Идеально ли соотношение 80:20?
Соотношение 80:20 я предложил наугад, возможно, 85:15 или даже 100:0 окажется более выгодным. С помощью «ползунка» на контрольной панели это легко проверить. Однако когда доля средств, выделяемых на рекламу, достигает примерно 70 %, дальнейшее увеличение оказывает слабое влияние, доход все равно понижается.
Но где начинается это понижение? График влияния рекламы напривлечение новых клиентов является одним примером (см. рис. 12.12), он выравнивается на уровне запаса рекламы в размере ?4,5 млн. В отличие от него график влияния продвижения на привлечение новых клиентов (см. рис. 12.14) после выравнивания снова начинает расти.
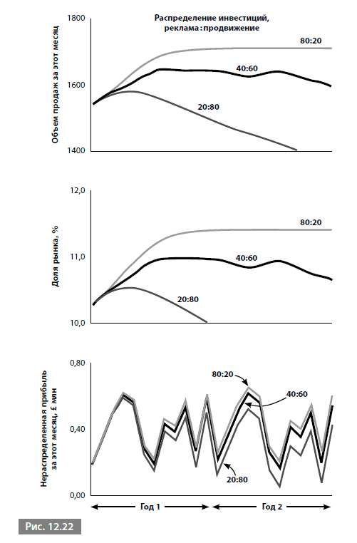
Однако имеется еще одно ограничение, предел доли рынка, который действует независимо от всех остальных переменных. Как показывает график эффекта насыщения рынка на рис. 12.4, очень сложно увеличить долю рынка после достижения ею отметки 11 % и еще сложнее после 11,5 %. График на рис. 12.22 показывает, что соотношение 80:20 приводит долю рынка к стабильному уровню 11,4 %, что довольно близко к максимально возможному.
Итак, есть два независимых ограничения, движущих снижением доходов: влияниерекламы, которое выравнивает запас рекламы на отметке чуть выше ?4,5 млн, и эффект насыщения рынка, который значительно затрудняет рост доли рынка выше 11,5 %.
Но какое ограничение вступает в силу первым? Если реклама, то доля рынка выровнялась бы, но на уровне ниже 11 %. Однако если первым вступит ограничение доли рынка, доля рынка вырастет до уровня примерно 11,5 % и не двинется оттуда, сколько бы средств ни тратилось на рекламу и продвижение.
На рис. 12.22 показано, что доля рынка ограничивается на уровне примерно 11 %, очень близко к ограничению доли рынка. Это означает, что оно вступает в силу первым.

Если это действительно так, можно сделать важный вывод: может быть, мы тратим на рекламу и продвижение слишком много, выбрасывая деньги на кампании, которые просто не могут переломить ограничение доли рынка?
Это можно проверить с помощью модели. Важной переменной здесь является коэффициент инвестиций, процент чистой прибыли за этот месяц, который определяет, сколько выделено на средства для инвестиций за этот месяц, являющиеся в свою очередь источником затрат на рекламу за этот месяц и затрат на продвижение за этот месяц. Если мы сократим коэффициент инвестиций, меньше денег будет выделено на средства для инвестиций за этот месяц, но это может и не иметь большого значения. Действительно имеет значение, что деньги, не предназначенные для увеличения инвестиций, увеличивают нераспределенную прибыль за этот месяц, а следовательно, и доходы инвесторов.
Так что произойдет, когда коэффициент инвестиций составит 50 %, а остальные средства для инвестиций распределятся между рекламой и продвижением в соотношении 80:20?

На рис. 12.23 показан результат, наложенный на последнюю группу графиков с коэффициентом инвестиций 75 %.
В этот раз в результате работы модели мы видим чуть более низкий объем продаж за этот месяц и долю рынка, что ожидаемо, поскольку было инвестировано значительно меньше средств. Тем не менее сокращение невелико. Когда коэффициент инвестиций составлял 75 %, ежемесячно тратилась более крупная сумма в безнадежных попытках стимулировать усиливающую петлю двигателя роста с помощью рекламы и продвижения, в то время как уравновешивающая петля насыщения рынка сильнее отталкивала назад. Если тратить значительно меньшие суммы, это не оказывает измеримого влияния на продажи, но посмотрите, как это влияет на нераспределенную прибыль за этотмесяц! Она ежемесячно удваивается. Когда коэффициент инвестиций составлял 75 %, 25 % чистой прибыли за этот месяц направлялось в нераспределенную прибыль за этот месяц. Теперь, когда коэффициент инвестиций установлен на уровне 50 %, остальные 50 % идут на доходы инвесторов.
Как можно видеть, в этом более реалистичном случае речь идет не о распределении средств между рекламой и продвижением, а в первую очередь о том, сколько потратить.
Как мы видели в главе 8, очень заманчиво сильнее давить на газ, чтобы двигатель роста работал активнее. Но когда на усиливающую петлю действуют ограничители, это может истощить ресурсы.
Более 800 000 книг и аудиокниг! 📚
Получи 2 месяца Литрес Подписки в подарок и наслаждайся неограниченным чтением
ПОЛУЧИТЬ ПОДАРОК