – это собственно решение о комплексе маркетинга, о распределении затрат между рекламой и продвижением. Один из высокоэффективных способов принять его – указать два вводных параметра, процент затрат на рекламу и процент затрат на продвижение, которые определяют политику распределения. Эти параметры представляют планируемые затраты, к которым мы стремимся. Реальные значения затрат на рекламу за этот месяц и затрат на продвижение за этот месяц получают, применяя эти два значения процентов к средствам для инвестиций в этом месяце.
Эти два значения появятся на контрольной панели, поскольку это вводимые параметры, в данном случае в виде «ползунков», как показано на рис. 12.16. Эти два значения в сумме должны давать 100 %, и ithink предлагает вам значение второго «ползунка», чтобы в сумме получилось 100 %.
На рис. 12.16 показано соотношение 40:60 в пользу продвижения. Распределено 100 % средств, как и требуется. Эти два «ползунка» связаны друг с другом, поэтому, когда вы с помощью курсора передвигаете один из них, другой движется автоматически, чтобы два значения в сумме не превысили 100 %. Если сумма этих значений меньше 100 %, остаток показывается как «не распределено».

На этом я завершу описание имитации комплекса маркетинга. Дополнительная диаграмма запасов и потоков, конечно же, является частью большей картины, стоящей рядом с диаграммой двигателя роста бизнеса, которую мы уже рассмотрели. В диаграмме комплекса маркетинга вводятся средства для инвестиций за этот месяц, и в результате получают базовый уровень новых клиентов за этот месяц. Теперь диаграмма двигателя роста выглядит как на рис. 12.17.

Она очень похожа на диаграмму на рис. 12.2, но в ней есть ряд отличий.
Во-первых, здесь нет связи между средствами для инвестиций за этот месяц и новыми клиентами за этот месяц. Данную связь заменила диаграмма комплекса маркетинга, которой движет эта переменная и которая рассчитывает базовый уровень новых клиентов за этот месяц. Этот элемент также появился на диаграмме, где он «подпитывает» новых клиентов за этот месяц, на количество которых влияет эффект насыщения рынка. Вы также заметите, что круг, обозначенный как базовый уровень клиентов, показан пунктиром. Это означает, что переменная действует как связь между двумя различными диаграммами запасов и потоков. Возможность связывать диаграммы подобным образом позволяет изображать очень сложные системы на нескольких диаграммах и избегать необходимости рисовать перегруженные, а следовательно, непонятные диаграммы.
Связь, идущая от средств для инвестиций за этот месяц через диаграмму комплекса маркетинга и обратно к новым клиентам за этот месяц, является формальным проявлением в системной динамике связи между уравновешивающей петлей рычагов управления и усиливающей петлей двигателя роста бизнеса, который мы подробно рассматривали в главе 10. В этом примере показаны всего два рычага – реклама и продвижение, планируемые показатели которых обозначены в правиле распределения. Прочие рычаги можно присоединить аналогично.
На этой диаграмме есть еще один новый элемент. На рис. 12.2 была показана прямая связь между доходом от продаж за этот месяц и чистой прибылью за этот месяц, как указано общей маржей. На рис. 12.17 в петлю двигателя роста бизнеса введена новая переменная, валовая прибыль за этот месяц, которая рассчитывается с помощью дохода от продаж за этот месяц и валовой маржи. Затем, чтобы рассчитать чистую прибыль за этот месяц, из валовой прибыли за этот месяц вычитают накладные расходы (за исключением затрат на рекламу и продвижение). Признание накладных расходов позволяет рассматривать их явно, как показано на графике на рис. 12.18.

Расчет чистой прибыли за этот месяц:
ЧИСТАЯ ПРИБЫЛЬ ЗА ЭТОТ МЕСЯЦ = ВАЛОВАЯ ПРИБЫЛЬ ЗА ЭТОТ МЕСЯЦ – НАКЛАДНЫЕ РАСХОДЫ
дает новую возможность: чистая прибыль за этот месяц может быть отрицательной, если накладные расходы будут высоки.
У этой возможности есть два следствия: во-первых, влияние на средства для инвестиций за этот месяц и, во-вторых, влияние на нераспределенную прибыль за этот месяц. Одна из потенциальных реакций на такую возможность состоит в ограничении средств для инвестиций до минимального значения нуль с использованием условного правила:
СРЕДСТВА ДЛЯ ИНВЕСТИЦИЙ ЗА ЭТОТ МЕСЯЦ =
ЕСЛИ (чистая прибыль за этот месяц > 0)
ТО (чистая прибыль за этот месяц ? коэффициент инвестиций / 100)
ИНАЧЕ (0).
По этому правилу выполняется именно то, о чем в нем говорится: если чистая прибыль за этот месяц является положительным числом, то средства для инвестиций за этот месяц рассчитываются путем умножения чистой прибыли за этот месяц на коэффициент инвестиций. Если чистая прибыль за этот месяц равна нулю или является отрицательным числом, то средства для инвестиций за этот месяц равны нулю. Это логично, но, как следствие, нераспределенная прибыль за этот месяц будет равна (отрицательно) чистой прибыли за этот месяц, и нераспределенная прибыль за этот месяц будет уменьшать доходы инвесторов. В этих обстоятельствах нераспределенная прибыль за этот месяц будет действовать скорее как отток от доходов инвесторов, чем как приток.
Потоки, которые могут действовать как притоки или оттоки в зависимости от обстоятельств, известны как двусторонние потоки (в отличие от односторонних потоков) и обозначаются как кран с двумя трубами (рис. 12.19).

Двусторонний поток действует довольно просто. В каждый период времени модель рассчитывает нераспределенную прибыль за данный период, и если она положительна, доходы инвесторов увеличиваются. Если же она отрицательна, доходы инвесторов сокращаются.
Контрольная панель также изменилась и теперь включает новые переменные, а также средство прямого просмотра некоторых из основных результатов (рис. 12.20).


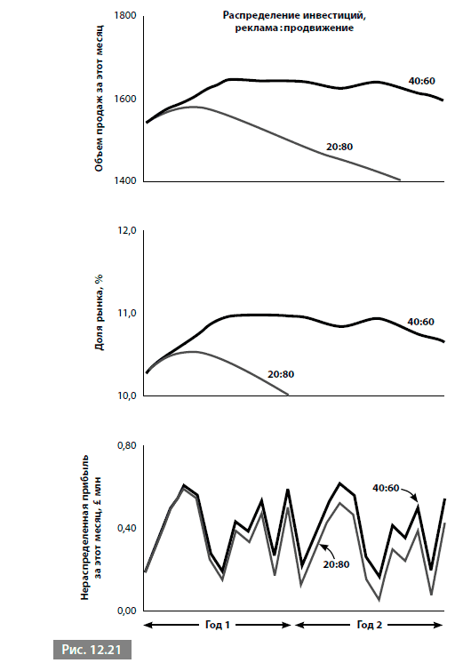
Каковы же результаты? На рис. 12.21 показаны некоторые из результатов для настроек, продемонстрированных на контрольной панели, в двух вариантах: с 20 % средств для инвестиций за этот месяц, выделенными на рекламу, и 80 % – на продвижение и с распределением средств 40:60.
Более 800 000 книг и аудиокниг! 📚
Получи 2 месяца Литрес Подписки в подарок и наслаждайся неограниченным чтением
ПОЛУЧИТЬ ПОДАРОК