4. Система ответственности сообщества
Пытаясь определить институт, который (если он вообще когда-либо существовал) поддерживал обезличенный обмен в период зрелого Средневековья, полезно сначала отметить отсутствие одного института – государства с его правовой системой, способного эффективно поддерживать обезличенный обмен между индивидами из разных мест. Местные суды существовали по всей Европе, они обладали законной монополией на использование принуждения на достаточно ограниченных территориях. Даже в таком довольно хорошо организованном политическом образовании, каким была Англия, не существовало правовой системы, которая могла бы обеспечить требуемый механизм исполнения контрактов[305].
Закона не было еще и в другом смысле. В общем и целом местные суды не были беспристрастными агентами, действующими от лица центральной юридической власти, или же непредвзятыми органами справедливости.
Чаще они были именно пристрастными, контролировались местной элитой и отражали ее интересы. В сельской местности, как и в городах, местные суды контролировались местной землевладельческой или городской элитой. В одной английской хартии, касающейся германского имперского города Любека, отмечалось, например, что «город» управляется «бюргерами и купцами», которые отвечают за отправление справедливости[306].
По мнению многих историков экономики, поскольку на достаточно большой территории не было эффективной беспристрастной правовой системы, здесь господствовали личные обмены, а обезличенных обменов или не было вовсе, или они были ограничены местами обмена, поддерживаемыми местными судами [North, 1990; Норт, 1997]. Однако данное заключение не учитывает того, что европейская средневековая торговля осуществлялась в социальном и институциональном контексте коммун, самоуправляющихся сообществ[307]. В период зрелого Средневековья такой статус приобрело большинство городов к западу от Балтийского моря на севере и от Адриатического моря на юге. Хотя между коммунами существовали важные региональные различия, было у них и много общего. Принадлежащие к одному сообществу члены коммун знали друг друга; однако коммуны, подобно государствам, имели местные институты обеспечения исполнения контрактных обязательств, часто основанные на легитимном использовании принуждения[308]. Существовали барьеры, усложнявшие вхождение в коммуны; установление отношений с той или иной коммуной обычно было длительным и дорогостоящим процессом. Хотя миграция из деревень и поселений в города была распространенным явлением, миграция из одной коммуны в другую означала потерю привилегий гражданства. По всей Европе иммиграция была затратным и рискованным предприятием. Например, в Венеции, представлявшей собой крайний вариант, приобретение прав гражданства означало необходимость выплачивать налоги в течение по крайней мере 10 лет. В Генуе на ту же процедуру отводилось три года.
Возможно ли хотя бы теоретически, что, несмотря на пристрастность судов и их ограниченную территориальную юрисдикцию, эти коммуны обеспечивали основы института, который поддерживал безличный обмен между коммунами, характеризуемый несовпадением quid и quo? И если это возможно, закрепился ли соответствующий институт в Европе эпохи зрелого Средневековья?
4.1. Теория системы коллективной ответственности
Рассматриваемая модель повторяющейся игры с полной информацией показывает, что в некоторых условиях система коллективной ответственности может поддержать в качестве равновесного исхода обезличенный обмен, характеризуемый разделением между quid и quo[309]. Рассмотрим игру, в которой NL кредиторов и NB заемщиков (NL > NB) участвуют (без потери общности) в кредитных транзакциях. Каждый игрок живет T периодов: T – 1 период торговли и один период заслуженного отдыха. Фактор дисконтирования составляет ?. В начале каждого периода самая старая группа заемщиков и кредиторов умирает и заменяется другими, а заемщик может решить, вступать ему в обмен или не вступать. Каждый заемщик, инициирующий обмен, произвольно находит кредитора.
Кредитор, найденный заемщиком, может решить, давать в долг конечную сумму l или нет. Заемщик, сидящий на месте, получает выигрыш 0, а кредиторы, не дающие в долг, получают выигрыш r > 0. Заемщик, который получает кредит, может расплатиться по нему или не расплатиться. Если он расплачивается по кредиту, кредитор получает исходную сумму кредита 1 и процент i > r. Заемщик получает товары по цене g > 0. Если заемщик не расплачивается по кредиту, кредитор получает выигрыш 0 и, поскольку теряет свой капитал, выходит из игры. Заемщик получает G > g вследствие неуплаты, и G < g + i + 1. При этих допущениях кредитование эффективно, но выгодно обеим сторонам только в том случае, если заемщик расплачивается по своему долгу. Заемщику, однако, выгоднее не платить, а мошенничество является неэффективным.
Попытаемся понять ситуации, в которых нет ожиданий будущего обмена. Предположим, что вероятность соответствия между определенным кредитором и определенным заемщиком равна нулю[310]. Чтобы понять обмен, оказывающийся обезличенным (кредитор не знает о прошлом поведении заемщика и не может информировать других кредиторов о нарушениях с его стороны), предположим, что прошлое поведение – это приватная информация, известная только агентам, вступающим в транзакцию. Происходящее между определенным кредитором и определенным заемщиком наблюдают только они.
В этой игре нет равновесия с кредитованием на равновесной траектории. Для этого исхода достаточно предположения, что у заемщиков конечные продолжительности жизни. Наилучшей реакцией заемщика в последний период является мошенничество, из чего следует, что кредитор не будет давать в долг в этот период, и игра застопорится. Кроме того, даже если мы предположим, что у игроков бесконечная продолжительность жизни, обезличенность обмена все равно ведет к тому, что равновесия с кредитованием не будет. Поскольку прошлое поведение является частной информацией, а повторяющиеся взаимодействия отсутствуют, кредиторы, как индивиды или группа, не могут достоверно угрожать наказанием тому заемщику, который мошенничал в прошлом[311]. Следовательно, анализ демонстрирует проблему, которую должен как-то решать любой институт, способствующий обезличенному обмену.
Однако когда мы вводим в игру сообщества, равновесие с кредитованием становится возможным, несмотря на конечную продолжительность жизни заемщиков и обезличенность обмена. Предположим, что есть два сообщества[312]: все заемщики – члены сообщества B, все кредиторы – члены сообщества L. У каждого сообщества есть своя территория, а все кредиты и выплаты по ним осуществляются на территории кредиторов. Каждое сообщество обладает институтом, обеспечивающим исполнение контрактов (монополией на силу принуждения) в пределах своей территории. Исторически у каждого самоуправляемого сообщества были свои суды. Соответственно пусть у заемщиков институтом обеспечения выполнения контрактов будет суд заемщиков, а у кредиторов – суд кредиторов.

РИС. X.1. Хронологический порядок действий
ПРИМЕЧАНИЕ: LC обозначает суд для кредиторов, а BC – суд для заемщиков.
Поскольку суды представляли интересы членов каждого из сообществ, предположим, что выигрыш для суда сообщества – это чистая дисконтированная стоимость суммы выигрышей для живых членов сообщества (т. е. членов когорт 0 к моменту T)[313]. В этом уточнении присутствуют две посылки. Во-первых, выигрыши всех членов сообщества имеют равный вес в целевой функции суда. Это, конечно, верно не всегда и не везде, поэтому такое положение дел будет использоваться в качестве эталонного случая. Во-вторых, суды не заботятся о благосостоянии будущих членов и не уважают честь коммуны. Ослабление этой посылки лишь усиливает излагаемые здесь результаты[314].
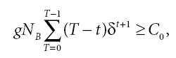
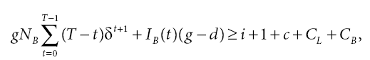
На рис. Х.1 представлен хронологический порядок действий. Каждый период t начинается с предыдущей игры между заемщиками и кредиторами. Кредитор затем может подать жалобу (что ему будет стоить c > 0) в суд для кредиторов, заявив, что он был обманут. Суд для кредиторов может проверить истинность жалоб, что ему будет стоить CL[315]. Суд также может арестовать товары IB(t) заемщиков, присутствующих на его территории[316]. Арестовав товары заемщика, суд для кредиторов получает выигрыш g > 0, однако из-за ареста товары падают в цене, например, из-за невозможности вовремя продать их или из-за порчи при хранении. Обозначим ущерб d > 0 и предположим, что g – d > 0, чтобы гарантировать то, что арест выгоден. Таким образом, самое большее, что суд для кредиторов может выиграть на аресте товаров, – это IB (t)(g – d).
Затем суд для заемщиков может проверить истинность жалобы (что ему будет стоить CB), наложить штраф f ? 0 на заемщика-мошенника, а потом передать сумму в размере x (которая не больше собранного штрафа) в суд для кредиторов. (Неявное допущение, далее ослабляемое, состоит в том, что вероятность несогласия между судом для кредиторов и судом для заемщиков равна нулю.) Наконец, суд для кредиторов может решить, распределять ему выручку от арестованных товаров или же сумму, предоставленную судом для заемщиков, и кому именно.
Действия суда общеизвестны. В аналитическом отношении это допущение оправданно, поскольку в равновесии, изучаемом далее, кредиторы и заемщики имеют мотив выяснить действия суда[317]. Исторически действия суда на самом деле были публичными (во Флоренции решения, относящиеся к спорам между сообществами, записывались в публично доступные книги [Vecchio, Casanova, 1894, p. 137–139, 265]).
Здесь читатель может поинтересоваться основанием для допущения того, что кредитор в состоянии доказать мошенничество в суде, поскольку в игре без сообществ такого допущения не было. Даже если суда нет, кредитор, которого обманули, может, вероятно, сообщить об этом факте другим, хотя это будет сопряжено с определенными издержками. Но в игре без сообществ нет равновесия, при котором кредитор мотивирован информировать других о мошенничестве, поскольку он не может покрыть соответствующие издержки. Угроза открыть мошенничество другим не является достоверной. Даже если мы игнорируем это стратегическое соображение, чтобы предотвратить мошенничество в игре без сообществ, кредитор должен сообщить информацию достаточному числу будущих кредиторов мошенника.
Издержки, связанные с таким оповещением, в эпоху зрелого Средневековья были, несомненно, весьма велики. Это связано с коммуникационными и транспортными технологиями, а также с обширными географическими территориями, в рамках которых они действовали[318]. Однако издержки информирования постоянно действующего суда были намного ниже. Как устанавливается в последующем анализе, система коллективной ответственности эндогенно мотивировала кредитора подавать обоснованные жалобы, тем самым делая угрозу разглашения факта мошенничества вполне реальной.
Существует ли в этой игре совершенное по подыграм равновесие с кредитованием на равновесной траектории? Для того чтобы оно существовало, у экономических агентов и судов должна быть соответствующая мотивация. В частности, наказание за мошенничество, налагаемое судом для заемщиков, должно быть достоверным и достаточно сильным, чтобы предотвратить мошенничество, а кредитор должен получать достаточную компенсацию только в случае обоснованной жалобы, поскольку запрашивается информация о мошенничестве. Суду для заемщиков должно быть выгоднее выплатить компенсацию суду для кредиторов, чем позволить мошеннику сохранить украденное и, следовательно, отказаться от выгод будущих займов. При этом суду для кредиторов должно быть выгоднее продолжение кредитования, а не конфискация всех товаров и соответственно отказ от кредитования в будущем.
Приводимые далее определения полезны для выяснения стратегий, обеспечивающих такие мотивы и условия, при которых они являются равновесием. Игра находится в кооперативном состоянии, если не было ареста товаров, не обусловленного нарушением обязательств; если суд для заемщиков никогда не отказывался от выплаты компенсаций после нарушения обязательств, а суд для кредиторов никогда не пренебрегал проверкой жалобы, всегда требовал компенсации в случае обоснованной жалобы и никогда не отказывался от возвращения арестованных товаров после получения компенсации от суда для заемщиков. При выполнении любого из этих условий игра находится в конфликтном состоянии. Отметим, что поскольку в дальнейшем мы предполагаем, что все жалобы полностью верифицируемы, вероятность разногласия между судом для кредиторов и судом для заемщиков равна нулю.
Теорема Х.1

(чистая дисконтированная стоимость выигрыша суда для кредиторов выше при продолжении торговли, чем при аресте всех товаров), тогда следующая стратегия является совершенным по подыграм равновесием с кредитованием на равновесной траектории.
В конфликтном состоянии заемщик не торгует, не возвращается и не платит, если ему предоставили кредит. Кредитор не кредитует и не подает жалобы. Суд для кредиторов арестовывает товары всех кредиторов на его территории и не занимается ни проверкой жалоб, ни истребованием компенсаций. Суд для заемщиков не проверяет жалобы, не налагает штрафы и не выплачивает компенсации.
В кооперативном состоянии заемщик отправляется в путешествие, а если ему предлагают кредит, то берет его, затем возвращается и расплачивается по долгам. Кредитор дает в долг, если связан с заемщиком, и подает жалобу, если его обманывают. Суд для кредиторов проверяет каждую жалобу, и если она подтверждается, арестовывает товары всех заемщиков,
присутствующих на его территории, и требует от суда для заемщиков выплатить компенсацию в объеме х. Эта сумма равна общим издержкам, связанным с неисполнением обязательств по отношению к кредитору (I + 1), плюс издержки на подачу жалобы и проверку (c + CL), т. е. х = I + 1 + c + CL. Если суд для заемщиков выплачивает компенсацию, суд для кредиторов компенсирует издержки обманутого кредитора и возвращает арестованные товары. Суд для заемщиков проверяет каждую жалобу. При ее обоснованности суд для заемщиков налагает штраф в размере f = х + CB на нарушителя и выплачивает х суду для кредиторов[319]. Если любой из судов в кооперативном состоянии совершает какое-либо иное действие, игра переходит в конфликтное состояние.
Доказательство теоремы X.1
Чтобы вышеперечисленные стратегии были равновесием, ни один игрок не должен иметь возможность получить выгоду от однократного отклонения после любой истории. Если игра происходит в конфликтном состоянии, ни один игрок не может получить выгоду от такого отклонения, поскольку стратегии образуют равновесие Нэша в повторяющейся игре. В кооперативном состоянии наилучший ответ со стороны заемщика – отправиться в путешествие, вернуться и расплатиться по долгу. Путешествие, получение кредита и выплаты по нему дают g > 0, тогда как отсутствие путешествий приносит 0, а мошенничество ведет к чистому наказанию в размере – с – CL – CB < 0.
Поскольку суд для кредиторов передаст i + l + c обманутому кредитору, подача жалобы выгодна. Наилучшая реакция кредитора на факт мошенничества – это подача жалобы; из того, что c > 0, следует, что необоснованная жалоба невыгодна; поскольку же i – r > 0, наилучшая реакция кредитора – давать в долг. Неравенство (1) предполагает, что чистые дисконтированные стоимости будущих кредитов и арестованных товаров для живых членов сообщества заемщиков превышают значение х, т. е. сумму, требуемую судом для кредиторов, и издержки на проверку CB[320]. Следовательно, суд заемщиков не может выиграть от действий, ведущих к конфликтному состоянию. Его наилучшим ответом в кооперативном состоянии будет проверка любой жалобы, взыскание штрафа с мошенника и выплата компенсаций суду кредиторов в случае, если жалоба обоснованна. Неравенство (2) предполагает, что суду для кредиторов выгоднее кооперативное состояние, чем конфликтное. Его наилучшая реакция в кооперативном состоянии – проверять жалобы, возвращать арестованные товары, выплачивать обманутому кредитору полученную компенсацию и не арестовывать товары по необоснованной жалобе. Что и требовалось доказать.
Следовательно, теоретически система коллективной ответственности может поддерживать обезличенный обмен, эндогенно обеспечивая все соответствующие стимулы. Для заемщика оптимальным решением будет расплатиться по долгу, а не нарушать обязательства, даже в последний период, поскольку нарушение влечет за собой наказание со стороны суда для его сообщества. Предугадывая такой исход, кредиторы считают оптимальным решением продолжать кредитование. Кроме того, предвидя компенсацию в случае обоснованной жалобы, кредитор мотивирован предоставлять суду информацию, относящуюся к мошенничеству, позволяя, таким образом, суду опираться в своих действиях на эту информацию. Публичная информация порождается эндогенно, поскольку обманутый кредитор имеет мотив подать жалобу, кредитор не получает выгоду от подачи ложных жалоб, а суды мотивированы проверять их обоснованность.
В центре системы коллективной ответственности находится достоверная угроза того, что нарушителя обязательств накажет его же сообщество. Забота сообщества о своей репутации мотивирует его пристрастный суд выносить беспристрастные судебные решения. Сообщество, хотя оно агрегирует только выигрыши живых членов, фактически становится заменой одного-единственного игрока с бесконечным временным горизонтом. Проблема конечной игры смягчается представлением репутации сообщества в качестве обязательства, ограничивающего поведение всех его членов. Суд для заемщиков приходит к тому, что оптимально наказывать мошенника, поскольку такое поведение наиболее благоприятно для более молодых когорт. Хотя индивидуальный заемщик не может быть наказан кредиторами, если он мошенничает в период (T – 1), арест товаров, равно как и достоверная угроза со стороны кредиторов не давать в долг другим заемщикам, предполагает, что суду для заемщиков выгоднее наложить штраф на нарушителей обязательств и выплатить компенсации сообществу кредиторов.
Система коллективной ответственности одновременно снимает проблему конечной игры, определенной конечными продолжительностями жизни купцов, а также стратегические и технологические проблемы производства информации о мошенничестве. Институт, основанный на знакомстве внутри сообщества и институтах обеспечения исполнения контрактных обязательств, позволяет осуществлять обмен между сообществами, характеризуемый разделением quid и quo во времени и пространстве. Этот обмен может быть обезличенным и в том смысле, что индивид не ожидает выгоды от будущего обмена с нынешним партнером и не обладает ни знаниями о его прошлом поведении, ни возможностью сообщить о нарушениях будущим торговым партнерам.
До этого момента в нашем обсуждении игнорировался один важный аспект системы коллективной ответственности: сообщение коммунальной и личной идентичности (имени) заемщика кредитору. Чтобы система могла поддерживать обмен, кредитору надо знать идентичность заемщика, иначе суд не сможет наказывать мошенников. В личном обмене это знание по определению доступно экономическим агентам. При торговле с чужаками в ситуациях, в которых их идентификация (т. е. знание имени) имеет ключевую роль для исполнения контрактных обязательств, нельзя полагаться на то, что они правдиво раскроют свою идентичность.
Поскольку такое раскрытие делает заемщика, задумавшего мошенничество, уязвимым для наказания, он будет выдавать себя за другого. Заемщик сталкивается с проблемой достоверного раскрытия своей личности, которое требуется, если в случае мошенничества его надо будет наказать. Для достоверного раскрытия идентичности необходимы дополнительные институциональные черты. В современной экономике эту роль играют водительские права, паспорт и другие формы документов, основанные на фотографических технологиях и с печатью, которых не было в средневековый период[321].
Теоретически система коллективной ответственности может снять эту проблему, если она опирается на личное знакомство внутри сообщества, позволяющее индивиду достоверно раскрыть свою коммунальную идентичность (связи) и личную идентичность (имя) нечленам сообщества, делая себя уязвимым для наказания. Чтобы учесть эту возможность в модели, предположим, что сообщество заемщиков сначала может выстроить (понеся соответствующие издержки С0) организацию на территории кредитора. Эта организация способна подтвердить коммунальную и личную идентичность заемщика. Предположим, что

т. е. выгода от займа больше, чем издержки от создания удостоверяющей организации. В этом случае сообществу заемщиков выгодно создать такую удостоверяющую организацию. В расширенной игре обмен может поддерживаться как равновесный исход в условиях, обсуждавшихся ранее. Система коллективной ответственности может эндогенно порождать информацию, относящуюся к коммунальной и личной идентичности мошенника и необходимую для ее работы, и поддерживать обмен, являющийся обезличенным в том смысле, что экономические агенты до вступления в процедуру обмена не идентифицируют друг друга.
4.2. Исторические данные, касающиеся системы коллективной ответственности
Теоретически система коллективной ответственности может стимулировать безличный обмен между сообществами. Однако из такой возможности не следует, что подобный вариант действительно реализовался в период зрелого Средневековья. И все же исторические данные подтверждают тезис, что система ответственности сообщества установилась во всей Европе[322].
Стратегия, позволяющая считать каждого члена сообщества ответственным за нарушения, совершенные любым другим членом того же сообщества в обмене между сообществами, обнаруживается даже в документах, относящихся к межобщинному обмену в одном и том же политическом образовании. В хартии, дарованной Лондону в начале 1130-х годов королем Генрихом I, заявлялось, что «все должники граждан Лондона должны расплачиваться по долгам или доказать в Лондоне, что у них нет долгов; а если они отказываются либо платить, либо прийти и доказать это, тогда граждане, перед которыми имеются долги, могут обратиться за обеспечением долга в город, деревню или графство, где живет должник»[323].
Эта хартия вполне репрезентативна; данные из других хартий, договоров и постановлений показывают, что система ответственности сообщества в Англии была законом, действующим на территории всей страны. Хартии английских городов показывают: примерно 1256 городов, где жило 65 % городского населения, обладали хартиями, предусматривающими возможность задержания (ареста) товаров путем применения системы ответственности сообщества[324]. Центральная роль системы коллективной ответственности в поддержании английской торговли среди членов разных городов также подтверждается сохранившейся перепиской мэра Лондона за 1324–1333 гг. В 59 из 139 писем, в которых затрагиваются экономические вопросы (т. е. в 42 %), в явной форме упомянута система коллективной ответственности[325]. Таким образом, мэр был мотивирован (и ожидал, что и власти других городов тоже должны быть мотивированы) угрозой, что все члены сообщества станут считаться виновными, если определенные действия не будут выполнены.
Хартии, регулирующие отношения между английскими сообществами и их главными международными партнерами по торговле, также отражают стратегию ответственности членов сообщества за нарушения, совершенные ими при обмене между сообществами. Хартии показывают, что система коллективной ответственности регулировала обмен между английскими купцами и их коллегами из Германии, Италии, Франции, Польши и Фландрии (города этих стран были крупнейшими торговыми партнерами Англии)[326].
Похожие свидетельства обнаруживаются в тех же 139 письмах мэра Лондона: в 50 его пространных посланиях речь идет о международной торговле, а в 15 из них (т. е. в 30 %) есть упоминания о стратегии системы коллективной ответственности.
В договорах XIII в. между Фландрией, германскими городами и Ганзейским союзом также отражена ответственность всех членов сообщества за нарушения, совершенные одним из них в обменах между сообществами [Verlinden, 1979, p. 135; Dollinger, 1970, p. 187–188; Planitz, 1919; Volckart, 2001].
Исторические источники из Флоренции содержат множество свидетельств соглашений и договоров, регулирующих систему коллективной ответственности, что отражает ее роль в правилах работы с нарушениями по обязательствам в Италии XII-ХШ вв. Самые старые из сохранившихся флорентийских торговых договоров относятся к началу XII в. Если брать период с этого момента и до 1300 г., в 33 из 44 сохранившихся договоров (т. е. в 75 %) упоминаются стратегии, связанные с системой ответственности сообщества, действие которой как раз и регулировалось такими договорами. Эти договоры и другие источники содержат отсылки ко всем крупным итальянским городам (Генуя, Венеция, Милан, Пиза, Ром), а также к многочисленным более мелким городам (Сиена, Падуя, Кремона, Лукка, Сан-Миниато, Монтепульчино, Монтальчино, Прато, Ареццо и Масса Требария)[327].
Данные также отражают стратегию, которая делала индивида ответственным за те издержки, которые его сообщество понесло в результате неисполнения им обязательств в обмене между сообществами. Внутренние постановления во Флоренции конца XIII века показывают: коммуна должна была заставить купца оплатить ущерб, если обнаруживалось, что он виновен в обмане члена другого сообщества [Santini, 1886, p. 166]. Она имела право продать собственность купца, который отказался возместить ущерб, и изгнать его из коммуны [Vecchio, Casanova, 1894, p. 248–249].
В Англии в хартиях Понтефракта (1194 г.), Лидса (1208 г.) и Грейт-Ярмута (1272 г.) в явной форме указывается, что если нарушение обязательств одним членом сообщества привело к аресту товаров другого, виновная сторона должна возместить убытки потерпевшей. Если же виновник не возмещал ущерб, его собственность конфисковывали, а сам он мог быть изгнан из сообщества [Ballard, Tait, 1913, 1923]. В разных английских городах-графствах в том случае, когда иностранный кредитор устанавливал, что член этого города-графства пренебрег выплатой по долгу, данный город выплачивал кредитору компенсацию из собственных фондов и затем пытался взыскать удвоенную сумму с должника [Plucknett, 1949, p. 137].
Данные хартий, договоров и постановлений подтверждают тезис о том, что стратегии, связанные с системой коллективной ответственности, как считалось, должны были исполняться. Но предполагала ли система коллективной ответственности нечто большее, чем правила и постановления? Имели ли место убежденность в причинно-следственных связях, фиксируемых моделью, и соответствующее ей поведение в иных обстоятельствах? Ожидалось ли, что эти правила и постановления будут выполняться, и влияли ли они на поведение? Действительно ли система коллективной ответственности была институтом? Исторические данные подтверждают это.
Подкрепим тезис о том, что система коллективной ответственности была релевантным институтом контроля над исполнением контрактов. Для этого полезно расширить модель так, чтобы она в явной форме учитывала, что могут возникать коммерческие споры, что различные суды, основываясь на одних и тех же материалах, могут приходить к различным заключениям.
Предположим, что отношения кредитора и заемщика характеризуются несовершенным мониторингом, т. е. кредитор получает сигнал, который является случайной переменной, зависящей от действия, предпринятого заемщиком. Даже если мошенничества не было, сигнал кредитора может указывать на то, что он был обманут[328]. Предположим также, что каждый суд способен осуществлять несовершенный мониторинг; проверка жалоб предполагает получение публично наблюдаемого сигнала о том, имел ли место факт мошенничества. Сигналы не находятся в совершенной корреляции друг с другом, из чего следует, что суды вполне могут не согласиться друг с другом относительно того, имело ли место мошенничество[329].
В условиях, интуитивно близких к тем, что были изучены для случая с совершенным мониторингом, существует совершенное равновесие Байеса с кредитованием. Однако у этого равновесия есть две дополнительные характеристики: возникновение споров о прошлом поведении и последующие конфликты ограниченной длительности. Во время конфликта будут производиться аресты товаров, а кредитование приостановится. Репрессивные меры ограничат по времени, по их завершении кредитование возобновится.
Интуитивная догадка, стоящая за этими результатами, хорошо известна[330]. На равновесной траектории мошенничества не бывает (в том смысле, что заемщик предпочитает не платить). Однако чтобы обеспечить сообщества и заключающих контракты индивидов соответствующими стимулами, периоды конфликта должны быть конечными. Если стратегия суда для заемщиков склоняет к тому, чтобы отдать компенсацию кредитору, даже если мошенничества не было, наилучшей реакцией суда для кредиторов будет утверждение о том, что имел место спор, даже если его не было.
Аналогично, если стратегия суда для кредиторов требует конфисковать имущество, когда он утверждает, что было мошенничество, наилучшим ответом суда для заемщиков будет отказ в предоставлении компенсации, даже если его сигнал указывает, что мошенничество имело место, – это мотивирует заемщиков мошенничать. Искажение информации обходится дорого; за возникновение подобных издержек приходится платить упущенными выгодами, которые можно было бы получить от обмена.
Если система коллективной ответственности работала, мы должны обнаружить судебные дела и другие источники, где отражена стратегия, которая возлагала ответственность на членов сообщества, позволяла конфисковать их имущество и в случае разногласий относительно того, имело ли место нарушение обязательств, прекращать торговлю на конечный период времени. Свидетельства подобного рода находят в документах Англии, Италии и других стран[331]. В документах одной только Флоренции между 1280 и 1298 гг. (мы располагаем особенно подробными данными по этому периоду) встречается 36 случаев споров, конфискаций и прекращения торговли, связанных по меньшей мере с 15 различными городами. Более поздние судебные дела такого рода относятся к Испании (Арагон) и Англии. Еще одним указанием на то, что подобные споры были общераспространенным явлением, является то, что даже студентов университетов, которые не были напрямую вовлечены в кредитные транзакции, считали ответственными за неисполнение обязательств членами их сообществ. Еще в 1155 г. в Болонье и в 1171 г. во Флоренции студенты просили власти предоставить им привилегию, ограждающую их от угрозы конфискации имущества[332].
Чтобы проиллюстрировать подобные случаи, рассмотрим запрос от некоей Беатриче, которая в 1238 г. потребовала во флорентийском суде санкций против коммуны Пизы, заявив, что наследники Убальдо Висконта должны были ей определенную сумму. Запрос был подан в суд Флоренции после того, как коммуна Пизы отказала в выплате. Подобный отказ, согласно модели, может иметь место тогда, когда два суда расходятся в оценке ситуации. Разные коммерческие договоры действительно отражают то, что современники считали санкции неизбежными в случае разногласий между судами. Договор между Флоренцией и Пизой, подписанный в 1214 г., указывает, что санкции вступают в действие в том случае, когда судьям не удалось уладить спор [Santini, 1886, p. 165–168][333].
Такие санкции были продуманной реакцией, направленной на создание соответствующих стимулов и поддержание обмена, а не актом мести. На это указывают попытки ограничить санкции коммерческими делами сообществ, а также тот факт, что они длились конечное число периодов, после чего объявлялось об их «приостановлении» и торговля возобновлялась[334]. Теория показывает логику, стоящую за этой практикой: санкции, вероятно, длились достаточно долго, чтобы искажение информации стало настолько затратным, что становилось невыгодным[335].
Тезис о том, что система коллективной ответственности была нацелена на стимулирование торговли, подтверждается еще и тем, что в коммерческих делах она могла легально применяться, только если теоретически являлась эффективной, т. е. когда нарушение могло быть верифицировано. Верификацию проще провести в случае транзакций, в которых одна сторона берет на себя специфические обязательства (например, оплатить долг); более сложным оно становится в транзакциях, в которых одна сторона имеет большой набор вариантов поведения (например, в агентских отношениях). Я не нашел подтверждений того, что система коллективной ответственности регулировала подобные транзакции.
Гипотеза о значимости системы коллективной ответственности подтверждается ее способностью объяснить запутанные организационные структуры донововременной торговли. Рассмотрим пример ярмарок Шампани, главных международных ярмарок Европы того времени. Ярмарки были организованы не как место встречи индивидуальных купцов из разных местностей, а как место встречи торговцев из разных сообществ, у которых часто были собственные места проживания, склады, постоянные представители, писцы, а также консулы, которые обладали законной властью над членами своих сообществ во время ярмарок. Их устроители договаривались с правителями территорий о том, чтобы те соблюдали право проезда купцов и защищали их права собственности на ярмарке. Однако как только купцы прибывали, власти отказывались от каких-либо юридических прав в их отношении. Купец подчинялся закону сообщества, а не законам той местности, в которой проходила ярмарка. Закон был персональным, а не территориальным.
Причины существования такого устройства становятся очевидны, если признать, что они были организационными элементами системы ответственности сообщества. Данное устройство позволяло торговцу подтвердить свою личную и коммунальную идентичность во взаимодействиях с купцами, которые не знали его лично. Проживание в кварталах определенного сообщества являлось способом продемонстрировать свою коммунальную идентичность. Контракт, подписанный писцом определенного сообщества, был доказательством того, что член данного сообщества принимал на себя обязательство в обмене между сообществами[336].
Если сообщество считалось ответственным за действия своих членов, оно должно было иметь возможность проверять, кто является его членом, и в случае необходимости применить к ним дисциплинарные меры. Персональный закон был совместим с системой коллективной ответственности. Устроители ярмарок должны были иметь возможность идентифицировать членов определенного сообщества и их представителей, чтобы в случае необходимости обратиться к ним. Действительно, флорентийские статуты часто в явной форме предупреждали посещающих ярмарки купцов, чтобы те воздержались от действий, которые могут вызвать споры или санкции [Vecchio, Casanova, 1894, p. 248–249].
То, что на ярмарках установилась система коллективной ответственности, ясно также из принятых в 1260 г. постановлений, которые позволяли властям ярмарки выносить решение об изгнании с ярмарки в результате соответствующего нарушения. Такое изгнание распространялось и на соотечественников нарушителя, если судебные власти их городов или принципатов не принуждали их к выполнению обязательств. Позднее в том же веке король Франции передал юридическую власть на ярмарках в руки королевских бейлифов. Однако в 1326 г. он сделал вывод, что этот шаг привел к упадку торговли, и потому восстановил на ярмарках систему коллективной ответственности [Thomas, 1977].
На меньших ярмарках и в городах средствами для определения коммунальной и личной идентичности того или иного человека служили менее масштабные установления. Пользуясь языком теоретического анализа, сертификация организаций была общепринятой. Купцы из одного и того же сообщества вместе путешествовали, вместе селились (часто в их собственных специальных жилищах), а также выступали свидетелями по контрактам друг друга[337]. Коммунальная идентификация упрощалась тем, что даже внутри одного и того же политического образования у членов разных сообществ были разные диалекты и обычаи. Контракты и судебные дела показывают, что средневековым купцам были хорошо известны коммунальные связи друг друга.
В регионах с достаточно сильной центральной властью местные власти были мотивированы следовать процедурам системы ответственности сообщества, чтобы в случае нарушения этих правил не подвергаться преследованию в судах центральной власти[338]. Однако в целом устроители ярмарок, вероятно, имели мотив следовать стратегии суда для кредиторов, предполагающей ответственность за контрактные обязательства каждого из их членов, поскольку управление успешной ярмаркой было весьма прибыльным делом.
Обеспечение системы исполнения обезличенных контрактов между членами разных сообществ повышало привлекательность ярмарки, а сама возможность такого обеспечения критическим образом зависела от системы коллективной ответственности, без которой власти ярмарки были бы неспособны распространить свое влияние за пределы географически ограниченных областей. Угроза изгнания отдельного индивида с ярмарки была неэффективной, поскольку не могла предотвратить мошенничество стариков или же мошенничество и последующую торговлю через агентов и членов семьи.
Стимулы, обеспечиваемые системой коллективной ответственности, определили характеристики донововременных центров международной торговли, особенно ярмарок, поскольку они повлияли на сравнительные преимущества надзора за исполнением контрактов. Теоретически при такой системе торговые центры без привязанных к ним торговых сообществ имеют преимущество перед торговыми центрами с такими сообществами. В торговых центрах с привязкой к торговым сообществам стимулы для исполнения контрактов между сообществами оказываются ослабленными, поскольку купцы сообщества могут понести издержки, вызванные санкциями в случае межсудебных споров. Если купец из сообщества А подавал иск против члена сообщества B в суде сообщества C, итоговый спор мог повредить купцам из сообщества C, когда они посещали сообщество В. Поэтому сообщество C могло потерять на разрешении подобных споров. Ситуация будет иной в торговых центрах, не привязанных к сообществу купцов, занимающихся международной торговлей, из чего следует, что у них будет преимущество перед торговыми центрами с подобной привязкой к сообществу при обеспечении механизма исполнения контрактов в обезличенном обмене.
Исторически торговые центры с сообществом купцов, занимавшихся международной коммерцией, выносили судебные решения только по спорам между одним из своих членов и иностранными торговцами, а не по спорам между иностранцами. Однако торговые центры без таких сообществ решали споры между иностранными торговцами. По английским хартиям городу было позволено арестовывать товары только по делам, касавшимся местных граждан. Но судебные дела английских ярмарок, которые не имели сообщества торговцев, занимавшихся международной торговлей, отражают случаи ареста товаров, принадлежавших членам различных сообществ [Moore, 1985]. Такое положение дел не ограничивается одной лишь Англией и является следствием предусмотрительности короля. Во Флоренции только флорентийцы имели право подать во флорентийский суд просьбу арестовать товары иностранных купцов [Vecchio, Casanova, 1894, p. 14–15]. Ярмарки Шампани, которые не представляли то или иное сообщество международных торговцев, выносили решения по спорам между любыми иностранными купцами.
Вообще, сравнительное преимущество системы коллективной ответственности в исполнении контрактов объясняет следующий загадочный феномен: в целом у ведущих средневековых ярмарок не было связанных с ними сообществ торговцев, занимающихся международной торговлей. Места, в которых проводились ярмарки, не были заняты каким-либо местным сообществом международных торговцев. Купцы сообществ, в которых проводились крупные ярмарки (например, в Шампани), обычно были местными купцами, которые не ездили в другие торговые центры.
Если система коллективной ответственности регулировала обмен между сообществами, следует ожидать, что элементы и правила организаций изменятся так, чтобы сделать ее более совместимой с функционированием этого института. В частности, можно ожидать, что эта система воспользуется случаем, чтобы избежать расточительности, связанной с арестом товаров. При совершенном мониторинге роль ареста фиксировалась условием 1 из теоремы Х.1. Условие выглядело следующим образом:

поскольку, чтобы у суда для заемщиков был мотив выплатить компенсацию после нарушения, чистая дисконтированная стоимость будущей торговли и арестованных товаров должна быть выше, чем затраты на проверку жалобы и выплату компенсации в случае ее подтверждения. Теоретически, пока торговля ограничена, вероятно, арест товаров необходим, чтобы это условие выполнялось. Когда торговля расширяется, т. е. когда увеличивается размер сообщества заемщиков, чистая дисконтированная стоимость будущей торговли оказывается достаточной для обеспечения соответствующими стимулами[339].
Данные по Италии и Германии XII–XIII вв., согласующиеся с этим теоретическим предсказанием, отражают отход от практики ареста товаров. Договоры из Флоренции XII в. включают угрозу ареста товаров. К первой половине XIII в. членам одного сообщества часто позволялось оставлять другое сообщество во время льготного периода между началом действия права на конфискацию и моментом его применения [Arias, 1901, p. 52]. В начале XIV в. льготный период составлял месяц – в это время купцам позволялось уехать после того, как право на конфискацию начинало действовать; такой срок стал обычным по крайней мере во Флоренции [Santini, 1886, p. 68–72, 165]. Германским законом 1231 г. устанавливался обязательный льготный период на территории всей Священной Римской империи, что отражало общий отказ от практики конфискации [Planitz, 1919, p. 177].
То, что система коллективной ответственности в Германии регулировалась имперским правом, указывает: данная система действовала и в этом регионе Европы. В целом данные, представленные в этой главе, говорят о том, что к XIII в. системы коллективной ответственности установились в большинстве плотно населенных и торговых областей
Европы (Италия и Фландрия), в наиболее организованных монархиях Европы (таких как Англия), а также в крупных политических образованиях (Франция и Священная Римская империя).
Происхождение этой системы неизвестно: у нее нет очевидных предшественников ни в римском, ни в германском праве [Wach, 1868][340]. Возможно, правильнее было бы рассматривать ее как ответ на отсутствие государства с эффективной правовой системой. Особенности такого ответа отражают совместное действие институциональных элементов, унаследованных из прошлого, и интересов членов сообществ. В частности, такими особенностями были управление городов их торговыми элитами, европейская правовая традиция рукотворных (а не божественных) законов и традиция римского права, которая не исключала корпоративной ответственности. Независимо от того, сложилась система коллективной ответственности спонтанно или была специально разработана, она стала явной, хорошо регулируемой и при этом важнейшей частью морально-правовых процедур.
Более 800 000 книг и аудиокниг! 📚
Получи 2 месяца Литрес Подписки в подарок и наслаждайся неограниченным чтением
ПОЛУЧИТЬ ПОДАРОК