7.1. Такой понятный и загадочный Р/Е
Р/Е, пожалуй, самый знаменитый из коэффициентов, которые используются при оценке стоимости акций. Много спорят, низко или высоко по этому коэффициенту стоят фондовые рынки тех или иных стран. Поговорим и мы.
1. Определение коэффициента P/E
Коэффициент Р/Е характеризует количество лет, за которые окупится цена акции. Считать его можно как в расчете на одну акцию, так и по компании в целом. Можно стоимость всей компании (Р) разделить на ее чистую прибыль (Е), а можно стоимость одной акции разделить на прибыль, приходящуюся на одну акцию – результат будет одинаковым. Несложно посчитать данный коэффициент для отдельных отраслей (стоимость компаний отрасли делим на их суммарную прибыль) или даже для фондового рынка той или иной страны.
2. Переворот коэффициента P/E
Р/Е – это количество лет (оно же количество годовых прибылей). Тогда что такое Е/Р?
Е/Р – годовая процентная ставка, которую будет получать инвестор в процентах от вложений (цены приобретения акции) в виде чистой прибыли. Обозначим ее за R = Е/Р. Так как эта ставка фактически возникает из реальной котировки акции на рынке, то ее порой называют «требуемая инвестором доходность». Что из себя представляет эта доходность, поговорим ниже.
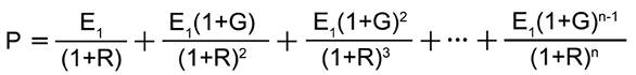
3. Урок математики
Мы знаем, что, согласно теории дисконтированных денежных потоков, стоимость компании можно выразить (пускай несколько упрощенно, но будем использовать в качестве потоков значение чистой прибыли Е) в виде бесконечного ряда:

Если E = E1 = E2 = ...En, то сумма ряда стремится к значению E/R. Да, такая сложная, бесконечная сумма дробей стремится к такой простой дроби. Выкладки приводить здесь не будем, не верите – проверьте. Что интересно, получилась та же дробь, что из предыдущего абзаца. Таким образом, при условии постоянства прибыли (а об этом речь пойдет ниже) и, зная текущую стоимость, можно посчитать, какую ставку Вы будете получать. Впрочем, коэффициент Р/Е мы уже переворачивали ранее.
Известно также, что если прибыль Е растет с неким средним темпом G, то

и эта сумма стремится к E/(R – G), опять же выкладки приводить здесь не будем, не верите – проверьте.
Эти равенства очень важно запомнить! Также отметим, что в первом случае на сумму первых 10 членов (то есть прибыли за первые 10 лет) приходится 84% от общей стоимости компании (при уровне доходностей от бизнеса около 20%), а во втором случае около 74% (при темпах роста около 4-5%). То есть ближайшие десять лет вносят основной вклад в оценку текущей стоимости – это необходимо отметить для понимания последующих расчетов.
4. Практика
До этого мы рассматривали Е/Р в условиях реальных ставок. На практике все немного сложнее. Мы знаем текущую прибыль Е (например, достаточно точно прогнозируем прибыль текущего года), естественно, знаем текущую цену Р, отсюда известно и значение Р/Е.
Согласно вышеописанному Е/Р = R – G или R = Е/Р + G. Правильно использовать именно эту формулу, так как именно она существует на практике. Сейчас объясним почему.
Что же такое G на практике и почему она не равна нулю? G – темп роста прибыли бизнеса в будущем, в нем непременно будет две составляющих: G = (1 + i) * (1 + a) – 1 или можно проще G = i + a, где i – инфляция, фактически рост цен на продукцию компании при сохранении нормы прибыли (доля себестоимости, например, постоянна), приводит ровно к такому же номинальному росту прибыли, равному темпам инфляции (исторически инфляция > 0, так как печатать деньги было и будет проще, чем производить блага); a – реальный рост прибыли из-за развития бизнеса, в среднем по экономике он равен реальному росту ВВП (который может быть и отрицательным, но все же прогресс берет свое, и в целом статистика говорит о положительном значении этого показателя), хотя у каждой конкретной компании он свой – больше или меньше среднего (а точнее средневзвешенного) значения изменения ВВП. Таким образом фактическое значение Е/Р компании, работающей в экономике с ненулевой инфляцией, уже включает i, то есть
Е/Рфакт = (Е/Р + i). Еще раз повторим, и это необходимо учитывать в приведенной выше формуле (Е/Р = R – G) идет вычисление номинальной ставки и на практике текущее значение Е уже, как правило, содержит так называемый инфляционный рост прибыли. То есть если из текущего фактического значения Е/Р какой либо акции, используя заложенные в него значения инфляции и темпов роста, Вы вычислили номинальную ставку, то изменение этой номинальной ставки может произойти в будущем только на размер изменений темпов инфляции и темпов роста. Например, если взять реальную доходность в размере 4% и реальный рост в размере 2%, то при нулевой инфляции номинальная ставка, которую будет получать инвестор, равняется R = 4% + 0% + 2% = 6%, а текущий Р/Е = 25. Если в будущем возникнет инфляция в размере 2%, то R = 4% + 2% + 2% = 8%, а Р/Е в будущем может уменьшиться до 16,6. Таким образом, если прибыль эмитента уже включает в себя средний темп инфляции, то есть ежегодно часть прибыли
фактически формируется из-за роста цен, то несложно высчитать реальный размер прибыли вычитанием темпов инфляции.
Если у компании текущий Р/Е = 10, средние значения по экономике темпов роста производства, а также роста цены на продукцию и себестоимость, то при уровне инфляции в прошлом и будущем 5% годовых и росте ВВП на ближайшие 5-10 лет в размере 3% в год инвестор фактически будет получать реальную ставку от владения таким бизнесом 10% – 5% + 3% = 8%. Номинальная же ставка будет равняться 10% + 3% = 13%.
В этой связи интересно оценить реальную доходность двух фондовых рынков (информация на середину 2015 года) – России и США, используя основные фондовые индексы, а также значения макроэкономических показателей в прошлом и долгосрочные прогнозы на будущее.
Р/Е
Е/Р
Инфляция
Рост ВВП
Реальная доходность
Россия
9
11,1%
7,5%
2,5
11,1 – 7,5 + 2,5 = 6,1%
США
21
4,8%
2,0%
2,0
4,8 – 2,0 + 2,0 = 4,8%
5. Самое интересное (вместо выводов)
• фактически Е/Р – значение реальной доходности, при условии нулевой инфляции и при допущении, что развитие компании нулевое, а также в случае равенства значения инфляции и темпов роста;
• если текущее Е образовано под влиянием инфляции (то есть часть прибыли из-за темпов инфляции) и инфляция в будущем будет на этом же уровне, то значение реальной доходности от владения акцией можно посчитать по формуле Е/Р – i + a;
• если компания в будущем будет демонстрировать высокие темпы роста именно из-за развития и/или цены на ее продукцию будут расти стабильно выше инфляции (i), то номинальная и реальная доходность от владения акциями такой компании может быть существенно выше средней, а текущее значение Р/Е такой компании может быть выше среднего;
• при высоких темпах роста экономики и при равенстве инфляций Р/Е в развивающейся стране может быть больше, чем Р/Е в развитой стране.
Стоит отметить, что при росте значения P/E доходность на окне год-два может быть значительно выше. Разберем, почему так происходит. Допустим P/E = 4, а P = 100, тогда E = 25 (E = 100/4). Через год компания заработала предполагаемый размер прибыли и, соответственно, стоимость ее капитала стала на 25 единиц больше. В этом случае, размер прибыли E уже следующего года составит 31,25 (с учетом реинвестирования прибыли прошедшего года с той же рентабельностью). Если предположить, что значение P/E за прошедший год возросло до 5, то в этом случае стоимость компании P будет составлять 156,25 (P = 31,25 * 5), что при начальной стоимости компании в 100 единиц соответствует доходности в 56,25% на годовом окне.
Более 800 000 книг и аудиокниг! 📚
Получи 2 месяца Литрес Подписки в подарок и наслаждайся неограниченным чтением
ПОЛУЧИТЬ ПОДАРОК