3.1. Общие положения ценообразования в строительстве
При осуществлении комплексной жилой застройки конечной строительной продукцией является градостроительный комплекс (ГСК). Он представляет собой сложное объемно-планировочное, строительноконструктивное и организационно-технологическое образование. ГСК может иметь разные размеры, состав зданий и сооружений, но рассматривается как самостоятельный объект проектирования, планирования и организации жилищно-гражданского строительства и, соответственно, требует определения сметной стоимости.
При переходе к застройке градостроительными комплексами существенно меняется порядок разработки проектно-сметной документации, важнейшим требованием которого становится комплексное представление технических и сметных материалов и расчетов.
Сметы являются частью проектной документации. Современные методы ценообразования и сметного нормирования определены системой методических документов (МДС-81). Их перечень приведен в табл. 3.1.
В МДС изложены правила определения сметных цен на строительные ресурсы: материалы, эксплуатацию строительных машин, оплату труда рабочих; нормирование накладных расходов и сметной прибыли; порядок составления всех видов сметной документации.
Особая роль в системе методических документов отводится «Методике определения стоимости строительной продукции на территории Российской Федерации» (МДС81–35.2004) [29].
В «Методике» кратко и системно представлены все положения сметного нормирования и ценообразования в строительстве; состав и порядок разработки сметной документации, в том числе сводного сметного расчета. Уделено внимание специальным вопросам: определению стоимости оборудования, пусконаладочных работ, прочих работ и затрат.
Таблица 3.1. Нормативно-методические документы по ценообразованию и сметному нормированию в строительстве


Сметная документация составляется в определенной последовательности, переходя от простых к более сложным видам строительной продукции: вид работ (затрат), объект, пусковой комплекс, очередь строительства, стройка в целом. Состав и формы сметной документации к проекту градостроительного комплекса даны в табл. 3.2.
Предварительно выбирается метод составления сметы. Преимущественно локальная смета составляется по единичным расценкам (ФЕР, ТЕР-2001) базисно-индексным методом, но возможно, по желанию заказчика, – ресурсным методом по ГЭСН-2001 и сметным ценам на строи тельные ресурсы.
Таблица 3.2. Состав и формы сметной документации

Совокупность требований и условий достоверного определения сметной стоимости строительства показана в табл. 3.3.
Таблица 3.3. Требования и условия достоверного определения сметной стоимости строительства

Нормативная база для составления сметной документации включает комплекс элементных и укрупненных сметных нормативов.
К элементным сметным нормативам относят сметные нормы, представленные в сборниках ГЭСН-2001 (потребность в ресурсах на единицу работ), цены на виды ресурсов, единичные расценки – прямые затраты на единицу работ, руб. (рис. 3.1).

Рис. 3.1. Состав элементных сметных нормативов
Государственные элементые сметные нормы (ГЭСН-2001) разработаны для всех видов работ: строительных (47 сборников), монтажных (41 сборник), ремонтно-строительных (19 сборников) и пусконаладочных (9 сборников).
В ГЭСН приводятся данные о расходе ресурсов: затрат труда рабочих, чел. – ч; времени работы строительных машин, маш. – ч; материалов – натуральные показатели (м3, м2, т, шт., кг и т. д.) на принятый измеритель работ (обычно укрупненный), 100 м2, 100 м3 и т. п.
Сметные цены на ресурсы в сборниках единичных расценок приняты в базисных ценах на 01.01.2000 г. Сметные цены на эксплуатацию строительных машин и на материалы приводятся в соответствующих сборниках (ССЦ); федеральных (в базисных ценах) и для Санкт-Петербурга (в базисных и текущих ценах, ежемесячно).
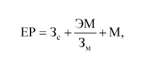
Единичная расценка (ЕР) – калькуляция прямых затрат на выполнение единицы работ или конструктивных элементов.
, (3.1)
где Зс – заработная плата рабочих-строителей, руб.;
Зс=Hcчел. – ч ? Стар(3.2)
– расходы на эксплуатацию строительных машин, в том числе заработная плата машинистов (Зм), руб.;
, (3.3)
М – материалы, руб.;
, (3.4),
где
Hcчел. – ч – норма затрат труда рабочих-строителей на выполнение единицы работ, чел. – ч; Нмаш. – чi – норма затрат машинного времени на выполнение единицы работ, маш. – ч; i – виды машин; Hнорммj – норма расхода j-го материала на выполнение единицы работ, натуральные показатели (м3, м2, т и т. п.); Стар – тарифные ставки рабочего соответствующего разряда, руб./ч; Цмаш. – чi – сметная стоимость эксплуатации строительных машин, руб./маш. – ч; Цмj – сметная стоимость строительных материалов, руб./ед.
В сметах учитываются накладные расходы (состав их показан в главе 2, на рис. 2.2), сметная прибыль. Могут включаться так называемые лимитированные затраты: на временные здания и сооружения, зимние удорожания. Они также рассчитываются по сметным нормативам (рис. 3.2).
Для составления смет используются разные нормативные базы (в ценах на 01.01.2000 г.):
• при финансировании стройки из средств федерального бюджета (ФЕР-2001), издания 2009, 2014 гг.; для строек, финансируемых из средств бюджета Санкт-Петербурга:
• территориальная сметно-нормативная база ТСНБ «Госэталон 1.1» (для строек, начатых до 2012 г.);
• территориальная сметно-нормативная база ТСНБ «Госэталон-2012» – для строительства, начинаемого с 2012 г.

Рис. 3.2. Сметные нормативы сопутствующих затрат при производстве строительно-монтажных работ
Для строек, финансируемых за счет средств частных инвесторов, локальные сметы обычно составляются по сборникам ТЕР-2001 СПб. (с дополнениями и изменениями), разработанными Санкт-Петербургским Региональным центром по ценообразованию в строительстве (РЦЦС СПб.), утвержденным и введенным в действие с 01.01.2002 г. приказом Комитета экономики и промышленной политики Администрации Санкт-Петербурга от 07.09.2001 г. № 223 (с учетом дополнений и изменений, введенных в период 2002–2013 гг.).
Более 800 000 книг и аудиокниг! 📚
Получи 2 месяца Литрес Подписки в подарок и наслаждайся неограниченным чтением
ПОЛУЧИТЬ ПОДАРОК