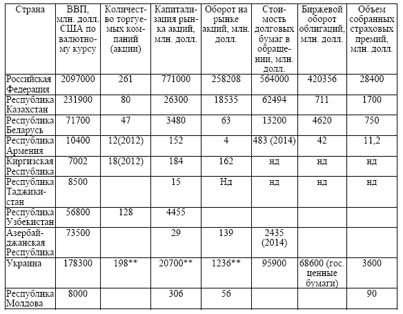
Приложение В
Отдельные показатели финансовых рынков стран СНГ, 2013 г.[122]

Конвертация из национальной валюты в доллары проводилась по курсу на конец периода
Учитывались только национальные эмитенты и сделки, совершаемые на национальной бирже
Источник: IMF World Economic Outlook Database. October 2014 (ВВП); International Financial Statistics Yearbook 2014 (валютные курсы для пересчета в доллары); Swiss RE Sigma № 3 2014 (страховые премии); World Federation of Exchanges Database (биржевая статистика по России и Казахстану); FEAS Yearbook 2013/2014 (данные биржевой статистики по Армении, Киргизии, Молдове, Узбекистану и Азербайджану; World Development Indicators, World Bank (количество листинговых компаний и капитализация Украины, Армении и Киргизии); Данные национальных регуляторов (БР, НБРК, НБРБ); CBONDS
Более 800 000 книг и аудиокниг! 📚
Получи 2 месяца Литрес Подписки в подарок и наслаждайся неограниченным чтением
ПОЛУЧИТЬ ПОДАРОК