7. Заключительные замечания
В этом заключении обсуждаются два центральных вопроса данной главы: исторический опыт Генуи и процесс государственного строительства. Затем я обращаюсь к общей гипотезе, которую подсказывает анализ в отношении различных траекторий государственного развития в Европе и в мусульманском мире. В частности, здесь отмечается, что в Европе крупные социальные структуры, основанные на родстве, препятствовавшие образованию эффективных государств, к концу периода зрелого Средневековья уже приходили в упадок. Однако в мусульманском мире дело обстояло иначе.
7.1. Опыт Генуи: институты и построение эффективного государства
Для понимания политической, экономической и социальной истории Генуи необходимо рассмотреть институты, которые ограничивали насилие внутри города и поддерживали политику, способствовавшую росту. История Генуи формировалась этими институтами, особенности которых, а следовательно, и их эффективность отражали нечто большее, чем выполняемые ими функции. Особенности этих институтов также отражали институциональные элементы, унаследованные из прошлого. Кланы, убеждения и нормы, формировавшие их цели и мотивировавшие их поведение, оказывали координирующее и включающее действие на институциональное развитие Генуи, основывавшееся на необходимости обеспечивать взаимное сдерживание и мотивировать кланы на мобилизацию ресурсов для поддержки генуэзской торговли.
На раннем этапе развития коммуны консулат обеспечивал средства для координации поведения кланов, но у него не было возможностей заставить их выполнять свои решения. Преобладал мир, но подрывалось благосостояние, потому что взаимное сдерживание вбивало клин между уровнем привилегий, который был экономически эффективен, и уровнем, составлявшим равновесный исход. В период после 1154 г. внешняя угроза способствовала межклановой мобилизации ресурсов. Угроза подразумевала, что каждый клан меньше выигрывал от конфронтации с другим кланом, так что для всех кланов было выгоднее принять обязательство воздерживаться от нападений после торговой экспансии. Таким образом, экономическая структура Генуи трансформировалась в структуру, основанную на привилегиях.
Экономическое процветание и другие следствия консулата, однако, подрывали самоподдерживаемость институциональных оснований Генуи. Кланы были мотивированы инвестировать в принудительную власть, а индивиды больше идентифицировали себя со своими кланами, а не с городом Генуей. Взаимное сдерживание постепенно становилось равновесием на меньшем множестве параметров. Когда внешняя угроза неожиданно исчезла, мир перестал быть равновесным исходом, и Генуя низверглась в гражданскую войну.
Чтобы установился новый самоподдерживающийся политический институт, подестат, потребовались 30 лет и особые исторические обстоятельства. Переход к подестату отражает признание институциональной неудачи, возросшую внешнюю угрозу, процесс изучения возможных альтернатив и, что более вероятно, адекватное лидерство. Отношения между старым и новым институтами, однако, отражают фундаментальную асимметрию и дальнейшее воздействие прошлых институтов на последующие. Подестат был выстроен вокруг институциональных элементов, унаследованных из прошлого, включая клановую структуру Генуи, убеждения и нормы кланов.
Однако все же впервые Генуэзское государство получило независимую власть над кланами. Подестат был самоподдерживающимся институциональным изменением, расширяющим круг параметров, при которых межклановое взаимное сдерживание было самоподдерживающимся. Хотя подеста обладал карательной властью и способностью принимать решения, однако он нуждался в соответствующей мотивации для достижения желаемого результата.
Система подестата эндогенно мотивировала его вступать в конфронтацию с кланом-агрессором и исключать сговор с каким-либо одним кланом, а также удерживала от использования принудительной власти для нарушения прав или получения контроля над городом. Таким образом, система подестата представляла собой форму ограниченного правления.
Однако в итоге подестат не смог сохранить политический порядок. Как и консульская система, он был самоподрывающимся. У кланов сохранялись стимулы для наращивания военной силы и для определения идентичности своих членов именно как членов клана, а не как граждан Генуи. Военная сила оставалась средством, при помощи которого различные социальные группы боролись за осуществление своих целей, а у подеста не было стимула изменять базовую клановую структуру Генуи. В конечном счете ему не удалось сохранить баланс власти между различными соперничающими группировками Генуи, и система рухнула.
Чтобы понять политическую, экономическую и социальную историю Генуи, нам придется изучить ее государственное устройство как самоподдерживающееся. Видимо, схожий анализ необходим для понимания относительного успеха или неудачи других прошлых и настоящих государственных образований. Таким образом, нам следует выйти за рамки распространенного политико-экономического анализа, который принимает государство как данность и сосредоточивается на правилах, регулирующих проведение выборов, коллективное принятие решений и поведение агентов государства.
Точно так же нам не следует останавливаться на допущении о том, что государство наделено принудительной властью. Вместо этого мы должны изучить факторы, влияющие на получение и использование принудительной власти в обществе. Говоря обобщенно, нам следует изучить политические образования и политические исходы как самоподдерживающиеся и признать, что на выбор агентов среди различных экономических, социальных и политических действий влияет их воздействие на это самоподдержание.
7.2. Насилие, институты и процветание
Как подход, рассматривающий правителя в качестве хищника, так и неогоббсианский подход постулируют, что существование государства предполагает обладание монополией на принудительную власть. Исторический опыт Генуи подчеркивает ограничения этого допущения. Институты, влияющие на получение и использование карательной власти (карательно-принудительные институты), играют центральную роль в процессе построения государства и его исторических последствиях. В эффективном государстве, нацеленном на увеличение благосостояния, эти институты делают принудительную власть эффективной, поскольку она применяется для предотвращения использования принудительной власти в целях перераспределения ресурсов, ухудшающего благосостояние. В Генуе это достигалось при помощи подеста, наделенного принудительной властью для сдерживания генуэзских кланов, принудительная власть которых, в свою очередь, ограничивала его возможность нарушать права, используя свою власть.
Однако, как мы видим, этого было недостаточно, чтобы гарантировать долгосрочное процветание, поскольку подестат не сумел разрушить клановую структуру. Изучение процессов построения государства с эксплицитным определением отношений между насилием, институтами и процветанием будет способствовать более глубокому пониманию неудач и успехов этих процессов.
Действительно, анализ Генуи раскрывает ограниченность интуитивного утверждения, имплицитно присутствующего как в подходе, рассматривающем правителя как хищника, так и в неогоббсианском подходе, согласно которому мир всегда способствует экономическому процветанию, тогда как насилие его всегда подрывает. Воздействие порядка или его отсутствия зависит от институтов, делающих мир или насилие равновесным исходом.
При консулате в Генуе царил мир. Однако при анализе лежавшего за ним взаимного сдерживания оказывается, что он только частично способствовал процветанию. Убеждения, ассоциировавшиеся со взаимным сдерживанием, отвращали кланы от осуществления экономически продуктивных действий, потому что они нарушили бы самоподдержание мира. Мир устанавливался ценой ограниченного процветания (более общий анализ этого феномена см.: [Bates et al., 2002]).
Напротив, политическое насилие в Генуе не всегда наносило ущерб экономическому процветанию. Банк «Сан-Джорджо» обеспечивал координацию и согласовывал интересы генуэзских кредиторов, которые напрямую контролировали большую часть общественного и частного имущества города. Банк усиливал способность собственников брать на себя достоверное обязательство использовать экономическую и принудительную власть для наказания за нарушение своих прав собственности. Представляется, что банк был компонентом института, возможно, похожего на институт, рассмотренный в главе IV, который препятствовал нарушению прав со стороны тех, кто боролся за политический контроль над Генуей.
Говоря обобщенно, опыт Генуи подтверждает тезис о том, что центральной проблемой в построении государства является способность мотивировать уже существующие социальные структуры мобилизовать их военные и экономические ресурсы для создания эффективного государства. Обеспечение такой мотивации проблематично, потому что процесс построения государства может разрушить институты, поддерживавшие политический порядок в этих социальных структурах, а также сами эти социальные структуры. Возможно, современные государства со значительным этническим и племенным расслоением неслучайно сталкиваются с трудностями при переходе к демократическому, мирному и эгалитарному государственному устройству [Collins, 2004].
Внешняя угроза может расширить круг параметров, при которых кооперация между социальными структурами является самоподдерживающейся, тем самым облегчая благотворное сотрудничество [Greif, 1998c]. Отсутствие внешней угрозы в постколониальный период, вполне возможно, помешало заложить основы эффективного государства в современной Африке [Bates, 2001]. Однако на примере Генуи видно, что политически благотворные последствия такой угрозы зависят от двух факторов: во-первых, от неспособности социальных структур вступать с внешней силой в сговор, направленный против другой социальной структуры; во-вторых, от потребности в том, чтобы институты, преобладающие в период угрозы, подрывали, а не подкрепляли эти социальные структуры так, чтобы с прекращением угрозы политический порядок сохранялся.
История Генуи также подчеркивает, что процессы построения государства требуют чего-то большего, чем реформирование политических институтов путем установления новых правил выборов политических лидеров и коллективного принятия решений, превалирующих в эффективных западных государствах. В тех странах и в те времена, когда эти правила возникали эндогенно, они отражали равновесие в отношениях между политическими деятелями. Политические агенты следовали им, потому что они были частью соответствующего самоподдерживающегося института [Greif, 2004b].
Попыток привить западные политические правила в других местах с целью построения эффективного, увеличивающего благосостояние государства, таким образом, недостаточно. Построение подобного государства требует перехода к новым самоподдерживающимся институтам. Создание институтов, связанных с таким государством, сводится к замене одного самоподдерживающегося институционального равновесия другим.
Можно постулировать, что ролевая модель, которую дает европейский опыт, значительно упрощает решение этой проблемы. Сравнительный успех западного государства повлиял на убеждения, нормы и стремления в других частях мира так, что западным политическим правилам теперь легче стать равновесным исходом. Сходным образом экономическая глобализация и урбанизация подорвали социальную структуру, основанную на родстве, которая часто затрудняет построение эффективного государства.
В любом случае успешный переход к новому институциональному равновесию создает определенные проблемы. Те, чья поддержка имеет ключевое значение, должны иметь соответствующую мотивацию. Для этого необходимо гарантировать, что ex post им будет лучше, чем в случае, если они будут препятствовать этому процессу (см.: [Fernandez, Rodrik, 1991; Roland, 2000; Lau et al., 2000]). Государство, способное повлиять на выигрыши ex post, потенциально может обеспечить такие гарантии. Однако такое сильное государство может достоверно предоставить их, только если его власть ограничена – т. е. если оно может взять на себя достоверное обязательство не злоупотреблять своей властью.
Кроме того, чтобы благосостояние росло, такое государство должно стать равновесным исходом без обращения к экономически неэффективным политикам перераспределения. Наконец, чтобы эффективное, увеличивающее благосостояние государство могло выжить, его институциональные основания должны стать самоподдерживающимися при более широком круге параметров и способными эффективно адаптироваться к меняющимся обстоятельствам. А это трудная задача.
7.3. Социальные структуры и государства в Европе и в мусульманском мире
Как показывает история Генуи и Венеции, легкость и средства для благоприятного институционального перехода зависят от институциональных элементов – в частности, от социальных структур и соответствующих убеждений и норм, унаследованных из прошлого. В случае Генуи социальные структуры, основанные на родстве, ограничивали способность строить эффективное государство. Говоря обобщенно, такие структуры внесли большой вклад в провал европейского эксперимента по созданию эффективных государств в период зрелого Средневековья [Tabacco, 1989; Waley, 1988]. Однако в конечном итоге возникновение эффективных государств в Европе, возможно, упростилось за счет относительной слабости структур, основанных на родстве. Племена или кланы не играли центральной роли в европейских политических и экономических институтах в эпоху после зрелого Средневековья.
Уже к началу зрелого Средневековья Европа эволюционировала в направлении общества со слабыми организациями, основанными на родстве. Например, племена, существовавшие в средневековый период, больше не были эффективными социальными структурами. Это хорошо отражено в следующем наблюдении: в ответ на отсутствие эффективного государства в Италии периода зрелого Средневековья было не принято обращаться к социальным структурам, в основе которых были племенные или иные природные группы. Вместо этого Италия создала города-государства или коммуны индивидов, не связанных кровными узами.
Этот сравнительный упадок основанной на родстве организации общества начался в период Средневековья и отражал действия Церкви – социальной структуры, основанной на интересе. По идеологическим или эгоистическим причинам Церковь начиная с IV в. стремилась ослабить европейские структуры, основанные на родстве. Это достигалось за счет таких мер, как запрет браков между родственниками (иногда до седьмого колена), поощрение завещания имущества церкви, защита договорных браков и осуждение практик, направленных на расширение семьи, таких как полигамия, развод и повторный брак [Goody, 1983][246].
Такая политика действовала на протяжении столетий. Например, в 1059 г. энциклика требовала, что «если кто-то взял в жены родственницу до седьмого колена, он должен быть в церковном порядке принужден своим епископом отослать ее; если он откажется, то будет отлучен от Церкви» [Ibid., p. 135]. Многие из этих мер, например моногамия, остались характерными чертами европейской семьи.
К концу зрелого Средневековья социальные структуры, основанные на родстве, больше не играли центральной роли в европейских институциональных комплексах. Подъем альтернативных социальных структур, не основанных на родстве, в таких формах, как коммуны, гильдии, братства и университеты, – отличительный знак времени, отражающий уже достаточно существенный упадок социальных структур, основанных на родстве. Для достижения различных целей и выполнения различных функций, которые традиционно выполнялись социальными структурами, основанными на родстве (или государством), европейцы, будучи, возможно, единственными в этом деле, все больше полагались на самоуправляемые структуры, основанные на интересе.
Говоря более обобщенно (как это показано далее в главе XII), относительное отсутствие как социальных структур, основанных на родстве, так и эффективного государства в период зрелого Средневековья заставило европейцев все больше полагаться на корпорации – самоуправляемые социальные структуры, основанные не на родстве, а на интересе.
Подъем этих социальных структур, в свою очередь, еще больше подрывает структуры, основанные на родстве, путем предоставления альтернатив. Например, уменьшается потребность в опоре на большую семейную структуру в целях подстраховки или защиты. Более того, подобно Церкви, другие социальные структуры, основанные на интересе, подрывали структуры, основанные на родстве, которые им угрожали. Например, итальянские города-государства с большим успехом, чем Генуя, пытались ограничить сильные аристократические кланы, унаследованные из прошлого [Tabacco, 1989; Waley, 1988]. Поскольку Церковь была заинтересована в конституировании себя как корпорации, она поддерживала юридическую науку для того, чтобы определить и санкционировать юридический статус корпораций [Berman, 1983].
Очевидно, что ничего подобного в мусульманском мире не происходило. Хотя даты установить трудно, все же, видимо, широкомасштабные социальные структуры, основанные на родстве, сохранялись там постоянно. Как хорошо известно, ислам создал сильное чувство общей мусульманской идентичности, защищая идеал сообщества верующих с равными правами, уммы.
Действительно, к VIII в. принадлежность к этому религиозному сообществу больше не зависела от конкретных политических, этнических или племенных объединений. Тем не менее социальные структуры, основанные на родстве (племена, кланы и роды), по-прежнему играли центральную роль в мусульманском мире [Watt, 1961; Cahen, 1990; Rahman, 2002; Rippin, 1994; Crone, 2004].
Первоначально мусульманское сообщество, состоявшее в основном из членов арабских племен, было практически сегрегировано от других племенных линий. Со временем члены других этнических групп, менее сегрегированные по племенной линии, чем арабы, приняли ислам, что привело к относительному закату трайбализма на мусульманском Среднем Востоке в целом. Но все же крупные социальные структуры, основанные на родстве (в частности, племена, этнические группы, кланы и крупные семьи), оставались важными институциональными элементами.
Действительно, политическая и военная история мусульманского Среднего Востока показывает неизменную важность племен и этнических групп [Saunders, 1965; Hodgson M., 1974, vol. 1; Kennedy, 1986; Lapidus, 1989; Greif, 2002; Crone, 2003, 2004]. Этот исход отражает историческое наследие религии и первоначальную слабость государства. «Племенная традиция [господствовавшая в мусульманском мире в течение первых двух десятилетий]… обязана своим характером отсутствию государства… родственники держались вместе, чтобы не остаться порознь» [Crone, 2004, p. 51].
Однако, по иронии судьбы, племенной строй также отражал стратегию, которую первые халифы применяли в целях сохранения уммы. Впервые ее использовал первый халиф Абу Бакр, столкнувшийся после смерти Мухаммеда в 632 г. с бунтами, известными как «войны отступников». При поддержке арабских племен, которые остались ему верны, Абу Бакр принудил раскольников сдаться. Кроме того, он инициировал политику, усилившую племенные союзы.
Абу Бакр и его преемник халиф Умар I (634–644) начали мусульманскую военную экспансию за пределы Аравийского полуострова и поделили военные трофеи между различными членами уммы. Постоянное годовое вознаграждение за поддержку уммы выдавалось индивидам, но в контексте племени. Это означало, что человек получал вознаграждение в зависимости от своей принадлежности к племенному союзу. Более того, эта система была установлена для того, чтобы сохранить разделение между завоеванным неарабским населением и их арабскими правителями, а также среди различных арабских племен. Арабы создавали города-гарнизоны, в которых они селились, и каждый район был населен определенным племенем [AlSayyad, 1991]. Обособленность от местного населения усиливалась за счет запрета покупки арабами земель за пределами Южной Аравии.
Первая правящая династия мусульманской империи, Омейяды, продолжала эту политику, но дополнила ее, по-разному относясь к разным этническим группам мусульманского мира. Хотя обращение в ислам поощрялось (например, налоговыми льготами), новообращенные при этом подвергались институциональной дискриминации. Они не могли занимать должности во власти, не могли служить в привилегированной кавалерии и получали неравную долю при дележе военных трофеев. Даже термин, которым называли неарабов, новообращенных в ислам, показывает, до какой степени умма в этот период ассоциировалась с арабской правящей элитой. Новообращенного называли мавля (освобожденный раб, буквально – «вновь родившийся») – термином доисламского происхождения, который в Южной Аравии использовался для обозначения индивидов, которые были пришлыми, не интегрированными членами племени.
Эта стратегия «разделяй по социальным линиям, вознаграждай за поддержку и властвуй» извлекала преимущества из существующих внутри складывающейся исламской империи социальных дифференциаций для создания сильной военной коалиции. Она по-разному вознаграждала членов отдельных социальных структур, таких как этнические группы, племена и кланы. В то же время эта стратегия усиливала существующие социальные разделения и препятствовала социальной интеграции уммы. Даже социальные различия между арабскими племенами оставались в неприкосновенности и находили выражение в постоянных внутренних военных конфликтах в эпоху Омейядов (которая продлилась до 751 г.).
Неарабы сохранили свою особую социальную идентичность, а в некоторых случаях эта социальная дифференциация выражалась и заново генерировалась через религиозное разделение. Мусульмане, которые не были арабами, такие как берберы и персы, приняли особые варианты ислама, отражавшие их неудовлетворенность системой и позволявшие им находить религиозное оправдание своим возражениям.
Обобщая, можно сказать, что последующая политическая история мусульманского мира характеризуется конфликтами между группами с разным этническим происхождением, такими как арабы, персы, берберы, турки и курды. Правители с трудом находили поддержку за пределами своей этнической или племенной группы, что отразилось в их усиленной опоре на рабов (мамлюков), купленных детьми и воспитанных так, чтобы стать солдатами и администраторами. «Исключительная личная преданность раба или клиента-солдата», который не был членом существующих социальных структур по рождению, была «жизненно необходима для политического превосходства правителей» в донововременном мусульманском мире [Lapidus, 1989, p. 148].
Возможно, наилучшими индикаторами различия между социальными структурами двух обществ были брачные модели. В целом единокровные браки представляли собой средство сохранения кланов, родов и большой семьи. Эти браки были и до сих пор остаются распространенными на мусульманском Ближнем Востоке и в Северной Африке. В этом регионе число браков, заключаемых между людьми, являющимися двоюродными или еще более близкими родственниками, самое высокое в мире. В этом поколении и в каждой стране региона такие браки составляют от 20 до 50 % от общего числа [Bittles, 1994]. На Западе сегодня они составляют меньше 1 %[247]. Эта практика могла предшествовать исламу, отражая наследие племенного строя и желание сохранить контроль над богатством семьи, но в то же время ее поощрял мусульманский закон о наследовании [Hodgson M., 1974, vol. 2, p. 124]. По этому закону индивид слабо контролировал распределение своего имущества после смерти. В таком контексте единокровные браки позволяли сохранить нетронутым семейное богатство. Мусульманский закон о наследовании также укреплял большую семью в целом, предписывая, чтобы имущество делилось между многими родственниками [Schacht, 1982 [1964], p. 169–174].
Социальные структуры, основанные на родстве и на рождении, более крупные, чем нуклеарная семья, такие как этнические группы, племена и кланы, по-прежнему господствуют во многих странах Ближнего Востока. Однако племенное разделение и клановые союзы, преобладавшие в Европе в период Средневековья, давно исчезли. Учитывая связь между социальными структурами и процессом построения государства, не надо удивляться тому, что политическое развитие в этих двух обществах заметно отличалось[248].
ПРИЛОЖЕНИЕ VIII.1.
ФОРМАЛЬНАЯ МОДЕЛЬ ГЕНУЭЗСКОГО ПОЛИТИЧЕСКОГО ИНСТИТУТА
Рассмотрим два клана Сi и Cj с бесконечной продолжительностью жизни и с фактором дисконтирования ? ? (0,1). Предположим на время, что количество привилегий составляет Т ? [0, T?] и они порождают общий доход за период, равный I(T). Повторяющаяся игра с полной информацией имеет два подэтапа. На первом оба клана одновременно решают, сотрудничать ли в пиратской операции. Кооперация обоих кланов дает выигрыш в R(T) и общий доход I(T) + R(T)[249]. В конце подэтапа каждый клан k получает свою долю ?k ? (0,1) общего дохода. На следующем подэтапе каждый клан (последовательно) должен принять решение относительно невозвратных инвестиций в военный потенциал, ?k. Это вложение замещает то, что было сделано в прошлом периоде и устарело в момент новых инвестиций. Данное вложение ограничивается бюджетом клана, ?k? ?k [I(T)+ R(T)]. Инвестиции в военный потенциал поддаются наблюдению и поэтому для простоты приравниваются к привлечению сторонников[250]. После инвестиций в военный потенциал и прежде чем произойдет амортизация прошлых военных инвестиций другого клана, клан может решить, вступать в конфронтацию с другим кланом или нет.
Если ни один из кланов не вступает в конфронтацию, период заканчивается, клан k ? {i, j} получает выигрыш ?k [I(T)+ R(T)] – ?k , и игра повторяется. Если один из кланов вступает в конфронтацию, между кланами начинается война. Каждый клан несет расходы на войну, с, и стремится выиграть с вероятностью sk,w(?k, ?—k). Вероятность выигрыша является неубывающей в инвестициях своего собственного клана и невозрастающей в инвестициях оппонента. Победивший клан становится контролирующим кланом, получая весь последующий доход от привилегий за период 7(T)[251]. Проигравший клан получает ценность продолжения, равную нулю.
Вслед за межклановой войной может возникнуть война против внешней угрозы. Чтобы передать воздействие внешней угрозы на межклановые равновесные отношения простым образом, я постулирую, что до межкланового военного конфликта объединенная военная сила кланов и их ожидания сотрудничества в борьбе против внешней угрозы таковы, что влияние внешней угрозы можно не учитывать. Внешняя угроза затрагивает чистые выигрыши, ожидаемые от занятия позиции контролирующего клана и зависящие от военных инвестиций, вероятности войны и исходов такой войны[252].
Предположим, что в каждый период после межклановой войны (если она имела место) контролирующий клан может сделать вложения в военную силу после получения выигрыша в данном периоде. Вслед за этим вложением может начаться война против внешней угрозы. Вероятность такой войны зависит от размеров внешней угрозы, ? ? [0, x? ], и от военной силы контролирующего клана. Соответственно мы можем обозначить ?(?k, ?) как вероятность войны, когда ?k инвестируется в военную силу, а s(?k, ?) – как вероятность ex ante, что либо война не произошла, либо произошла и клан победил.
Вероятность ?(?k, ?) убывает в ?k и возрастает в ?, тогда как s(?k, ?) возрастает в ?k и убывает в ?. В пределе, когда ? ? 0, s(?) ? 1 и ?(?) ? 1, война против угрозы стоит с. Если войны не происходит или если контролирующий клан побеждает, игра продолжается, как раньше. Поражение подразумевает нулевой выигрыш возобновления.
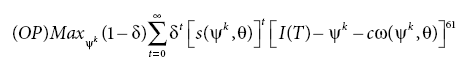
Рассмотрим средний ожидаемый выигрыш клана k с учетом дисконтирования (далее – средний выигрыш), Vk,c(T, ?)[253], являющийся функцией ценности от[254]

в зависимости от ограничения клана на участие, (1 – ?) ? ?t s(?)t[I(T) – ?k – c? (?)] ? 0, и ограничений клана по бюджету, I(T) – ?k – c? (?) ? 0.
Поскольку ОР предполагает максимизацию непрерывной функции на компактном множестве, решение существует. Я предполагаю, что решение является решением во внутренней области. Предположение, что Vk,c(T, ?) возрастает в Т и убывает в ?, является прямым и интуитивным. Выигрыш контролирующего клана возрастает в валовом доходе, а именно в количестве привилегий Т, и убывает в размахе внешней угрозы ?. Очевидно, что клан предпочтет контролировать город с большим количеством прибыльных привилегий и сталкиваться с меньшими рисками и инвестициями, связанными с поддержанием этого контроля. Предположим, что контролирующий клан сочтет выгодным дать отпор внешней угрозе, т. е. ?Vk,s (T, ?; ?k) > c. (Следовательно, эндогенная переменная ?k в Vk,s (T, ?; ?k) эксплицитно не обозначена.)
Равновесие при взаимном сдерживании с фиксированным количеством привилегий
Клан удерживается от вступления в конфронтацию со своим противником, если военные инвестиции другого клана таковы, что ожидаемая чистая выгода от конфронтации меньше, чем от отказа от нее. При равновесии со взаимным сдерживанием ни один клан не может извлечь выгоду из сокращения военных инвестиций или от вступления в конфронтацию с другим кланом.
Для рассмотрения необходимых и достаточных условий, при которых может существовать равновесие со взаимным сдерживанием, предположим, что никакой конфронтации никогда не происходило, что не предполагается, что какой-либо из кланов будет в нее вступать, и что клан k ? {i, j}вкладывает ?k в каждом периоде.
В этом случае средний выигрыш клана k Vk(?k, T; ?k) равен его чистому доходу за период, а именно ?k[I(T) + R(T)] – ?k. Если клан k ожидает получать такой выигрыш от каждого периода, он будет воздерживаться от вступления в конфронтацию, если этот выигрыш выше, чем ожидаемый выигрыш от развязывания межклановой войны.
Формально клан k не будет вступать в конфронтацию тогда и только тогда, когда будет выполняться следующее неравенство:
?Vk,d(?k, T; ?k) ? ?sk,w (?k, ?—k)Vk,c(T, ?; ?k) – c(1 – ?),
где ?Vk,d(?k, T; ?k) – дисконтированная стоимость среднего выигрыша клана при взаимном сдерживании в следующий период, а ?sk,w (?k, ?—k)Vk,c(T, ?; ?k) – c(1 – ?) – его чистая дисконтированная стоимость, если он станет контролирующим кланом в следующем периоде, с вероятностью того, что он победит в межклановой войне (sk,w(?k, ?—k)), минус (средние, с учетом временного дисконтирования) издержки войны.
Нас интересует ситуация, в которой это неравенство действительно для обоих кланов и ни один из них не может извлечь выгоду от сокращения инвестиций в военную силу. Чтобы преобладала такая ситуация, должно быть удовлетворено условие VIII.1.
Условие VIII.1
Существует такое (? i,d, ? j,d), при котором для k ? {i, j}:
а) инвестиции осуществимы: ? k,d ? ? k [I(T) + R(T)];
б) они максимизируют выигрыши: ? k,d ? arg max V k,d (? k, T; ? k) при условии пункта «в»;
в) достижения сдерживания: ? ? —k ? ? —k[I(T) + R(T)], ? —k ? ? k,d, ?V —k,d (? —k, T; ? —k,d) ? ?s —k,w (? —k, ? k,d)V —k,c (T, ?) – (c + (? —k – ? —k,d))(1 – ?). [ICC —k]
Если условие VIII.1 соблюдается, есть осуществимая инвестиция для каждого клана (пункт «а»), являющаяся самой низкой инвестицией (пункт «б»), которая будет удерживать другой клан от вступления в конфронтацию для любой возможной инвестиции другого клана (пункт «в»). Если совершенное в подыгре равновесие со взаимным сдерживанием (?k, T) существует, условие VIII.1 будет выполняться.
Если оно выполняется, из этого прямо следует, что такое равновесие существует[255]. В частности, если условие VIII.1 удовлетворяется, следующая комбинация стратегий является равновесием со взаимным сдерживанием (?k, T): если конфронтация никогда не происходила, клан k ? {i, j} сотрудничает в пиратстве и инвестирует ?k,d в военную силу. Клан не вступает в конфронтацию, если ? —k ? ? k,d, а в противном случае – вступает. Ни один из кланов не сотрудничает в пиратстве после конфронтации. Если клан k когда-либо выигрывал в конфронтации, он инвестирует ?k,c в подготовку к тому, чтобы дать отпор внешней угрозе[256].
Атрибуты эффективности равновесия со взаимным сдерживанием при эндогенном количестве привилегий
Предположим, что доход от привилегий I(T) возрастает, а доход от пиратства R(T) убывает при количестве привилегий Т. В частности, I?(T) ? 0 и R?(T) ? 0. Предположим, что функция I(T) + R(T) является строго вогнутой и имеет единственный максимум, который представляет собой экономически эффективное количество привилегий ? ? (0, T?), I?(?) + R?(?) = 0. Таким образом, экономически эффективным равновесием со взаимным сдерживанием является ?. Оптимальное равновесие со взаимным сдерживанием для клана k максимизирует его средние выигрыши, а именно Vk,d(?k, T; ?k).
Предположим, что доход от привилегий I(T) возрастает, а доход от пиратства R(T) убывает при количестве привилегий Т. В частности, T(T) > 0 и R'(T) < 0. Предположим, что функция I(T) + R(T) является строго вогнутой и имеет единственный максимум, который представляет собой экономически эффективное количество привилегий т е (0, T), I (т) + R' (т) = 0. Таким образом, экономически эффективным равновесием со взаимным сдерживанием является т. Оптимальное равновесие со взаимным сдерживанием для клана k максимизирует его средние выигрыши, а именно Vk4(k, T; yk).
Чтобы установить, был ли мир достигнут в ущерб торговому процветанию, нам нужно определить, является ли действительное равновесие со взаимным сдерживанием еще и оптимальным равновесием со взаимным сдерживанием для каждого конкретного клана. Другими словами, действительно ли сотрудничество в приобретении экономически эффективного количества привилегий (которое максимизирует общий прирост) является лучшим, что может сделать каждый клан?[257] Если ответ отрицательный, мы можем заключить, что теоретически потребность поддержания в Генуе политического порядка препятствовала экономической эффективности. Затем мы можем использовать модель для выявления источника этой эффективности.
Интересен случай, когда эффективное количество привилегий влечет за собой положительные инвестиции в военную силу. Формально необходимым условием для равновесия со взаимным сдерживанием (Xk, T), характеризующимся положительными инвестициями в военную силу, является следующее: существует такая положительная инвестиция для одного клана, которая делает конфронтацию выгодной для него, если другой клан не делает инвестиций, т. е. для k = i или j, ? ?k ? ? k [I(T) + R(T)] такое, что ?s k,w(? k,0)V k,c(T, ?) – (c + ? k)(1 – ?) > ?V k,d(? k, T; 0). Это условие с большей вероятностью будет выполняться, если значение ? ниже (когда V k,c возрастает в ?), с ниже или ? выше.
Теорема VIII.1 гласит, что когда эффективное равновесие со взаимным сдерживанием характеризуется положительными инвестициями в военный потенциал, оно максимизирует валовый средний выигрыш клана, но не чистый средний выигрыш[258].
Теорема VIII.1
a) Предположим, что равновесие со взаимным сдерживанием (?k, ?) существует, равновесные инвестиции кланов в военную силу ? k,* (?) являются строго положительными (без потери общности), ?2s(?/??k2 < 0, и ?2?(?)/(?)/??k2 > 0 для k = i, j (а именно k = i и k = j). Тогда чистый средний выигрыш каждого клана максимзируется в ?.
b) Предположим, что равновесие со взаимным сдерживанием (?k, Т) существует для каждого Т и потенциальных инвестиций в военную силу ?k,d (T), является строго положительным для k = i, j (без потери общности). Тогда, если оптимальное для клана количество привилегий не равно нулю, его чистый средний выигрыш максимизируется при равновесии со взаимным сдерживанием (?k, Т *) таком, что T * < ? и ?k ?I(T *)/?(T) = ??—k,d (T *)/?T —?k ?R(T *)/ ?T.
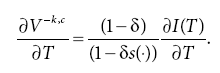
Доказательство. При равновесии со взаимным сдерживанием (?k, Т) оптимальные для клана k инвестиции таковы, что ограничение по стимулу в условии VIII.1 ICC-k является обязательным на самой большой осуществимой инвестиции для клана – k, т. е. ?—k[I(T) + R(T)]. Это локальное обязательное ограничение имплицитно определяет ?—k как функцию от Т, т. е. ?—k,d (T). Наиболее выгодное для клана k равновесие со взаимным сдерживанием (Т) – это равновесие, которое максимизирует его доход за период при равновесии со взаимным сдерживанием, т. е. H(T) = ?k[I(T) + R(T)] – ? —k,d (T). Условием первого порядка для максимизации является:

Оцениваемое при Т = ?, это условие первого порядка выполняется тогда и только тогда, когда 
Равновесное вложение в военную силу ?k,*(?) возрастает в Т, если ?V-k,c/?T > ?V-k,d /?T. По теореме об огибающей

Сходным образом

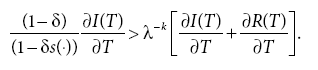
Отсюда ?V—k,c/?T > ?V—k,d/?T тогда и только тогда, когда

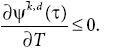
Оцениваемая при Т = т правая сторона этого неравенства равна нулю, а левая сторона строго положительна. Таким образом, равновесная инвестиция в военную силу возрастает в Т = ?, т. е. ??k,d(?/?T > 0, подразумевая, что ожидаемая кланами полезность не максимизируется при эффективном количестве привилегий.
Что касается второго утверждения, ожидаемая кланом к полезность максимизируется при равновесии со взаимным сдерживанием, в котором

Что и требовалось доказать.
Из этой теоремы следует, что неэффективное равновесие со взаимным сдерживанием с большей вероятностью будет существовать, если внешняя угроза слабее. В частности, ожидаемая ценность положения контролирующего клана возрастает с ослаблением внешней угрозы. Это предполагает более широкий диапазон параметров, на котором эффективное равновесие со взаимным сдерживанием характеризуется положительными инвестициями в военную силу, что равноценно наличию положительного числа сторонников (напомним, что инвестиции в военную силу приравнены к вербовке сторонников.)
Формально в пределе, когда ? ? 0 (и следовательно s(?) ? 1 и ?(?) ? 1 для ?k = 0), c(1 —?) ?0 и R(T) ? 0 равновесное число сторонников должно быть положительным если для k = i или j, ? ?k ??k [I(T) + R(T)] таково что sk,w (?k, 0) > ?k, т. е. существует реальное число сторонников, которые делают вероятность победы клана k, sk,w (?) выше, чем его доля прибылей ?k, когда у другого клана нет сторонников.
Теорема VIII.2
Предположим, что для ?T ? [0, ?] существует равновесие со взаимным сдерживанием (?k, T) с положительным равновесным инвестированием в военную силу. Для обоих кланов количество оптимальных привилегий Т*(?) является неубывающим в ?.
Доказательство. Любое сокращение в Vk,c () ослабляет ограничения взаимного сдерживания и делает большее количество привилегий оптимальным для обоих кланов. Поскольку ? влияет только на Vk,c (), для доказательства теоремы достаточно показать, что ожидаемая полезность для контролирующего клана убывает в ?. Ожидаемая полезность для контролирующего клана представляет собой функцию ценности для задачи OP, определенной выше. Чтобы увидеть, что она убывает в ?, определим g(?) = I(T) – ? – c?(?)(> 0) и вспомним, что ?s(?/??< 0 и ???/??> 0. Из этих соотношений и теореме об огибающей следует, что

Что и требовалось доказать.
ПРИЛОЖЕНИЕ VIII.2 СУЩЕСТВОВАНИЕ РАВНОВЕСИЯ СО ВЗАИМНЫМ СДЕРЖИВАНИЕМ
Каковы условия, при которых равновесие со взаимным сдерживанием не существует? Из условия VIII.1 следует, что такое равновесие (?k, Т) не существует, если один клан считает выгодным вступать в конфронтацию, когда другой клан инвестирует все свои ресурсы в укрепление своей военной силы. Иначе говоря, если для k = i или j, ? ?k ? ? k [I(T) + R(T)] такое, что ?-k=?-k [I(T)+R(T)], ?V k,d(? k, T, ?k,d)<?V k,w(? k,?-k)V k,c(T, ?) – (c + ? k -?k,d))(1-?).
В пределе, когда R(T) ?0, ?? 0 (из чего следует, что s()? 1 и ?()? 0 и д ? 1), равновесие со взаимным сдерживанием (?k, Т) не существует тогда и только тогда, когда для k = i или j, ?k < sk,w (•) для некоторого осуществимого ?k и всех осуществимых ?-k. Таким образом, равновесие со взаимным сдерживанием (?k, Т) для размещения ?k не существует, если один клан имеет достаточно сторонников, так что вероятность того, что он победит при конфронтации, выше, чем его доля в доходе.
ПРИЛОЖЕНИЕ VIII.3
СГОВОР И ИГРЫ ПОДЕСТАТА
Игра со сговором
В какой степени клан может ex ante придерживаться обещания вознаградить ex post подеста, который оказывает ему военную помощь? Обозначим как ?i (mi, mk; mi) вероятность того, что игрок i (клан или подеста) выиграет войну против j или K, учитывая сравнительную военную силу mj, mk и mi. Вероятность победы i убывает в mj и mк и возрастает в mj. (для простоты изложения я опущу параметр mj в последующих уравнениях). Если игрок участвует в военной конфронтации, ему приходится нести расходы с. Vj – чистая дисконтированная стоимость контроля над Генуей для игрока i. Предположим, что местные кланы выигрывают больше, чем подеста, от контроля над городом, т. е. Vj > Vp, если игрок i – клан[259].

РИС. VIII.2. Игра в сговор
Посмотрим, что произойдет после того, как клан (скажем, клан 1) и подеста вступят в сговор против другого клана и получат контроль над городом (рис. VIII.2). Контролирующему клану придется решать, какое вознаграждение Rp > 0 дать подеста. Как только эта награда объявлена, подеста может либо принять, либо отвергнуть ее и бороться с кланом за контроль над городом. Если он ее принимает, выигрыши составляют V1 – Rp для клана и Rp для подеста. Если он отвергает ее и борется, ожидаемый выигрыш для каждого – вероятность победы минус издержки на получение контроля минус издержки на войну, а именно (1 – vp(m1))V1 – c и vp(m1)Vp – c.
Клан не сочтет выгодным предложить Rp выше, чем то, что требуется, чтобы сделать безразличным выбор между борьбой и отказом от борьбы, т. е. V1 – Rp > (1 – v(m1))V1 – c. Следовательно, он предложит Rp ? vp(m1)V1 + c. Если подеста получает платеж, равный чистой ожидаемой стоимости борьбы против клана, а именно Rp ? vp(m1)Vp – c, он сочтет оптимальным для себя не вступать в борьбу. Таким образом, при любом совершенном по подыграм равновесии клан не предложит больше суммы, необходимой для того, чтобы выбор между вступлением в борьбу и отказом от нее был для подеста безразличен, а именно Rp = vp(m1)Vp – c. Отсюда следует, что единственное совершенное в подыгре равновесие – то, в котором клан предлагает Rp = vp(m1)V1 – c, а стратегия подеста заключается в том, чтобы вступить в борьбу, если ему заплатят меньше этой суммы, и не вступать в борьбу, если ему заплатят хотя бы эту сумму. Выигрыши, связанные с этим равновесием, составляют V1 – Vpс для клана и Vpс для подеста, где Vpс=Max {0,vp (m1)Vp – с}.
Из этого анализа следует, что когда происходит сговор, вознаграждение подеста зависит от его военного потенциала[260]. В частности, при любом равновесии подеста не получит больше чистой дисконтированной стоимости военной конфронтации с кланом. Таким образом, ex ante – прежде чем произойдет сговор – клан не может убедительно пообещать выплатить подеста ex post вознаграждение, большее, чем эта сумма. Когда vp(m1)Vp – c ? 0, например, клан не может дать никаких достоверных обещаний вознаградить подеста. Чем слабее подеста, тем слабее способность клана сделать его ex ante обещание награды достоверным[261].
Игра с подестатом
Ограничение военного потенциала подеста (по сравнению с военным потенциалом клана) предполагает, что его военная сила сама по себе становится менее действенной в удержании одного клана от вступления в конфронтацию с другим кланом. Чтобы увидеть, как все-таки можно удерживать клан от конфронтации, рассмотрим две проблемы: мотивацию подеста помогать клану, который проигрывает при межкланвой конфронтации, и мотивацию клана бороться вместе с подеста.
Пусть Ii – доход клана i за период, если никакой межклановой военной конфронтации не происходит, W – жалованье подеста и ? – фактор временного дисконтирования[262]. Игра с подестатом раскрывает, как межклановая игра может быть изменена путем введения подеста вопреки потребности ограничивать его военную силу (рис. VIII.3).
Эта повторяющаяся игра начинается, без потери общности, с того, что клан 1 должен решить, вступать ли в конфронтацию с кланом 2. Если клан 1 решает вступить в конфронтацию, клан 2 должен выбрать, сражаться ему или нет. В любом случае подеста может ответить тем, что помешает клану 1 захватить контроль над городом (действие, обозначенное какр), тем, что не станет мешать клану 1 (dp) или вступит в сговор с ним (со). Если подеста вступает в сговор с кланом 1, я для простоты изложения предполагаю, что клан 2 не может захватить контроль над городом и что подеста и клан 1 играют в игру в сговор (рис. VIII.2). Поскольку в игре в сговор есть единственное совершенное в подыгре равновесие, рис. VIII.3 представляет только выигрыши, связанные с этим равновесием.

РИС. VIII.3. Игра с подестатом
Выигрыши в игре следующие.
• Если клан 1 не вступает в конфронтацию, выигрыши (I1, I2, W) для клана 1, клана 2 и подеста соответственно, и та же самая игра повторяется в следующем периоде. Если клан 1 вступает в конфронтацию и клан 2 отказывается бороться, клан 1 становится контролирующим. Тогда выигрыши – (V1, 0, 0). Если подеста вступает в сговор, клан 1 дает ему вознаграждение Vpc (т. е. выигрыш подеста при равновесии в игре сговор). Выигрыши составляют (V1 – Vpc,0,Vpc ). Если подеста пытается помешать клану 1 захватить власть, его выигрыш равен чистой ожидаемой стоимости попытки получить контроль. Выигрыши составляют (v1(mp)V1 – c, 0, vp(m1)Vp – c).
• Если клан 1 вступает в конфронтацию и клан 2 дает отпор, соответствующие выигрыши составляют: если подеста не предотвращает столкновение, выигрыш каждого клана равен чистой ожидаемой стоимости от положения контролирующего клана, тогда как подеста получает нулевой выигрыш, т. е. (v1(m2)V1 – с, (1 – v1(m2)V2 – с, 0)[263]. Если подеста вступает в сговор, как раньше, клан 1 берет на себя контроль. Выигрыши составляют (1 – Vpc,0,Vpc ).
• Если подеста предотвращает столкновение, клан 1 либо получит контроль и V1, либо не получит контроль и получит только свою долю дохода за период I2, тогда как подеста получит свое жалованье W. Таким образом, выигрыши составляют
(v1(mp, m2)V1 – c + (1 – v1(mp, m2))I1, (1– v1(mp, m2))I2 – c, (1 – v1(mp, m2))W – c).
Рассмотрим следующую комбинацию стратегий: клан 1 не вступает в конфронтацию, клан 2 дает отпор, если с ним вступают в конфронтацию, а подеста предотвращает столкновение тогда и только тогда, когда клан 1 вступает в конфронтацию и клан 2 дает ему отпор. Если клан 1 вступает в конфронтацию, но клан 2 не дает ему отпор, подеста вступает в сговор, если Vpc > 0, и не вступает в сговор в противном случае. Эта комбинация стратегий является совершенным в подыгре равновесием, если выполняются следующие условия.
а) (1 – v1(mp,m2))W – c > Vpc. Подеста предотвращает столкновение и не вступает в сговор, если клан 2 дает отпор.
б)
Клан 2 дает отпор, когда с ним вступают в конфронтацию.
в)
Клан 1 не вступает в конфронтацию.
Интуитивно условие (а) подразумевает, что подеста будет лучше, если он предотвратит схватку, если клан 2 даст отпор, и что в противном случае ему лучше вступить в сговор. Условие (б) гарантирует, что клан 2 даст отпор. Поскольку подеста не будет предотвращать схватку, если клан 2 не даст отпор, и поскольку условие (б) подразумевает, что клан 2 предпочитает, скорее, дать отпор, нежели не вступать в конфронтацию, если подеста помешает столкновению, отпор является для клана 2 лучшим ответом, если ему бросят вызов. Условие (в) в таком случае предполагает, что клан 1, ожидая, что клан 2 и подеста будут вместе давать отпор, сочтет оптимальным для себя не вступать в конфронтацию.
Эти условия и равновесная стратегия указывают на то, как система подестата может обеспечить необходимые стимулы для преодоления проблем, которые могли бы сделать ее неэффективной. Условие (а) подразумевает, что стратегия клана 2 предотвращает сговор между кланом 1 и подеста, в достаточной мере сокращая военную силу подеста по сравнению с его жалованьем, так что, как бы убедительно ни обещал клан 1 вознаградить подеста после сговора, этого будет недостаточно, чтобы побудить его вступить в такой сговор. Подеста, ожидая, что клан 2 вместе с ним будет давать отпор клану 1, предпочтет помешать клану 1 начать конфронтацию, а не вступит с ним в сговор. Клан 2 мотивирован сражаться вместе с подеста, потому что если он не будет этого делать (как предполагает стратегия подеста), подеста не вступит в конфронтацию с кланом 1. В то же время условие (б) подразумевает, что совместные силы клана 2 и подеста по сравнению с долей клана 2 в прибыли I2 таковы, что оптимальным решением для клана 2 будет сражаться вместе с подеста.
Таким образом, для того чтобы подестат способствовал политическому порядку, должен поддерживаться хрупкий баланс сил. С одной стороны, подеста не может быть слишком силен в военном отношении, чтобы он не мог сам захватить контроль или вступить в сговор с кланом 1. (Обе стороны условия (а) убывают в mp, но правая сторона возрастает в W.) С другой стороны, он должен быть достаточно силен, чтобы его угроза сражаться на стороне клана 2 при необходимости лишала бы клан 1 стимула вступать в конфронтацию. (Левая сторона условия (б) возрастает в m) Этот баланс дает подеста важный стимул, который не отражает данная модель. Чем более кланы равны по своей военной силе, тем больше вероятность того, что равновесие будет выполняться и подеста получит W, не вступая в войну. Следовательно, подеста мотивирован предотвращать столкновение, но не за счет серьезного ослабления каждого из кланов. Таким образом, подеста может убедительно обещать поддерживать относительную силу каждого из кланов.
Более 800 000 книг и аудиокниг! 📚
Получи 2 месяца Литрес Подписки в подарок и наслаждайся неограниченным чтением
ПОЛУЧИТЬ ПОДАРОК