3.2. Эффект финансового рычага
Принимая решения по структуре капитала важно оценить все выгоды и риски, связанные с использованием заемных средств (заемного капитала) (рис. 3.2.).
Эффект финансового рычага, или финансовый леверидж возникает как следствие привлечения заемного капитала.

Рис. 3.2. Подходы к оценке финансового рычага.
Существуют 2 подхода к пониманию и оценке финансового рычага:
– европейский (эффект финансового рычага – ЭФР) – как прирост рентабельности (доходности) собственного капитала, при использовании заемных средств;
– американский (финансовый леверидж – ФЛ) – как чувствительность изменения чистой прибыли (и прибыли на акцию) при использовании заемных средств, он позволяет оценить финансовый риск.
Европейский подход
Привлечение заемных средств при определенных условиях позволяет увеличить отдачу вложенных собственных средств, т.е. обеспечить превышение доходности собственного капитала над доходностью актива. При привлечении и использовании кредитов и займов в качестве источников финансирования может возникнуть эффект финансового рычага (ЭФР): не вкладывая в предприятие дополнительный собственный капитал (он замещается заемными средствами), владельцы получают большую сумму чистой прибыли, «заработанную» заемным капиталом. Кроме этого компания получает возможность воспользоваться «налоговым щитом», так как в отличие от дивидендов по акциям сумма процентов за кредит вычитается из общей величины прибыли, подлежащей налогообложению. Однако, чтобы воспользоваться преимуществами эффекта финансового рычага, предприятию необходимо выполнить обязательное условие – заработать операционную прибыль, достаточную как минимум для покрытия процентных платежей по заемным средствам.
Эффект финансового рычага (ЭФР) – это прирост рентабельности собственных средств, получаемый при использовании заемных средств, при условии, что экономическая рентабельность активов фирмы больше ставки процента по кредиту.

где Пчистая – чистая прибыль, остающаяся в распоряжении предприятия после выплаты процентов за кредит и налога на прибыль.
СРСП – средняя расчетная ставка процента по заемным средствам.
Т – ставка налога на прибыль.
Рактивов – рентабельность активов или экономическая рентабельность, рассчитанная по операционной прибыли.
СК – сумма собственного капитала организации.
ЗК – сумма заемного капитала.
Для определения эффекта финансового рычага введем обозначение для ставки процента. Под средней расчетной ставкой процента понимается относительная средняя стоимость всего заемного капитала. Можно также определить среднюю ставку процента по формуле:

Привлечение заемного капитала (использование смешанного финансирования) оказывает влияние на доходность собственного капитала.

Как видно из таблицы 1, использование займа позволяет фирме увеличить рентабельность собственного капитала на 4 % (20 % – 16 %). это и есть ЭФР.
Эффект финансового рычага проявляется в увеличении рентабельности собственного капитала в результате смешанного финансирования, т.е. использования и собственных и заемных средств.
Эффект финансового рычага проявляется в воздействии заемного капитала на финансовое положение владельцев собственного капитала.
Преимущество финансового рычага заключается в том, что капитал, взятый в долг под фиксированный процент, вторично использовать для инвестиций, приносящих прибыль, более высокую, чем установленный процент. Этот дополнительный доход накапливается как прибыль владельцев фирмы. Умение пользоваться финансовым рычагом заключается в том, что нужно взять в долг столько, сколько позволяют кредиторы, увеличив при этом ставку доходности собственного капитала на разницу между достигнутой ставкой доходности инвестированного капитала и ставкой уплаченного ссудного процента.
Риск состоит в том, что рычаг может работать в противоположном направлении, если получаемая компанией прибыль ниже, чем стоимость заемного капитала. Чем выше доходность активов, тем сильнее воздействие рычага при одной и той же цене заемного капитала.
Американский подход
Эффект финансового рычага применяется при выборе оптимальной структуры капитала и составлении планов финансирования, а также при оценке финансовых рисков.
Финансовый риск сопряжен с возможностью роста финансовых издержек по мере увеличения доли заемного капитала. Очевидно, что сумма процентных платежей увеличивается по мере роста удельного веса заемного капитала в общей структуре источников финансирования предприятия. Следовательно, финансовый рычаг (леверидж) отражает степень зависимости предприятия от кредиторов, то есть величину риска потери платежеспособности. Чем выше финансовый леверидж, тем выше риск во-первых неполучения чистой прибыли, а во– вторых – банкротства предприятия.
Приведены данные о компаниях, имеющих одинаковый объем капитала, но разную структуру источников:

Рассчитать чистую прибыль, налог на прибыль 30 % (Т):

Т.о., предприятие с более высоким уровнем финансовой зависимости в большей степени страдает, в случае уменьшения дохода от основной деятельности.
Являясь постоянной величиной по отношению к операционной прибыли, сумма процентов выполняет примерно ту же функцию, что и сумма фиксированных расходов в случае операционного рычага (СОР): в точке ее покрытия возникает чистая прибыль и, чем выше плата за кредит, тем быстрее растет чистая прибыль на 1 акцию в окрестностях точки покрытия. По мере снижения операционной прибыли, величина чистого дохода каждого акционера также будет уменьшаться непропорционально быстро. Увеличение доли заемного капитала создает эффект рычага, действующего в обоих направлениях – как в сторону повышения чистой прибыли на 1 акцию, так и в сторону ее снижения. Понуждая руководство предприятия увеличивать его финансовую зависимость от кредиторов, собственники полностью принимают на себя дополнительный финансовый риск: проценты по кредиту должны быть уплачены независимо от результатов работы, а выплата дивидендов производится только из чистой прибыли, которую предприятие может и не получить. Кроме того, в случае банкротства предприятия, кредиторы будут иметь преимущества в сравнении с акционерами на получение своей доли в его имуществе. Владельцы окажутся последними в очереди претендентов на остаточную стоимость ликвидируемого предприятия. Столь значительное повышение риска акционеров компенсируется более высоким уровнем рентабельности собственного капитала, который обеспечит предприятие в случае благополучного исхода.
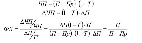
Финансовый леверидж (ФЛ) показывает, на сколько изменится прибыль до выплаты налогов и соответственно чистая прибыль и прибыль на акцию при изменении операционной прибыли на 1 %.
Финансовый леверидж принято измерять отношением суммы операционной прибыли к величине чистой прибыли до налогообложения. Очевидно, что ФЛ возрастает при увеличении доли заемных средств.
П – прибыль до выплаты процентов и налогов, операционная прибыль;
ЧП – чистая прибыль;
Пр – уплаченная сумма процентов по заемным средствам;
Т – ставка налога на прибыль.

Например, у предприятия, получившего операционную прибыль 10 млн. рублей, и уплатившего 2 млн. рублей процентов за кредит, финансовый леверидж составит 1,25 (10 / (10 – 2)). Если же степень финансовой зависимости предприятия была в 3 раза выше, то есть ему пришлось заплатить 6 млн. рублей процентных платежей, эффект финансового рычага будет равен 2,5 (10 / (10 – 6)). В первом случае увеличение операционной прибыли на 1 процентный пункт обеспечит собственникам рост чистой прибыли до налогообложения в расчете на 1 акцию на 1,25 пункта, во втором – на 2,5 процентных пункта. Столь же быстро будут снижаться доходы владельцев в случае снижения операционной прибыли.
Понятие финансового рычага является ключевым в финансовом менеджменте. Эффект финансового рычага, или финансовый леверидж, возникает как следствие привлечения заемного капитала. При обосновании оптимальной структуры капитала необходимо учитывать преимущества и ограничения (риски) заемного финансирования. Для организации финансовый рычаг является потенциальной возможностью влиять и на доходность собственного капитала, и на размер чистой прибыли на акцию через использование заемного капитала. Если фирма не использует заемные средства, то она не получает возможность увеличить отдачу на собственные средства, и рост операционной прибыли будет вызывать пропорциональный рост чистой прибыли и прибыли на акцию.
Более 800 000 книг и аудиокниг! 📚
Получи 2 месяца Литрес Подписки в подарок и наслаждайся неограниченным чтением
ПОЛУЧИТЬ ПОДАРОК