3.1. Понятие капитала, цена и структура капитала
В финансовом менеджменте рассматриваются три типа решений – операционные, инвестиционные и финансовые. Финансовые решения могут быть долгосрочными и краткосрочными. В этой главе будут рассмотрены долгосрочные финансовые решения или решения по выбору источников и структуры капитала. Для долгосрочных финансовых решений основным вопросом является определение цены и структуры капитала. Сюда относятся решения о финансировании проектов, о выборе источников капитала, использовании финансового рычага для управления стоимостью компании. Поскольку основная цель финансового управления состоит в увеличении стоимости капитала владельцев, управленческие решения должны создавать такую рыночную стоимость для акционеров, которая превышала бы стоимость исходных факторов производства.
Капиталом называются долгосрочные источники финансирования деятельности компании. Капитал как источник финансирования включает собственный и заемный капитал.
Центральным вопросом долгосрочных решений по финансированию является выбор такого сочетания собственного и заемного капитала, который бы максимизировал доходы владельцев и стоимость компании.
Капиталом называются долгосрочные источники финансирования. В балансе капитал представлен как долгосрочный долг и собственный капитал. Именно в этом смысле понимается термин капитал, когда говорят о финансовых решениях, о финансовом рычаге, об оптимальной структуре капитала.
Динамика системы бизнеса такова, что в любой момент времени должны использоваться ресурсы из различных источников, например кредиты и акционерный (собственный) капитала.
Состав капитала – совокупность элементов, составляющих капитал.
Например, капитал компании состоит из собственного капитала, представленного уставным капиталом и нераспределенной прибылью и заемного капитала в виде долгосрочного банковского кредита и долгосрочного займа.
Составными частями капитала являются:
– заемный капитал в виде долгосрочного банковского кредита и выпуска облигаций;
– собственный капитал в виде обыкновенных, привилегированных акций и накопленной нераспределенной прибыли.
Структура капитала – соотношение между элементами в виде долей, процентов.
Например, структура капитала компании – 80 % собственный капитал, 20 % – заемный капитал.
Собственный капитал – совокупность средств, принадлежащих хозяевам предприятия на правах собственности, участвующая в процессе производства и приносящая прибыль (рис. 3.1. ).

Рис. 3.1. Составляющие собственного капитала предприятия
Собственный капитал по видам находит отражение в бухгалтерском балансе (пассив, ??? раздел – Капитал и резервы). В балансе представлены следующие строки:
Уставный капитал (складочный капитал, уставный фонд, вклады товарищей) – величина уставного капитала, зарегистрированная в учредительных документах и представляющая собой совокупность вкладов (долей, акций) учредителей (участников) организации. Величина не зависит от того, полностью участники на отчетную дату внесли свои вклады или нет.
Собственные акции, выкупленные у акционеров – стоимость акций (долей), выкупленных акционерным обществом у своих акционеров (участников).
Добавочный капитал может формироваться за счет:
– эмиссионного дохода, представляющего собой сумму разницы между продажной и номинальной стоимостью акций (долей);
– курсовой разницы, связанной с расчетами с учредителями по вкладам, в том числе вкладам в уставный (складочный) капитал организации, выраженным в иностранной валюте;
– вкладов в имущество общества с ограниченной ответственностью.
Резервный капитал – величина резервного капитала организации, образованного как в соответствии с учредительными документами, так и в соответствии с законодательством.
В составе резервного капитала могут учитываться:
– резервный фонд;
– специальный фонд акционирования работников;
– специальные фонды для выплаты дивидендов по привилегированным акциям;
– иные фонды, создаваемые в соответствии с уставом общества, например фонд на выкуп собственных акций по требованию акционеров.
Нераспределенная прибыль (непокрытый убыток) – сумма нераспределенной прибыли или непокрытого убытка организации.
Величина нераспределенной прибыли (непокрытого убытка) в течение отчетного периода может изменяться следующим образом:
– увеличиваться (уменьшаться) на величину чистой прибыли (чистого убытка) отчетного периода;
– уменьшаться на сумму начисленных дивидендов (в том числе промежуточных);
– увеличиваться на сумму объявленных и невостребованных дивидендов, срок исковой давности по которым истек;
– увеличиваться на сумму добавочного капитала от переоценки выбывших в отчетном периоде внеоборотных активов;
– уменьшаться в связи с увеличением уставного капитала за счет нераспределенной прибыли;
– увеличиваться в связи с уменьшением уставного капитала при его доведении до величины чистых активов;
– уменьшаться в связи с направлением нераспределенной прибыли в резервный фонд.
Собственный капитал корпорации – совокупность инструментов финансирования (обыкновенные, привилегированные акции, накопленная нераспределенная прибыль), принадлежащих владельцам компании.
После создания предприятия может оказаться, что его собственного капитала недостаточно для покрытия потребностей в основных фондах и оборотных активах. Организация имеет право выступать от своего лица в качестве заемщика необходимых ему ресурсов. Заемные источники финансирования делятся в свою очередь на долгосрочные и краткосрочные.
Заемные средства необходимы:
– для финансирования растущих предприятий (когда темпы роста собственных источников отстают от темпов роста предприятия);
– модернизации производства;
– освоения новых видов продукции;
– расширения своей доли на рынке;
– приобретения другого бизнеса.
Предприятие часто стоит перед проблемой выбора рационального соотношения собственных и заемных источников. На первый взгляд, чем больше собственных источников финансирования, тем устойчивее финансовое положение предприятия. Однако такое утверждение далеко не бесспорно. Есть противоположная точка зрения: предприятие должно иметь как можно меньше собственного капитала и как можно больше использовать в своей деятельности заемные источники. Тогда прибыль по отношению к собственному капиталу (т.е. рентабельность собственного капитала) будет высокой.
Оценка стоимости капитала и его составляющих
(Стоимость источников (компонентов) капитала и модель средневзвешенной стоимости капитала)
Привлечение того или иного источника средств связано для компании с определенными затратами на капитал, связанными с платой его «владельцам»: банкам нужно платить проценты по выданным кредитам; акционерам – дивиденды.
Относительная величина затрат по обслуживанию элементов капитала называется стоимостью (ценой) капитала.
Стоимость источника (элемента) капитала определяется в процентах, как отношение выплат владельцу капитала (акционеру, банку) к объему капитала, привлеченному от данного владельца.
Величина стоимости капитала определяется по доходности, требуемой владельцем капитала. Чем больше риск данной деятельности, тем большую доходность требуют владельцы капитала.
Стоимость капитала можно определить как альтернативную стоимость, тот доход, который ожидают получить инвесторы от альтернативных возможностей вложения капитала при неизменном уровне риска. Если компания хочет получить средства, то она должна обеспечить доход на них как минимум равный величине дохода, которую могут принести инвесторам альтернативные возможности вложения капитала.
Стоимость капитала изменяется под влиянием факторов финансовой среды с течением времени.
Оценка и сравнение стоимости различных элементов капитала позволяют выбрать целевую структуру капитала. При выборе целевой структуры финансирования необходимо учитывать ограничения, присущие каждому источнику капитала. Особенности и ограничения привлечения источников финансирования при формировании целевой структуры капитала рассмотрены в таблице 3.1.
Использование собственного капитала характеризуется ограничениями, связанными с финансовыми результатами и дивидендной политикой. Стоимость собственных источников компании, как правило, имеет более высокое значение по сравнению с ценой других источников капитала. Финансируя деятельность только собственными источниками, компания упускает возможность повысить рентабельность собственного капитала. Вместе с тем, компания, используя только свои средства, имеет наивысшую финансовую независимости и устойчивость, и минимальные риски потери платежеспособности.
Таблица 3.1
Привлечение дополнительных источников финансирования

Привлечение заемного капитала также имеет свои преимущества и ограничения. Заемный капитал характеризуется относительно невысокой стоимостью в условиях стабильной экономической среды. При привлечении заемного капитала компания получает налоговую экономию (налоговый щит), т.к. проценты по кредитам и займам выплачиваются до налогообложения, снижая налоговую базу по налогу на прибыль. При привлечении и использовании кредитов и займов в качестве источников финансирования может возникнуть, так называемый эффект финансового рычага (ЭФР), позволяющий влиять на рентабельность собственного капитала и увеличивать доходность собственников. Однако, следует отметить, что при использовании заемных средств в объеме, превышающем 50 % барьер, у компании увеличиваются финансовые риски. Вопрос о рациональном соотношении собственных и заемных источников финансирования исследуется на основе модели финансового рычага, которая будет рассмотрен в следующем параграфе.
Отметим два важных момента для анализа стоимости капитала.
1. При использовании заемного капитала компания получает налоговый щит. Под налоговым щитом понимается налоговая экономия, которую получают собственники компании при исключении процентных платежей по заемному капиталу из налогооблагаемой базы. Налоговый щит – эффект, возникающий при использовании заемного капитала. Расчет цены заемного каптала следует вести на посленалоговой базе.
2. При оценке капитала используется предельная цена капитала. В финансовом менеджменте используются предельные, а не исторические затраты на привлечение новых источников средств. При определении цены вновь привлекаемого капитала рассчитывают предельную цену каждой дополнительно привлекаемой единицы капитала. Финансовые решения, как и все управленческие решения, ориентированы на будущее.
Таким образом, для целей анализа выделяют среднюю и предельную стоимость капитала.
Средняя стоимость капитала – это текущая стоимость капитала, используемого в данный момент. Это текущие затраты на капитал для компании.
Предельная стоимость капитала – стоимость будущего приращения капитала. Учитывается стоимость каждой единицы нового капитала.
Стоимость капитала может быть рассчитана по денежному выражению с использованием балансовых и рыночных оценок собственного и заемного капитала.
Возможен расчет элементов капитала по имеющейся или целевой структуре капитала.
Для определения цены каждого источника капитала применяются различные методы.
После оценки стоимости различных источников (элементов) капитала определяю общую стоимость всего используемого капитала. Для этого в финансовом менеджменте используется модель средневзвешенной цены капитала WACC (Weighted Average Cost of Capital).
Стоимость вновь привлекаемого капитала определяется как средневзвешенная стоимость:
– облигационного займа;
– привилегированных акций;
– нераспределенной прибыли;
– обыкновенных акций;
– банковской ссуды.
Рассмотрим, как измеряется цена каждого источника капитала.
Таблица 3.2
Элементы капитала для целей расчета стоимости

1. Долгосрочные банковские кредиты (ссуды). Стоимость этого элемента должна рассчитываться с учетом налога на прибыль, проценты, по заемному капиталу выплачиваются за счет операционной прибыли. Проценты, включаемые в издержки до налогообложения, уменьшают сумму налога на прибыль.
2. Облигационный займ.
Облигация – это ценная бумага, долговое обязательство, выпускаемое организацией для привлечения капитала, в соответствии с которым эмитент гарантирует кредитору выплату определенной суммы в фиксированный момент времени в будущем и периодическую выплату процентов.
Номинальная стоимость – нарицательная цена – величина денежной суммы на облигации, которую эмитент берет взаймы (стоимость при наступлении срока погашения). Купонная ставка – номинальная процентная ставка, определяющая фактический процент, который должен быть получен по облигации. Годовой процент по номинальной стоимости.
В основе расчетов лежит формула цены облигации:

Компания привлекает дополнительный капитал путем выпуска облигационного займа. Номинал облигации в 1000 ед., купонная ставка 11 % , выплата 2 раза в год, срок 30 лет. Затраты на размещение – 1 %. Т.е. чистые поступления от каждой облигации составляют 990 у.е. Ставка налога = 20 %.
Решение:
1) Находим цену облигации до выплаты налогов:

Цена облигационного займа с учетом размещения, но до вычета налогов Kd= 11,12 %.
2) Посленалоговая цена облигационного займа:
11,12 % (1 – ставка налога) = 8,9 %
Стоимость займа определяется как внутренняя норма прибыли (доход на момент погашения) от потока денежных средств по облигациям.
В практических расчетах часто используется формула:

где М – нарицательная стоимость облигации (номинал);
р – купонная ставка в долях;
Рdp – чистая выручка от размещения облигаций, стоимость чистого дохода от продажи облигаций;
к – срок займа (лет).
Если расходы по выплате процентов включаются в себестоимость, стоимость источника корректируют на налог.
1. Привилегированные акции
Привилегированные акции – акции, выпущенные организацией для привлечения капитала, держатели которых обладают преимуществом перед держателями обыкновенных акций при распределении дивидендов и имущества, в случае ликвидации.
Стоимость капитала по привилегированным акциям – требуемая доходность владельцев привилегированных акций.
При определении этого источника надо учесть две особенности:
а) дивиденды по привилегированным акциям не имеют налоговых льгот. Поэтому при исчислении цену этого источника не требуется никакой налоговой корректировки.
б) хотя выплата по привилегированным акциям не является обязательной, фирмы предпочитают это делать, поскольку:
– они не смогут выплачивать дивиденды по обыкновенным акциям;
– им будет сложно привлечь дополнительные средства на рынке капиталов. Цена источника привилегированной акции определяется делением годового дивиденда привилегированной акции на чистый доход от продажи акции:

где Dp – годовой дивиденд по привилегированной акции;
Рn – цена без затрат на размещение, которую получает фирма.
Фирма может выпустить привилегированные акции. Номинал 100 у.е., годовой доход – дивиденд – 10 у.е., то доходность = 10 %.
Затраты на размещение составляют 2,5 % номинала. В случае эмиссии фирма получит чистыми от каждой проданной акции 97,5 у.е., а также возьмет на себя обязательство платить ежегодно 10 у.е.. в качестве дивидендов.
Определим цену источника «привилегированные акции с учетом затрат на размещение:

2. Обыкновенные акции и нераспределенная прибыль
Фирма может увеличить собственный капитал двумя способами:
– реинвестированием части прибыли;
– новым выпуском обыкновенных акций.
Таким образом, существует два источника собственного капитала – обыкновенные акции и нераспределенная прибыль.
Обыкновенные акции – акции, выпускаемые организацией для привлечения капитала, по которым размер дивиденда заранее не фиксируется и не гарантируется.
Стоимость обыкновенной акции обычно воспринимают как требуемую норму прибыли инвестора.
Цена капитала, формируемого за счет нераспределенной прибыли Кs – это доходность, которую акционер требует от обыкновенных акций фирмы.
Оставшийся у фирмы доход после выплаты процентов и фиксированных дивидендов – не– распределенная прибыль.
Управляющий может либо выплатить прибыль в качестве дивидендов, либо реинвестировать.
Доходность или стоимость нераспределенной прибыли определяется альтернативными издержками (затратами), т.е. акционеры могли бы получить дивиденды и вложить в акции или недвижимость с эквивалентным риском.
Чтобы оценить стоимость обыкновенных акций используются три метода:
– модель оценки доходности финансовых активов (САРМ);
– модель дисконтированных денежных потоков (DCF);
– метод «доходность облигации плюс премия за риск».
Рассмотри наиболее используемый в финансовом менеджменте метод оценки собственного капитала:
Модель оценки доходности финансовых активов (САРМ)
Эта модель не может быть проверена эмпирически, поскольку она основана на нескольких нереалистичных предположениях. Однако, она (модель) логически привлекательна.
Предполагается, что цена СК равна безрисковой ставке доходности плюс премия за риск.
С помощью этой формулы можно вычислить требуемую ставку доходности акций данной фирмы, т.е. цену источника нераспределенной прибыли.
Ks=KF +(Km– KF)?i
КF – безрисковая доходность;
(Km – KF) – премия за риск;
b-коэффициент акции – мера систематического риска.
На практике нельзя найти действительно безрисковую доходность. Однако можно взять наиболее надежные долгосрочные казначейские облигации, поскольку проценты по казначейским облигациям отражают ожидаемый уровень инфляции. Но и в случае принятия процентной ставки по государственным облигациям в качестве безрисковой необходимо обоснование такой возможности.
Премия за риск может быть рассчитана на основе:
– фактической доходности;
– ожидаемой доходности.
Фактическая доходность рассчитывается на основе статистической информации за длительный период времени из расчета среднегодовой доходности акций, казначейских облигаций и облигаций ряда первоклассных компаний.
При расчете ожидаемой доходности используется предположение, что в будущем сохранится тенденция предшествующих периодов.
?-коэффициент характеризует меру изменчивости доходности акции относительно некоей средней акции. Оценивают ?-коэффициент индексом, характеризующим изменения прошлой доходности акций и рыночной доходности за определенный период.
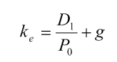
Модель Гордона является вариацией модели дисконтирования, методом для вычисления цены акции. Модель подразумевает, что компания на сегодняшний день выплачивает дивиденды в размере D, которые в будущем будут увеличиваться с неизменной ставкой g. Модель Гордона для определения стоимости обыкновенной акции:

Ке – стоимость обыкновенных акций;
D1 – ожидаемые дивиденды;
Р0 – стоимость (цена) обыкновенной акции;
g – темп роста дивиденда (принимается постоянным во времени).
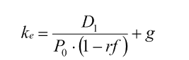
При оценке стоимости источника обыкновенные акции нового выпуска используется модификация модели, учитывающая затраты на размещение акций.

Ке – стоимость обыкновенных акций;
D – ожидаемые дивиденды;
Р0 – стоимость (цена) обыкновенной акции;
rf – уровень затрат на размещение акций в долях единицы;
g – темп роста дивиденда (принимается постоянным во времени).
Иногда используется метод оценки требуемой доходности акционерного капитала через корректировку требуемой доходности по заемному капиталу (облигациям). В общем случае требуемая доходность превышает безрисковую доходность на величину премии за риск. Исходя из предположения, что требуемая доходность по акционерному капиталу превышает требуемую доходность по заемному, можно воспользоваться моделью:
ks=kd+премия(3?4%)
Модели и формулы оценки отдельных элементов капитала приведены в ПРИЛОЖЕНИИ 2.
Средневзвешенная стоимость капитала (WACC)
Важнейшая цель определения средневзвешенной стоимости капитала – использование ее как критерия для принятия решений о новых инвестициях, которые оцениваются по ставке доходности, позволяющей в достаточной мере возместить затраты всех поставщиков капитала.
Расчет средневзвешенной стоимости капитала проводится по формуле:
WACC =Wd · Kd (1—T)+ Wp · Kp +Ws · Ks ,
где Wd – доля заемного капитала;
T – ставка налога на прибыль;
Wp – доля привилегированных акций;
Ws – доля собственного капитала в виде обыкновенных акций и нераспределенной прибыли.
WACC есть средневзвешенная цена каждой новой дополнительной единицы прироста капитала, т.е. это средневзвешенная цена источников, которые фирма намерена привлечь в текущем году.
Рассчитать средневзвешенную стоимость капитала компании.
Элементы капитала компании представлены в таблице:

Налог на прибыль 24 %.
Решение:
Доходность обыкновенных акций по модели Гордона (4 / 40 + 0,03)100 = 13 %. Доля в общем объеме капитала 500 000 / 820 000 = 0,61.
Доходность долгосрочной задолженности 10 % (1 – 0,24) = 7,6 %. Доля – 0,366.
Доходность привилегированных акций 6 %, доля – 0,024.
Тогда, стоимость капитала:
WACC = 13 · 0,61 + 7,6 · 0,366 + 6 · 0,024 = 10,8 %
Компания имеет следующую структуру капитала:
Wd ( доля заемного капитала) равна 30 %,
Wp ( доля привилегированных акций) равна 10 %,
Ws ( доля собственного капитала) равна 60 %,
Компания намерена привлечь дополнительный источники финансирования для развития, сохраняя прежнюю структуру капитала. Необходимо оценить средневзвешенную цену всего привлекаемого капитала используя модель WACC. Зная стоимость каждого компонента капитала и долю в структуре, получим цену всего капитала компании:
WACC
0,3?11%?0,6+0,1?10,3%+0,6?14,7%?11,8%
Более 800 000 книг и аудиокниг! 📚
Получи 2 месяца Литрес Подписки в подарок и наслаждайся неограниченным чтением
ПОЛУЧИТЬ ПОДАРОК