Глава 10 Институты, конкуренция и экономический рост

Непрестанная борьба против страданий, несправедливости и войны будет скорее поддержана и одобрена большинством людей, нежели борьба за установление некоего идеала... Те, кто терпит лишения, очевидно, будут «за», и остальные тоже вряд ли будут отрицать, что не хотели бы оказаться на их месте.

(Карл Поппер. Открытое общество и его враги)

Сложность задачи

Ранее мы представили доводы в пользу того, что развитие и укрепление демократической политической системы России играет важнейшую роль в решении задачи перехода к новому общественному договору и к рыночной экономике. Основной задачей этого перехода является создание — впервые в российской истории — системы, движущей силой которой станет частная инициатива. Главный недостаток в аргументации сторонников институционального подхода к российским реформам до сегодняшнего дня состоял в исходном предположении, что процесс перехода к рыночной экономике может неким образом идти в соответствии с идеальной моделью институциональных изменений всего лишь при том условии, что правительство понимает, что необходимо делать, и имеет для этого необходимую политическую волю. Но, хотя понимание и политическая воля нужны, только их недостаточно. Более серьезная проблема заключается в разработке для частного сектора и самого правительства системы материального стимулирования, которая создаст организованные социальные силы, заинтересованные в успехе выработанной политики. При решении задачи по созданию системы, основанной на частной инициативе, никакие реформы «сверху» по определению не могут сколько-нибудь продвинуть страну к этой цели, если они не направлены на создание соответствующей институциональной инфраструктуры. Усердие реформаторов не может заменить частную инициативу, исходящую «снизу». Но что демократическое и заинтересованное в успехе правительство может и должно делать — это внедрять системы материального стимулирования, создающие условия, при которых отдельные лица будут стремиться употребить частную инициативу в направлении прогрессивных преобразований.

В этой главе мы рассмотрим некоторые меры, которые, по нашему мнению, могут помочь в достижении этой цели146. Некоторые из этих мер могут привести к серьезным последствиям и должны рассматриваться как спорные. Вот почему здесь, начиная обсуждение, мы хотели подчеркнуть, что на первом этапе подход к этим институциональным мерам должен быть осторожным. Если социальных инженеров сравнить с врачами, лечащими пациента, то необходимо всегда помнить первый принцип клятвы Гиппократа: не навреди. Этот принцип был совершенно забыт теми, кто был у руля на первом этапе российских посткоммунистических преобразований. Читатель заметит, что наши предложения предусматривают определенный период сосуществования старых и новых институтов. Новые формы правления и новые элементы институциональной инфраструктуры будут сначала введены в порядке эксперимента, без каких-либо попыток заменить существующую систему (как формальную, так и неформальную) путем раз и навсегда принятого правительственного постановления. Окончательной проверкой для наших предложений станет, таким образом, не ученая дискуссия, а реальная конкуренция между альтернативными институтами общества и «выживание наиболее приспособленных». Сказав это, мы хотим здесь подчеркнуть, что совершенно убеждены в правильности наших предложений, основанных на серьезной теории и глубоком понимании реалий нашей страны147.

Обеспечение прав частной собственности

В нашем анализе, представленном выше, мы определили проблему разграничения и обеспечения прав частной собственности (см. главы 4 и 5) как одну из главных проблем перехода к рыночной экономике. По меньшей мере со времен гоббсовского «Левиафана» всем известно, что почти никакая производственная деятельность невозможна без сколько-нибудь определенных прав собственности. Как мы показали, после разрушения механизма планирования, российская экономика также нашла замену этому механизму разграничения и обеспечения прав собственности (главным образом в виде, практикуемом в параллельной экономике, как описано в главе 4). Проблема, как мы также видели, состоит в том, что современная организация такой «замены», опирающаяся на частные силовые группировки и/или на систему взяток правоохранительным органам и другим государственным служащим, а иногда также и на организованную преступность, совершенно неэффективна. Однако просто рассчитывать на то, что милиция будет принимать решительные меры против преступности и коррупции, при сложившихся обстоятельствах было бы совершенно бесполезно и даже могло привести к параличу экономической деятельности.

В действительности именно неэффективность такого «параллельного» обеспечения соблюдения прав частной собственности внушает наибольший оптимизм по поводу успеха предлагаемых нами реформ. Если правительство сможет предложить субъектам экономики более надежную и эффективную институциональную систему по защите прав собственности и выполнению условий договоров, можно ожидать, что новая официальная система будет постепенно вытеснять существующую неофициальную в силу самой логики конкуренции. Иными словами, если нельзя силой заставить субъекты экономики отойти от инфраструктуры параллельной экономики, их, вероятно, можно материально к этому простимулировать.

В развитой рыночной экономике систему обеспечения прав собственности и выполнения условий договоров традиционно реализует правительство и судебные органы, и финансируется она за счет налоговых сборов. Однако это не означает, что такая система единственно возможная, и даже если рассматривать ее как наилучшую, немедленное осуществление такого решения в российских условиях невозможно. Как уже отмечалось (см. главу 7), повсеместное уклонение от уплаты налогов лишило правительство доходов, необходимых для выплаты скудных зарплат, которые оно установило для сотрудников правоохранительных органов (в том числе для милиции, прокуроров и судей). Таким образом, в делах, которые доходят до суда и других правоохранительных органов, многие судьи и сотрудники милиции берут взятки, а у тех, кто их не берет, часто нет иного выхода, чем принимать решения в пользу более сильной стороны (более сильной в смысле финансов или связей со структурами параллельной экономики), поскольку в противном случае все равно не будет шансов привести в исполнение решение суда.

Российское правительство неоднократно подчеркивало свою решимость повысить доходы от сбора налогов. Ниже мы более подробно обсудим налоговую реформу, однако нам хотелось бы выделить здесь один основополагающий вопрос. Налоги — это не что иное, как деньги, которые правительство взимает со своих граждан и предприятий за оказываемые услуги. Тот факт, что эти сборы взимаются в принудительном порядке, отличает их от обычной оплаты услуг, производимой добровольно, и вызывает множество перекосов даже в странах с развитыми институтами рыночной экономики. В настоящее время зачаточное состояние таких институтов в России и степень недоверия к правительству, намного превосходящая степень недоверия к правительствам в развитых промышленных странах, не позволяют создать раз и навсегда принятый и немедленно вступающий в силу общественный договор между государством и деловым сектором, по которому предприятия платят налоги, а государство защищает их законные права. Такое положение наступит лишь на более поздних стадиях развития. В краткосрочном плане правительство, вероятно, может извлечь из предприятий больший доход, прибегая к более жестким принудительным мерам. Но в долгосрочной перспективе это приведет (и уже приводит) к взаимному недоверию и порочному кругу, что может закончиться крахом либо правительства, либо свободы предпринимательства, либо и того и другого. Однако другой, совершенно отличный подход, вероятно, может предложить вполне естественное решение этой проблемы, если отказаться от предубеждений и быть готовыми приспособить проводимую политику к реалиям нашей жизни. Говоря более конкретно, договор между деловым сектором и правительством в условиях, создавшихся в российской экономике и российском государстве, должен принять более отчетливую форму, чтобы предприятиям было хорошо известно, за какие услуги они платят, так же, как им это известно, когда они заключают «договоры» с частными силовыми группировками или дают взятки государственным чиновникам.

Таковы предварительные рассуждения, лежащие в основе нашего предложения коммерциализировать важнейшую экономическую функцию правительства защиту прав собственности на средства производства. Мы предлагаем организовать федеральную службу по защите собственности (ФСЗС), которая будет включать в себя систему арбитражных судов, обеспечивать принудительное исполнение их решений и будет иметь стимулы для эффективной защиты прав частной собственности, а будет создавать мощные стимулы «внизу» для работы в соответствии с новыми правилами, которые будут лучше согласовываться с традиционной рыночной экономикой. Здесь мы кратко обсудим некоторые ключевые аспекты этой программы с точки зрения стимулирования (см. теоретический анализ Брагинского [32]; Явлинский [113] дает обстоятельное описание практических деталей программы).

Простая общая модель

Сначала мы еще раз сформулируем суть проблемы обеспечения прав собственности в современной российской экономике переходного периода в терминах простой общей модели. Наша задача — яснее показать экономическую логику, мешающую объединению рынка и затрудняющую вступление в рынок новых участников в условиях господства системы частного принуждения в параллельной экономике. Затем мы применим эту логику к предлагаемой программе создания ФСЗС и докажем, что это является наилучшим решением проблемы с учетом сегодняшних реалий.

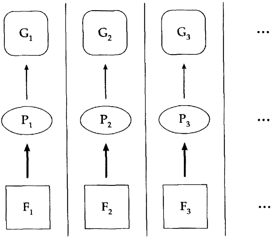
Рисунок 16 представляет собой схематическую иллюстрацию функционирования современной системы принуждения в параллельной экономике, уже описанной в настоящей книге. F1, F2, F3 и т. д. обозначают отдельные фирмы (постгосударственные предприятия); Р1, Р2, Р3 и т. д. обозначают различные частные силовые группировки (вместе с лоббирующими группами влияния), защищающие фирмы; а символы G1, G2, G3 и т. д. употреблены для обозначения сегментов правительства и/или политиков, оказывающих политическую протекцию каждой из частных силовых группировок. Мы также будем пользоваться выражением «мафиозная группировка», кратко обобщающим всю сеть частного принуждения и оказания протекции i, включающую Рi и Gi. Стрелки указывают финансовые потоки: фирмы платят частным силовым структурам (и лоббистам), а затем часть этих денег используется для платы (взяток) правительственным чиновникам и политикам. Сплошные вертикальные линии показывают разграничение сфер влияния между отдельными мафиозными группировками. Это разграничение подразумевает четкую сегментацию рынка, так что деятельность каждой фирмы Fi ограничена только тем сегментом рынка, который находится под защитой ее Рi и Gi (ниже мы подробно проследим происхождение этой особенности институциональной системы частного принуждения). Заметим, что в каждом сегменте рынка на рисунке действует только одна фирма (местная монополия). Экономическая логика, стоящая за этим положением, будет также разъяснена ниже.

Рисунок 16. Сегментированные рынки и группировки принуждения. Fi. i = 1,2,3... — отдельные фирмы (постгосударственные предприятия); Pi, i = 1,2,3... — отдельные группировки частной защиты; Gi, i = 1,2,3... — отдельные члены правительства и/или политики, оказывающие протекцию.

В этой общей модели нам нет необходимости отдельно рассматривать ни кривую спроса, ни кривую предельного дохода для каждой фирмы Fi, и не нужно конкретно определять, каким образом фирма принимает решения относительно объемов производства и цен. Вместо этого мы просто принимаем как факт результаты максимизации прибыли (сравните нашу модель поведения производителя, приведенную выше, с функцией стоимости заключения сделок, принимающей форму «ступенчатой функции» в главе 5) и сосредоточиваем внимание на том, как распределяется прибыль между руководством фирмы и мафиозной группой (в состав которой входят Рi и Gi), защищающей фирму и/или покровительствующей ей. Отбросив на какое-то время индекс i, обозначим через ? размер прибыли, извлекаемый фирмой F из сегмента рынка, на котором она действует. Допустим, что правило распределения ? отражает относительную силу каждой из сторон в ходе переговоров, а также зависит от стоимости затрат на защиту. Обозначим долю ?, передаваемую руководством предприятия своей мафиозной группировке, через ?. Таким образом, доля прибыли ?, которая остается руководству, составляет (1 — ?).

Услуги по защите, оказываемые мафиозной группой, влекут за собой издержки, которые определяются как функция от величины прибыли, требующей защиты. Мы будем предполагать, что эта функция имеет следующие характеристики (которые означают, что удельные издержки защиты убывают, и при том менее чем пропорционально размерам прибыли):

С = С(?), С'(?) < 0, С''(?) > 0, (10.1)

где С — удельные издержки на защиту ? (рис. 17).

При сегментации рынка на местные монополии размеры прибыли, разумеется, соотносятся с размерами сегмента рынка, на котором действует фирма. Таким образом, предположение, сделанное в нашей модели об убывании величины удельных издержек по мере увеличения прибыли, представляет собой не что иное, как предположение о соответствующем увеличении удельной отдачи в индустрии защиты и принуждения к соблюдению прав собственности, что оправданно ввиду больших фиксированных затрат, необходимых для организации группы защиты/покровительства. Это предположение широко используется в работах, посвященных вопросам извлечения рентной прибыли и защиты прав собственности (см., например, Мэрфи, Шлейфер и Вишны, [78, 79]; Нехер, [82]).

Если распределение доходов между руководством и мафиозной группировкой хотя бы частично зависит от удельных издержек на защиту, доля прибыли ?, удерживаемая мафиозной группой (?), будет также представлять собой убывающую функцию от ?:

? = ? (?), ?'(?) < 0. (10.2)

Ценность фирмы Fi для ее руководства будет равна (1 — ?i)?i/?i, а ценность фирмы для частной силовой группировки, защищающей фирму, составит ?i?i/?i,где ?i обозначает размеры субъективной дисконтной ставки148. Безусловно, чем выше ?i, тем выше заинтересованность мафиозной группировки в сохранении контроля над фирмой для получения определенной доли прибыли ?. Наоборот, для руководства в этом случае фирма будет иметь меньшую ценность. Однако при увеличении размеров рынка (увеличении монопольной прибыли ?i) ценность фирмы возрастает и для мафиозной группировки, и для руководства при любых значениях ?i. И наконец, уменьшение ?i также приведет к увеличению ценности фирмы как для мафиозной группировки, так и для руководства.

Рисунок 17. Функция издержек на защиту. С — удельные издержки на защиту; ? — величина прибыли.

Может показаться, что из утверждения, содержащегося в предыдущем абзаце, следует, что наличие соответственно растущих прибылей в индустрии защиты должно стимулировать фирмы к слиянию и к объединению сегментов рынка, несмотря на то, что они действуют в параллельной экономике. В частности, руководству любой фирмы F будет выгодно переключиться с защиты, которую обеспечивает относительно небольшая мафиозная группировка (с высокими затратами на защиту), на услуги большей группировки, у которой затраты на защиту меньше, но только в том случае, если это уменьшит долю доходов, которую эта фирма должна отдать (иными словами, если условие распределения не изменятся в слишком неблагоприятную для нее сторону). Или же другая фирма, принадлежащая к иной группировке защиты и действующая на большем сегменте рынка, может попытаться поглотить фирму, действующую на меньшем рынке, и обеспечить потенциально более эффективное руководство (хотя бы уже потому, что оно меньше тратит на защиту). Однако можно показать, что у института частного принуждения и у параллельной экономики есть очень сильная врожденная способность сопротивляться использованию таких потенциальных экономик крупного масштаба при принуждении, что приводит, как правило, к сохранению сегментации рынка и неэффективности.

Ниже мы обоснуем невозможность переуступок права на прибыль между различными мафиозными группировками (группировками частного принуждения). Иными словами, условие распределения прибыли (процесс, по которому определяется ?) и доля прибыли фирмы, выплачиваемая мафиозной группировке (??), абсолютно индивидуальны для каждой группировки защиты и не могут быть переуступлены в порядке денежной сделки. Основания, приведенные ниже, подтверждают это предположение (см. также Гамбетта [47], где приводится великолепный анализ этой особенности на примере сицилийской мафии).

Во-первых, существует проблема конфиденциальности информации. В то время как величину прибыли (1 — ?)?, которую сохраняет фирма, можно отследить и переуступить149, внешний наблюдатель в большинстве случаев не может отследить долю прибыли фирмы, которая достается группировке защиты/покровительства. Необходимость держать в секрете эти отношения приводит к тому, что любой член группировки (в том числе, конечно, и руководство фирмы), который заподозрен в выдаче информации аутсайдерам, подвергается строгому наказанию. Более того, сами правила редко устанавливаются в явной форме, а оплата редко производится одним прозрачным денежным переводом от одного конкретного экономического субъекта к другому. Поэтому даже самые осведомленные из инсайдеров часто имеют весьма ограниченное представление обо всех существенных подробностях.

Во-вторых, существует проблема потери доходов от защиты в ходе сложного и запутанного процесса их сокрытия. В особенности в случае с крупными промышленными фирмами, которые нас здесь интересуют в первую очередь. При оплате услуг мафиозной группировки возникает сложная и запутанная система перевода средств через множество посреднических и подставных компаний. Великое множество расчетов производится по бартеру и/или путем оказания взаимных услуг в неденежной форме. А если часть руководства входит в состав мафиозной группировки, что часто случается на практике, то еще значительная часть ?? теряется для передачи в денежной форме, принимая форму неэффективного потребления (злоупотребления служебным положением). Таким образом, значительную часть ал можно рассматривать как активы, индивидуальные для каждого субъекта.

И наконец, можно предположить, что проблема координации, возникающая при переуступке ?? из одной группировки в другую, также невероятно сложна. Даже на нашей общей модели на рис. 16 группировка защиты/покровительства состоит не из одной, а из двух сторон. На самом деле и в Рi, и в Gi бывает задействовано множество сторон, и едва ли можно ожидать, что они легко достигнут взаимопонимания при определении размеров предполагаемой переуступки.

Иначе говоря, при определении условий и составлении «договора» для беспрепятственной переуступки «права на налогообложение» определенной фирмы от одной мафиозной группировки другой возникают непреодолимые сложности. Практически такие переуступки попросту невозможно осуществить (ср. с главой 5, с. 205).

Но при отсутствии компенсации мафиозная группировка i будет сопротивляться всеми доступными ей средствами угрозе перехода фирмы под контроль конкурента или угрозе враждебного поглощения. При этом она может затратить вплоть до всей суммы, в которую группировка оценивает «свою» фирму Fi, то есть, суммы, равной Vi = ?i?i/?i, где Vi обозначает ценность фирмы для мафиозной группировки. Представим себе простую схему конфликта, в ходе которого часть ресурсов 0 ? ?(S) ? 1, расходуемых на борьбу, растрачивается в ходе самой этой борьбы, где S — относительные размеры конкурирующей мафиозной группировки j по сравнению с группировкой i и ?'(S) > 0, ?(0) = 0, ?(?) = 1. Тогда можно записать:

Ri = [1 — ?(S)] ?i(?i)?i/?i, (10.3)

где Ri обозначает степень сопротивления мафиозной группировки i угрозе перехода «ее» фирмы Fi. под влияние другой мафиозной группировки (или поглощения ею). Напротив, эффективная сила стимулов для фирмы Fi. перейти под влияние другой мафиозной группировки j (или согласиться на поглощение другой фирмой Fj, если может быть устроена компенсационная переуступка прав от фирмы к фирме) будет определяться по формуле:

Ri = {[1 -?i(?i + ?j)?i] — [1 — ?i(?i)?i]} / ?i = [?i(?i) — ?i(?i + ?j)]?i / ?i, (10.4)

где ?i(?i + ?j) — доля прибыли, которую фирма обязана отдать мафиозной группировке j150. В целом, можно ожидать, что уравнение (10.4) будет иметь положительный знак ввиду масштабного роста прибылей, однако разность (10.4) и (10.3) равна

Ni = [?(S)?i(?i)?i?i(?i + ?j)?i] / ?i, (10.5)

где знак в целом неясен. Очевидно, что при достаточно близ-ких размерах конкурирующих мафиозных группировок значение в(5) будет низким, а разность между ?i(?i) и ?i(?i + ?j) не будет слишком велика, а потому наиболее вероятно, что знак в равенстве (10.5) будет отрицательным. Таким образом, если мафиозной группировке i угрожает потеря «права налогообложения» фирмы Fi, можно ожидать, что ее сопротивление будет сильнее стимулов к объединению рынка, и в этой ситуации мы действительно получаем полностью сегментированные неэффективные рынки, как изображено на рисунке 16.

Отметим для дальнейших ссылок очевидные свойства сравнительной статики в уравнении (10.5): Ni будет тем больше, чем больше ?(S) (растрачивание ресурсов в борьбе с более крупным конкурентом), и чем меньше ?i (снижение доли доходов мафиозной группировки, отражающее снижение удельных издержек производства), и меньше ?i (более длинный горизонт планирования либо меньший риск).

Наконец, покажем, что для любого данного сегмента рынка защита распространяется только на одну фирму Fi, которая превращается в местную монополию. Это следует из простого наблюдения, что при любой данной процедуре переговоров мафиозная группировка всегда может извлечь более значительную прибыль путем защиты одной монополии, нежели продавая защиту множеству фирм, — просто потому, что допущение сколько-нибудь заметной конкуренции может привести к сокращению доходов монополии обратно пропорционально дополнительной выгоде потребителей.

Государственная система принуждения, основанная на стимулах

Отсутствие единого рынка, вызванное преобладанием механизма частного принуждения в параллельной экономике, невозможно устранить простым вмешательством со стороны правительства. Как мы уже отмечали (см. главу 7), существенная часть самого правительственного аппарата и многие отдельные политики тесно связаны с группировками частного принуждения. Государство практически не принимает участия (в качестве беспристрастного гаранта прав собственности и более или менее общепринятых правил игры) в экономической и политической жизни сегодняшнего российского общества, переживающего переходный период.

Поскольку в массовом сознании государство воспринимается как очередной и, вероятно, самый безжалостный кровопийца и уж никак не в качестве беспристрастного арбитра в деловых конфликтах, ни страстные заверения, ни угрозы принятия драконовских мер (которые попросту невозможны, поскольку у государства нет необходимых ресурсов для их осуществления) не смогут изменить ситуацию со сбором налогов и гарантией прав собственности. Иначе говоря, в настоящий момент вряд ли возможно найти окончательное конституционное решение проблемы соблюдения прав собственности в России. Поэтому мы вынуждены рассмотреть наилучшие из имеющихся вариантов. Суть нашей идеи в том, что, если государство предложит субъектам экономики альтернативную, более надежную и эффективную систему защиты прав собственности и соблюдения условий договоров, оно сможет получить обратно свой «бизнес» принуждения в силу естественных законов конкуренции, на что нельзя надеяться при использовании каких-либо других методов.

Экономическую логику такого плана можно проследить на рисунке 18, имеющем много общего с рисунком 16. Федеральная служба защиты собственности (ФСЗС) вступает на сегментированные рынки, защищаемые раздробленными мафиозными группировками, в качестве своего рода «сверхмафии». Подробности этого плана представлены в следующем разделе, но основной смысл существования ФСЗС в том, что она будет институтом, обладающим юридическими полномочиями осуществлять принудительное обеспечениеправ собственности (и соблюдение условий договоров) на предприятиях, которые будут покупать ее услуги.

Заметим, что на рисунке 18 отсутствуют непрерывные вертикальные линии, разделяющие рынок на сегменты. Иначе говоря, вероятно, что ФСЗС объединит рынок и повсюду установит общие правила экономической игры. Как говорилось выше (см. особенно главы 4 — 6), в настоящее время это является обязательным условием продолжения экономических реформ в России. Достижение желаемого результата весьма вероятно, поскольку у фирм в таком случае появятся более сильные стимулы для того, чтобы переориентироваться со своих мафиозных группировок на новый федеральный орган, нежели с одной группировки частного принуждения на другую. На самом деле, как показано на рисунке 18, существует вероятность того, что в самих мафиозных группировках произойдет раскол, когда по меньшей мере часть правительственного аппарата и политиков, в настоящее время связанных с группировками частного принуждения, тоже сочтет более выгодным переориентироваться на сотрудничество с новой службой.

Для создания достаточно сильных стимулов переориентации фирм сотрудничество с ФСЗС должно иметь очевидное экономическое преимущество по сравнению с группировками частного принуждения. Это означает, что служба должна начать свою деятельность в достаточно большом масштабе. Некоторые условия, при которых этого можно достичь, мы обсудим в следующих двух разделах. Допустим на минуту, что такие большие масштабы действительно достижимы, тогда можно использовать свойства сравнительной статики уравнения (10.5), чтобы показать достаточно высокую вероятность того, что фирмы переориентируются на ФСЗС, несмотря на то, что вероятность их переориентации с мафиозной группировки i на мафиозную группировку j была очень мала. Говоря конкретно, после заключения договора с ФСЗС фирма приобретет большую ценность для руководства, чем она имеет в нашей общей модели, поскольку: (1) руководство сможет сохранить гораздо более значительную долю прибыли, чем в настоящее время, и (2) намного снизится ?i (субъективная дисконтная ставка, включающая в себя фактор риска, который в данном случае будет распространяться только на руководство фирмы Fi). Первыйтезис следует из снижения удельных издержек на защиту и из того, что ФСЗС несравнимо крупнее любой отдельно взятой группировки частной защиты/принуждения, в то время как второй обусловлен тем, что новая «сверхмафия» вследствие своих размеров и связей с государством будет действовать в намного более широких временных горизонтах (с гораздо меньшим риском распада в долгосрочной перспективе). Более того, с точки зрения конкурирующей группировки частной защиты, борьба с такой «супермафией» будет сопряжена с очень высокими издержками (значение ?(S) наверняка будет весьма высоким), так как ФСЗС будет способна мобилизовать значительные силы в масштабах всей страны, в том числе милицию и группы специального назначения, для решения проблем, возникающих в конкретных регионах.

Таким образом, можно ожидать, что новая единая федеральная структура сможет успешно вытеснить раздробленные группировки, по крайней мере из области законного бизнеса, используя естественные преимущества своего масштаба. Стоит отметить, что один этот факт, без учета дальнейших выгод от объединения рынка, повлечет неоспоримые улучшения в распределении ресурсов. Действительно, даже если структура рынка не изменится, замена частных мафиозных группировок на ФСЗС снизит издержки на защиту (и степень растрачивания доходов), увеличит ценность фирм для их владельцев (де-юре либо де-факто) и расширит горизонт планирования. Кроме того, увеличение (1 — ?)? повысит прозрачность денежных потоков в экономике. Уже только эти факторы позволяют серьезно говорить об общественной выгоде от переориентации на принуждение, осуществляемое одной «супермафией», по сравнению с нынешней ситуацией.

Рисунок 18. Коммерциализованная система государственного принуждения. Fi. i = 1,2,3... — отдельные фирмы (постгосударственные предприятия); Pi, i = 1,2,3... — группировки частной защиты; Gi, i = 1,2,3... — отдельные члены правительства и/или политики, оказывающие протекцию.

Положительные результаты не ограничатся только теми, что перечислены в предыдущем абзаце. Можно полагать, что важнейший положительный результат учреждения ФСЗС будет состоять в том, что, в противоположность раздробленным мафиозным группировкам, она не будет иметь стимулов сопротивляться поглощению и покупке фирм более эффективными владельцами (руководителями) у менее эффективных. Напротив, вероятно, что она будет способствовать такому поглощению вплоть до достижения оптимальных масштабов производства (с максимальной прибылью). Хотя какое-то время защита все еще будет предоставляться монополиям (см. следующий раздел), размер этих монополий не будет больше зависеть от случая (от размеров сегмента рынка, находящегося под контролем группировки, занимающейся частной защитой данной монополии), а будет определяться обычными соображениями максимизации (монопольной) прибыли.

Некоторые практические аспекты предложения о создании ФСЗС

Наше практическое предложение о создании ФСЗС в России было впервые высказано в Президентской программе Явлинского [ИЗ]. Оно предусматривало учреждение ФСЗС специальным законом в качестве государственной корпорации (все акции которой принадлежат правительству), которая наделяется законными полномочиями по сбору с субъектов экономики взаимно согласованной платы за услуги по защите собственности и обеспечению соблюдения условий договоров, ФСЗС также будет включать в себя систему арбитражных судов и механизм принуждения, необходимый для обеспечения предприятий страны эффективной защитой и для приведения в исполнение решений арбитражных судов. Оплата может производиться в форме годовых или месячных взносов, за которые федеральная служба должна гарантировать предприятиям благоприятную среду для ведения нормальной экономической деятельности (защиту от мафиозного запугивания, незамедлительный арбитраж и эффективное исполнение его решений и т.д.), ФСЗС, в свою очередь, должна иметь право заключать договоры с милицией и иными правоохранительными органами для выполнения своих договорных обязательств.

Практическим проектом определялось, что в целях обеспечения независимых отношений с отдельными предприятиями ФСЗС будет заключать договоры не с отдельными фирмами, а только с организованными федеральными, региональными и местными ассоциациями промышленников, оптовиков, розничных торговцев, банкиров и других бизнесменов. Более того, специальное положение о «неисключительности» в законе об учреждении ФСЗС должно гарантировать право членства, как минимум, в одной ассоциации, заключающей контракты с ФСЗС, любому зарегистрированному предприятию, тем самым обеспечивая свободное вхождение в рынок и конкуренцию.

Однако хотя такие положения, несомненно, желательны, они могут создать сложности для финансирования ФСЗС, особенно на начальном этапе, делая ее менее привлекательной по сравнению с группировками частного принуждения. В частности, авторитетной и мощной местной монополии все же может быть выгоднее платить больше частной мафиозной группировке, которая сможет гарантировать ей защиту от конкуренции, нежели платить меньше ФСЗС, рискуя в то же время подорвать свое монопольное положение. В этом случае мы можем быть отброшены на исходные позиции — при недостатке «клиентов» новая коммерческая система государственного принуждения можетоказаться почти столь же беспомощной, как и существующая, основанная на налогообложении.

Следовательно, разумнее допустить, что ФСЗС, по крайней мере сначала, будет испытывать сильное искушение предоставлять свои услуги по защите монополиям. Однако из этого необязательно следует, что такая система не будет иметь никаких преимуществ по сравнению с тем, что мы имеем сегодня. Как упоминалось выше, размер монополий, нуждающихся в защите, по крайней мере, больше не будет определяться произвольной сегментацией рынка. Несмотря на то, что это не является наилучшим решением проблемы, более объединенный рынок, где монополии действуют в оптимальных масштабах, скорее всего, будет шагом вперед по сравнению с настоящим положением дел, когда между двумя любыми мелкими сегментами возводится стена без всякого учета эффективности.

Эту мысль можно проиллюстрировать на простом примере. Каждый регион Российской Федерации в настоящее время сохраняет то, что можно точнее всего назвать региональной водочной монополией. Во многих случаях интересы этих монополий представляют региональные администрации, а защищают неформальные группировки принуждения, в том числе криминальные. При существующей системе федеральные органы бессильны в борьбе с такими монополиями, вследствие чего во многих регионах сохраняются высокие цены и малоэффективное производство, даже если смежные регионы предлагают более высококачественную и дешевую продукцию. С учреждением ФСЗС федеральные органы решительно займут сторону более эффективных производителей и/или предприятий розничной торговли и получат возможность защиты их интересов. Таким образом, более производительные предприятия смогут гарантировать себе возможность конкурировать на более крупных рынках, вытесняя менее эффективные монополии. Тот же принцип можно применить к проблеме конфликтов между инсайдерами и внешними инвесторами в их борьбе за контроль над крупными промышленными предприятиями. Здесь та же ситуация: тот, кто предложит больше (уже не имея необходимости платить мафиозным группировкам), вероятно, будет иметь больше средств, чтобы реструктурировать бизнес и повысить его эффективность.

Есть и другие причины считать, что при ФСЗС обеспечение прав местных хищнических монополий пойдет на спад. Во-первых, весь процесс принудительного обеспечения прав будет извлечен из темных недр параллельной экономики и станет прерогативой государства. Будучи в ведении государства, принуждение может надзираться федеральными, региональными и местными выборными органами, свободной прессой и другими формами общественного контроля. Случаи явного фаворитизма в работе ФСЗС станут достоянием общественности. При этом общественное внимание будет сосредоточено на одном определенном институте, а не на большом количестве малозаметных группировок частного принуждения, что намного облегчит общественный контроль. Как при существующих обстоятельствах, так и при наличии нового института ФСЗС вопрос о коррупции может стать темой для предвыборных кампаний, но при наличии ФСЗС можно легко определить, какие меры должны быть приняты против коррупции, и осуществить их (произвести кадровые замены и т.п.), в то время как при существующей системе этого определить практически невозможно, и вся борьба с коррупцией превращается в простое сотрясение воздуха.

Во-вторых, при условии, что можно обеспечить необходимое финансирование (подробнее об этом ниже), задуманная правовая система ФСЗС может предусматривать стимулы для рядовых сотрудников, создающие мотивацию к распространению защиты на как можно большее число конкурентов и к отказу от предложений со стороны укоренившихся монополий. Например, премии сотрудников можно поставить в зависимость не только от общей величины доходов, но также и от количества контрактов, которые они заключают, и применять строгие взыскания в тех случаях, когда на территории, где работает служба, заключен всего один или два контракта, даже если это и высокоприбыльные контракты. Фактически ФСЗС можно однозначно наделить функциями содействия вхождению в рынок, в частности, мелкого бизнеса и поддержки открытия кредитных линий. Для этого внутри службы можно создать специальный отдел, занимающийся оказанием услуг по регистрации нового бизнеса и содействием вступлению новых предприятий в одну из деловых ассоциаций, с которыми ФСЗС заключила договоры. Другой отдел ФСЗС может оказывать посреднические услуги для осуществления бухгалтерского учета, аудиторских проверок и юридического консультирования, особенно для новых малых предприятий. Силовые подразделения службы, разумеется, будут эффективно защищать эти предприятия от возможных угроз, разрушая один из самых главных барьеров для конкуренции, который препятствует развитию современной российской экономики.

Последнее и, возможно, важнейшее состоит в том, что ФСЗС в значительной степени устранит главный источник власти укоренившихся региональных монополий в современной российской экономике — сам феномен сегментированных рынков. Эффективная система дублирования юрисдикции в сочетании с системой сдержек и противовесов в различных функциональных отделах и региональных органах службы уменьшат вероятность занятия жесткой односторонней позиции ФСЗС в тех случаях, когда сталкиваются интересы различных сторон, с которыми она заключила договоры. Со временем ФСЗС может превратиться в действенный механизм по разрешению конфликтов в четко определенных общих рамках, не слишком отличный от механизмов лоббирования, оказания взаимных услуг и других форм извлечения рентной прибыли, обычно применяемых в таких случаях даже в самых законопослушных странах с традиционной системой принудительного обеспечения прав собственности, основанной на налогообложении. В конце концов, практически неразрешимыми такие конфликты становятся не из-за неизбежных противоречий интересов, а из-за самой природы частного принуждения, на которой и лежит полная ответственность за наличие укоренившихся местных монополий и сегментированных рынков в России.

Наделение ФСЗС монопольными правами на защиту собственности может привести (и почти непременно приведет) к тому, что с экономических субъектов сначала будут взиматься завышенные ставки в противоположность тому, как функционируют подобные учреждения в традиционных рыночных экономиках. В сочетании с вероятным перекосом в сторону защиты монополий, о чем говорилось выше, это может вызвать опасение, что сверхвысокая эффективность ФСЗС принесет обществу больше вреда, нежели пользы, в частности еще больше укрепит монополизированную структуру рынка, которую будет очень сложно искоренить в будущем. Конституционный механизм принуждения, основанный на налогообложении, и четко определенная и отлаженная правовая система в гораздо меньшей степени подвержены этим порокам.

Однако нельзя забывать, что отправной точкой нашего анализа является не некое идеальное государство, а реальность настоящего времени. В этой реальности система принуждения и структура рынка, существующие в настоящее время в России, почти безнадежно неэффективны. Справедливость утверждения о превосходстве ФСЗС над нынешней ситуацией, когда правительственные чиновники, по существу, бесконтрольно продают свои услуги различным мафиозным группировкам, основана на большей ее подотчетности обществу и лучших возможностях контроля, особенно со стороны предприятий-клиентов. Проще говоря, в нынешней ситуации, если сотрудники милиции берут взятки у мафии, то исключительно сложно призвать к ответу как самих сотрудников, так и их начальство, потому что не существует прямой связи между уплаченными налогами и качеством принудительного обеспечения прав собственности. При режиме ФСЗС, когда основным принципом будет заключение добровольных договоров с деловыми ассоциациями, ФСЗС сможет выживать, только обеспечивая конкурентоспособное сочетание цены и качества оказываемых услуг.

Следовательно, с теоретической точки зрения, вероятная монопольная рента, получаемая ФСЗС, не должна превышать денежного эквивалента дополнительной стоимости оказываемых услуг или же денежного эквивалента снижения общественных издержек, достигнутого в результате ее деятельности. Иначе говоря, если ФСЗС будет получать сколько-нибудь больше тех сумм, которые в настоящее время предприятия отдают своим группировкам частного принуждения, этот излишек, вероятно, будет представлять собой действительное снижение общественных издержек. Тогда часть этой монопольной ренты можно взимать в виде налога и направлять в доход государства. Если согласиться с тем, что увеличившиеся доходы государства в ситуации, существующей в российской экономике, можно использовать более эффективно, нежели просто растрачивать средства в несогласованных попытках частным образом защитить права собственности (например, правительство может использовать дополнительные доходы для помощи малоимущим или для проведения какой-либо стратегической промышленной политики), то новая система позволит не только деловому сектору российской экономики, но также и потребителям пусть пока не оптимизировать, но все же улучшить общественную ситуацию. Дополнительную страховку может обеспечить придание ФСЗС статуса временного института переходного периода, а затем его замена в четко установленные сроки на различные независимые органы, в большей степени соответствующие традиционному механизму принуждения, основанному на налогообложении.

Важный вопрос, ответ на который проливает свет на основное значение учреждения института ФСЗС, состоит в следующем: что произойдет, если предприятие, приобретающее услуги ФСЗС, вступит в конфликт с предприятием, которое не приобретает услуги ФСЗС? Ответ прост: у первого предприятия будет неоспоримое право обратиться в ФСЗС за помощью. Такой «фаворитизм» ФСЗС по отношению к своим клиентам не составит никакой проблемы, поскольку цель проекта в том и заключается, чтобы склонить все предприятия к заключению договоров с ФСЗС, и по возможности быстрее. ФСЗС вводится, чтобы установить некие общие правила игры вместо нынешнего хаоса. Предприятия, отказавшиеся подчиняться этим правилам, будут подвергаться дискриминации в таком же смысле, в каком таксисты Нью-Йорка, не имеющие лицензий, подвергаются «дискриминации» со стороны полиции.

На самом деле главной целью такой «дискриминации» является не только унификация правил игры в экономике переходного периода и создание более стабильной институциональной среды, но и, что очень важно, установление в деловой жизни России культуры уплаты налогов. Причиной жесткого отношения нью-йоркской полиции к таксистам, не имеющим лицензий (в отличие от московской милиции, которая относится к таковым настолько снисходительно, что дешевые и эффективные нелицензированные такси почти полностью вытеснили с рынка перевозок лицензированные машины), является различное отношение к проблеме сбора налогов. Создание ФСЗС — это один из первых практических шагов по установлению культуры уплаты налогов в российском хаосе, опираясь на начальном этапе на экономическое стимулирование. В тот момент, когда все предприятия (или большинство) переориентируются на договоры с ФСЗС, а мафия настолько потеряет свое значение, что не будет опасности возврата к частному принуждению (по крайней мере, в основных отраслях производства и на важнейших рынках), ФСЗС может быть постепенно трансформирована в более традиционный механизм всеобщего государственного принуждения, основанный на налогообложении (то есть договорная оплата услуг будет заменена на обязательную уплату налогов, а ФСЗС возьмет налоговое ведомство под свою юрисдикцию или сольется с ним).

Успех предложенной схемы в решающей степени будет зависеть от подбора кадров для нового учреждения и надзора за его деятельностью со стороны правительства. В этом смысле сохранение и развитие демократической политической системы, в том числе свободной и независимой прессы и независимой судебной власти, является решающей предпосылкой для создания ФСЗС (и для принятия всех прочих мер, предлагаемых ниже). Еще более важно понимать, что ни одно из наших предложений не может быть успешно осуществлено в отдельности при сохранении в целом неизменного существующего положения дел. Только при сочетании всех, в крайнем случае большинства, предлагаемых мер у нас может появиться разумная уверенность, что изменения достигнут «критической массы», которая подтолкнет общество к новому социальному договору.

Контроль со стороны инсайдеров и профсоюзы

При прежней тоталитарной системе Коммунистическая партия обеспечивала институциональный механизм для надзора за деятельностью руководителей государственных предприятий. Развал этого контроля и отсутствие альтернативных средств для контроля за деятельностью инсайдеров являются важнейшей проблемой для экономики переходного периода. Как мы упоминали выше, надежды на то, что коммерческие банки и финансово-промышленные группы смогут обеспечить эффективное корпоративное управление, до сих пор не оправдались. Одним из институтов, который может помочь в восстановлении некоторого контроля над руководителями-инсайдерами в современных условиях, является институт профсоюзов.

На большинстве российских постгосударственных предприятий профсоюзы в настоящее время практически отсутствуют, возможно, за исключением профсоюза шахтеров. Это и неудивительно, учитывая, что неоспоримый контроль со стороны инсайдеров151 лишает большинство промышленных рабочих возможности зарабатывать на жизнь тем, что они производят на своем предприятии, и часто принуждает их заниматься каким-либо побочным частным бизнесом, не имеющим отношения к их предполагаемому основному занятию на предприятии, где они формально числятся (см. часть II). Здесь, как и в случае с принудительным обеспечением прав частной собственности, мы снова сталкиваемся, по сути, с проблемой координации. Если бы рабочие могли контролировать то, что делают инсайдеры, они, вероятно, смогли бы вернуться на свои рабочие места (по крайней мере, в некоторых известных нам случаях), что, в свою очередь, имело бы положительный эффект для реструктуризации, которая бы ограничивала злоупотребления и влияние параллельной экономики.

Создание сильного профсоюзного движения может породить еще одну мотивированную общественную силу, заинтересованную в установлении нормальных правил рыночной игры. В частности, для руководителей постгосударственных предприятий профсоюзный контроль сильно затруднит сокрытие злоупотреблений (хотя контролировать извлечение рентной прибыли может оказаться сложнее). Например, на одной московской фабрике, которую мы достаточно подробно изучили, именно профсоюзный лидер взял на себя инициативу в успешной (что пока очень необычно) кампании по смещению коррумпированного руководителя предприятия и его приятелей из различных структур параллельной экономики. Новое руководство, назначенное со стороны, выразило озабоченность возможным столкновением «классовых интересов» с сильным профсоюзом, но с энтузиазмом приветствовало роль профсоюза в спасении предприятия от полного развала.

Можно также рассчитывать на то, что профсоюзы будут активно препятствовать мафиозному запугиванию. Действительно, сочетание бдительности рабочих, входящих в профсоюзы, с учреждением ФСЗС позволило бы ожидать довольно быстрое бегство мафии в ее естественное «прибежище» азартных игр и проституции.

Кто-то может высказать сомнения в целесообразности поддержки деятельности профсоюзов из-за опасений, что профсоюзы могут стать еще одной общественной силой, интересы которой противоречат столь необходимой реструктуризации российских промышленных предприятий. Однако мы считаем эти опасения малообоснованными. Как и в случае с обсуждавшейся в предыдущей главе демократической политической системой и вышеописанной схемой ФСЗС, важнейшая задача, стоящая сейчас перед российским обществом, состоит в том, чтобы институционализировать процесс проведения переговоров и оказания взаимных услуг. Когда бы мы ни «выудили» этот процесс из недр параллельной экономики и когда бы он ни начал идти открыто, согласно общепринятым правилам заключения договоров, это, вероятнее всего, повлечет за собой увеличение, а не уменьшение производительности и будет шагом вперед в направлении нового общественного договора. Иначе говоря, в нынешней общественной среде переходного периода в России главная угроза эффективности и долгосрочным перспективам роста исходит от автократических тенденций и заключения инсайдерами закулисных сделок.

Говоря конкретнее, главная проблема российских постгосударственных предприятий — в низкой мотивации их руководителей-инсайдеров к деятельности, максимизирующей долгосрочную ценность их фирм (см. главы 5 и 6). Простые рабочие, у которых нет доступа к счетам в иностранных банках или к счетам фиктивных компаний, управляемых инсайдерами, скорее будут заинтересованы в будущем процветании своих предприятий, а необходимость выполнять требования этих рабочих послужит для руководства дисциплинирующим фактором. Подобный долгосрочный эффект наблюдался во время послевоенного восстановления экономики Японии, где поддержка профсоюзного движения была одним из основных средств политики, проводившейся американскими оккупационными силами, пытавшимися изменить структуру японской экономики. Новые российские профсоюзы также могут воспользоваться «японским» принципом «пофирменных профсоюзов» — то есть опытом организации профсоюзов по предприятиям, а не по отраслям промышленности, с тем, чтобы смягчить возможные негативные последствия для реструктуризации.

Есть еще одна причина для поддержки профсоюзов в современных российских условиях. Необязательно верить в социал-демократические ценности, чтобы понимать, что в тех случаях, когда уровень жизни рабочего класса слишком низок, деятельность профсоюзов представляет собой «попытку достичь условий жизни, сообразных истинному самоуважению и широким общественным интересам, а не только борьбу за более высокие зарплаты» [75, с. 585]. В России накопился довольно хороший человеческий капитал промышленных рабочих и инженеров, особенно в течение последних, относительно мирных десятилетий социализма. Сейчас этот капитал растрачивается, потому что бедственный уровень жизни и вынужденное (большей частью) занятие различным побочным бизнесом ослабляют мотивацию и резко снижают производительность труда. Это может нанести гораздо больший вред экономической эффективности, чем любые временные трудности, с которыми может столкнуться процесс реструктуризации перед лицом сильного профсоюзного движения.

Важность экономического роста

Как мы показали, экономический рост крайне необходим для успеха экономической реструктуризации, потому что только рост в масштабах всей экономики может создать достаточные стимулы. Например, мы можем рассчитывать на решительный прорыв в направлении рыночной экономики в России только тогда, когда инвесторы будут убеждены, что они могут дождаться высоких доходов от производства приработе на конкурентных рынках (см. главы 5 и 6). Они не смогут дождаться этого, если продлится экономический спад или застой. Кроме того, обстановка экономического роста уменьшит мотивацию к деятельности по извлечению рентной прибыли, повышая альтернативные издержки ресурсов, необходимых для такой деятельности. Возобновление экономического роста в России также является важной предпосылкой для создания конкурентных рынков капитала, столь необходимого чувства социальной стабильности и повышения реальных доходов.

Российская экономика с 1992 года страдает от экономического развала, совокупные последствия которого оказались намного тяжелее последствий Великой депрессии 1929 — 1933 годов. До сих пор этот развал не повлек за собой слишком большой открытой безработицы. Частично это объясняется достаточными возможностями для должностных злоупотреблений и извлечения рентных доходов: потраченная внутри страны часть доходов, полученных «новыми русскими», которые имеют доступ к ресурсам страны и капитальным активам, создала новые рабочие места в сфере обслуживания и розничной торговли, что обеспечило занятость (и доход) тем, кто был вынужден уйти с работы в промышленном производстве или на государственной службе. Однако эти источники доходов сейчас иссякают, и российской экономике угрожает сползание к дефляции и массовой безработице.

Таким образом, в течение ближайших нескольких лет жизненно необходимо возобновить инвестирование и рост производства в высокотехнологических отраслях, что является единственной возможностью создать новые постоянные рабочие места и адекватные источники доходов хотя бы для того, чтобы предупредить массовую нищету и социальные взрывы. При современной структуре стимулов необходим начальный толчок со стороны правительства, чтобы запустить процесс, то есть сдвинуть экономику, основанную на извлечении рентной прибыли, с точки «неудовлетворительного равновесия» (см. Мэрфи, Шлейфер и Вишны, [79, с. 412]). В печальных результатах, которые российские реформы имели до сих пор, можно в значительной степени винить реформаторов, не усвоивших эту фундаментальную мысль.

Сторонники «шоковой терапии» доказывали, что макроэкономическая стабилизация и другие меры, предусмотренные в парадигме их политики реформ, сами по сеое создадут основу роста, и рассматривали (и часто все еще продолжают рассматривать) падение и/или стагнацию собственно производства как относительно небольшую проблему. Верно, конечно, что стимуляция экономического роста была бы бессмысленна и даже, возможно, пагубна для процесса перехода к рыночной экономике, если бы она проводилась без необходимых структурных изменений. Но здесь появляется порочный круг: значительный рост невозможен при старой системе, но отсутствие всякого роста ведет к дальнейшему укреплению этой старой системы (главным образом в виде параллельной экономики). Легкого выхода нет. Однако мы считаем, что порочный круг экономического застоя и дальнейшего укрепления старой системы можно сначала разорвать за счет экономического роста. С этой целью мы предлагаем несколько правительственных программ, призванных содействовать вложению инвестиций и росту в нескольких отдельных приоритетных отраслях. Эти программы можно осуществить относительно независимо от состояния всего экономического пространства (при том, что само правительство будет действовать честно и у него будет сильная мотивация, — условие, которое мы подробнее рассмотрим в следующей главе). Успех этих программ даст мощный толчок процессу системных изменений, увеличивая перспективы для успеха других мер, которые предполагает наш проект реформирования.

Исключительно важным моментом, который необходимо учитывать при разработке правительственных программ по стимуляции экономического роста в России, является известная опасность перестараться. Одна из фундаментальных причин провала всех программ экономического роста, осуществлявшихся до сих пор, состоит в том, что центральные власти пытались принимать участие практически во всех аспектах, которые они считали важными для экономического роста. Несколько лет подряд правительство упрямо включало почти все общественно значимые сферы в директивы по инвестиционной политике и в бюджет. Результатом было то, что каждый отдельный проект мог в действительности финансироваться всего лишь на 20 — 30 % от первоначально запланированного бюджета. Таким образом, большей частью эти деньги растрачивались без какого-либо экономического эффекта. Однако такая «политика стимулирования экономического роста» была исключительно «эффективна» для обогащения некоторых правительственных чиновников, а также банкиров и других «капитанов» российской экономики. Наш подход радикально отличается от этой практики. Правительство должно точно оценивать свои ограниченные ресурсы и сосредоточивать свою работу только на решении самых важных стратегических вопросов. Более того, даже эти вопросы должны в основном финансироваться не через существующую налоговую систему (которая и без того несет достаточно тяжелое бремя), а через привлечение новых средств в форме прямых иностранных инвестиций и обеспечение экономики новыми «деньгами для роста» из источников внутри страны, как описано ниже. Правительство должно также убедиться, что его самые мотивированные члены с доказанной репутацией честных людей осуществляют контроль и надзор за выполнением каждого отдельного проекта, по крайней мере в течение первых нескольких лет. Другие проекты следует начинать только тогда, когда успех предыдущих принесет правительству новые доходы и расширит возможности эффективного контроля.

Промышленная политика и частные стимулы

Экономический рост должен стимулироваться посредством стратегической промышленной политики, в которой правительство должно выделить приоритетные отрасли и обеспечить им помощь и, самое главное, доступ на более широкие рынки. Первоначальный выбор приоритетов должен определяться возможностью относительно легкого доступа к неинфляционному финансированию (особенно к прямым иностранным инвестициям). Не менее важен выбор отраслей с точки зрения технологического мультипликационного эффекта и создания новых рабочих мест (подробный план пятиэтапной стратегической промышленной программы приведен в Президентской программе Явлинского [ИЗ]). С течением времени список приоритетных отраслей претерпит естественные изменения, что приведет к существенному пересмотру более ранних проектов. В этой книге мы сосредоточим внимание на соотношении между промышленной политикой и задачей по изменению стимулов экономических суоъектов в российской экономике переходного периода.

В центре внимания промышленной политики в России, по крайней мере на ее начальной стадии, должна находиться нефтяная и газовая промышленность, которая стоит на первом месте в списке приоритетных отраслей, то есть отраслей с наивысшей степенью потенциальной экспортной конкурентоспособности. Однако это не нужно понимать как всего лишь разработку нефтяных и газовых месторождений для увеличения добычи, экспорта и доходов правительства, как эту политику часто понимали ранее. Возможности для процветания, которые открывает богатство российских минеральных ресурсов, сокращается, в особенности в связи с недавним падением мировых цен. Но даже невзирая на какие-либо ценовые тенденции, очевидно, что одна только добыча полезных ископаемых не может поддерживать российскую экономику и ее положение в течение долгого времени. Правительственная политика в отношении нефтегазовой отрасли должна гарантировать, что инвестиции в разработку новых месторождений нефти и газа не только ведут к расширению самой энергетической отрасли, но и стимулируют реконструкцию и рост производства, а также создание новых рабочих мест в смежных отраслях, таких, как металлургия, машиностроение и строительство.

Ключевым моментом в этой стратегической промышленной политике является полное соблюдение закона о соглашениях по разделу продукции (СРП), вступившего в силу в 1996 году. Новый основной стимул, установленный этим законом, по сравнению с предыдущим законодательством заключается в том, что нефте- и газодобывающие компании должны платить налоги в основном в натуральной форме, как согласованную долю продукции, и могут распоряжаться оставшейся долей по своему усмотрению. В частности, они освобождаются от обременительных налогов, что часто усугубляется, как это сейчас происходит в России, плохо скрываемым стремлением к извлечению рентной прибыли со стороны различных правительственных органов152.

Согласно закону об СРП инвестору не нужна лицензия для получения права на разведку и добычу минеральных ресурсов. Лицензию заменяет соглашение о разделе продукции — контракт, по которому за плату Российская Федерация наделяет инвестора на установленный промежуток времени исключительными правами на изыскания, разведку и добычу минеральных ресурсов.

Эти добытые минеральные ресурсы распределяются между государством и инвестором в соответствии с соглашением, в котором оговорены условия и процедуры индивидуально для каждого соглашения. В частности, «компенсационная добыча» и доля инвестора от «прибыльной добычи» находятся в собственности инвестора на основе прав собственности. Согласно СРП доля инвестора может экспортироваться из России без каких-либо ограничений или пошлин. Также гарантируется право инвестора на доступ к магистральным трубопроводам. За исключением налога на прибыль и платы за использование недр, инвестор освобождается от налогов, пошлин и сборов на срок действия соглашения, в том числе от таможенных и акцизных сборов, и других обязательных платежей. Инвестор также имеет право (хотя только с письменного разрешения правительства Российской Федерации) полностью или частично передавать свои права и обязанности дочерней компании или какому-либо иному юридическому лицу.

Закон об СРП широко трактуется как первый закон в России, действительно способствующий привлечению инвестиций, и как закон, способный сыграть важную роль в привлечении столь необходимого потока прямых иностранных инвестиций.

Если в развитие российской нефтегазовой промышленности в результате исполнения закона об СРП153 привлечь достаточно прямых инвестиций, результаты этого будут ощущаться далеко за пределами энергетического сектора. Закон об СРП также предписывает проведение конкурентных торгов на контракты по поставке оборудования и выполнение строительных работ. Некоторые российские исследователи утверждают, что у российских поставщиков, в том числе у бывших военных заводов в регионах, особенно пострадавших от экономического спада, могут быть хорошие шансы выигрывать эти контракты (Коноплянник и Субботин, [67]). Если бы это было осуществлено, инвестиции в развитие нефтегазовой промышленности, принося выгоду энергетикам, также обеспечили бы возможность «большого толчка», необходимого, чтобы остановить происходящий в настоящий момент спад в экономике. Можно ожидать, что российская металлургия, машиностроение и строительная промышленность больше всего выиграют от разработки новых нефтяных и газовых месторождении и строительства новых трубопроводов.

С точки зрения стимулов долгосрочные результаты такого толчка могут быть еще значительнее. В частности, когда начнет осуществляться ряд проектов СРП, появится новая схема заключения контрактов с участием нефте- и газодобывающих компаний, промышленных и строительных фирм, а также правительства, которая разорвет существующий порочный круг, когда предприятия обманывают правительство, используя дорогостоящую систему задолженностей, а правительство пытается компенсировать свои потери, выжимая из фирм практически все доходы, которые ему удается выявить. В проектах, подпадающих под действие закона об СРП, определена натуральная форма налогов, поэтому все финансовые сделки могут стать прозрачными. Конечно, важно, чтобы российские поставщики, обеспечивающие проекты СРП оборудованием и услугами по строительству, также имели возможность выбрать налоговую систему типа СРП. Тогда у всех сторон, задействованных в сделках, осуществляемых в рамках СРП, не будет стимулов к сокрытию своих доходов, и это может привести к ликвидации задолженностей и замене бартера денежными операциями — в частности, при оплате поставок энергии и топлива, а также при уплате налогов. Разумная политика правительства в этом контексте должна состоять в том, чтобы освободить фирмы, которые смогли стать конкурентоспособными поставщиками для нефтегазовых фирм на мировой арене, от накопившихся долгов по налогам прошлого времени и тем самым поддержать переход к надлежащей системе расчетов и обеспечить себе в будущем стабильное поступление налогов.

Проекты СРП также покажут другим постгосударственным предприятиям, что новая система предлагает лучшие и более дешевые возможности для достижения их целей, чем существующая дорогая система сокрытия доходов путем сделок по бартеру и использования системы задолженностей. Сила конкуренции начнет подталкивать все большее число постгосударственных предприятий к применению подобных схем раздела продукции во взаимоотношениях с правительством. Порочный круг будет заменен кругом взаимной выгоды.

Заметим, что описанная здесь схема соответствует общей установке, которой мы пользуемся для предложения новыхмоделей экономической политики. Новая система не должна вводиться в качестве обязательной замены старой. Скорее различные формы отношений между правительством и нефте- и газодобывающими компаниями будут некоторое время сосуществовать, и сила конкуренции определит, какие из них в конце концов станут доминировать. Процесс переговоров между правительством и каждой индивидуальной фирмой, который предполагается в случае налогообложения по принципу раздела продукции, может выглядеть не особенно привлекательным с традиционной точки зрения. Однако мы должны здесь снова подчеркнуть, что такой тип заключения договоров уже глубоко укоренился в российской экономике (фактически он укоренился, как минимум, за последние десятилетия плановой экономики, о чем говорилось в главе 3). Наше предложение заключается в том, чтобы сделать процесс заключения сделок явным, допуская открытые эксперименты с различными его формами. Очень важно при этом, что результаты каждого эксперимента и с точки зрения экономической эффективности, и с точки зрения величины доходов правительства станут достоянием общественности.

К сожалению, результаты начальной фазы осуществления первых крупных проектов, подпадающих под действие закона СРП, оказались неоднозначны, по крайней мере с точки зрения нашего исследования. Поставки оборудования ведут в основном по-прежнему иностранные фирмы. Более того, часто приглашаются даже иностранные строители. Похоже, что доходы российской экономики до сих пор ограничиваются единовременными выплатами федеральному и региональным правительствам, используемыми для финансирования текущих затрат, таких, как выплата пенсий и зарплат государственным служащим.

Такая ситуация лишний раз свидетельствует о том, как трудно заставить работать даже хороший закон в условиях российской экономики, все еще в целом враждебно настроенной к конкурентоспособной производственной деятельности и все еще ориентированной на получение рентных доходов. Как мы уже неоднократно подчеркивали, только более или менее согласованное принятие всего комплекса мер, нацеленных на изменение стимулов на различных уровнях российской экономики, может привести к благоприятным результатам в каждой отдельной области. А когда вся экономическая среда начнет меняться, федеральному правительству, возможно, потребуется более активно вмешиваться, в том числе в поставки на местах (с указанием доли отечественных фирм в поставке инструментов, оборудования и т.д.) по соглашениям СРП, а также использовать свои собственные модели развития, которые мы обсудим ниже, для содействия реконструкции и технологическому обновлению тех российских производственных предприятий, которые могут обеспечить такие поставки. В любом случае важно, чтобы Россия не распродавала свои минеральные богатства, просто чтобы покрыть дефицит бюджета, как это сейчас происходит на практике. Средства, полученные от нефти и газа, должны использоваться для создания новых конкурентоспособных производственных предприятий на международном рынке и формирования основы для развития новых отраслей в российской обрабатывающей промышленности.

В числе других отраслей, которые могут сыграть важную роль на начальном этапе промышленной политики, мы выделили строительную, текстильную, деревообрабатывающую промышленность и мебельное производство, а также (в долгосрочном плане) автомобильную и авиационную промышленность (см. Президентскую программу Явлинского [113], где приводится более подробное описание). Естественно, этот список будет подлежать тщательному пересмотру по мере изменения условий внутри и вне российской экономики. Важно, однако, что правительство может сделать больше, даже при современных ограниченных средствах, для создания стимулов реорганизации и промышленного роста.

Система налогообложения и ожидаемые результаты

Мы придаем особое значение применению СРП в энергетике, поскольку считаем, что с некоторыми изменениями схема налогообложения по принципу раздела продукции может быть использована в намного более широком контексте, вплоть до взимания налогов с местных предприятий местными органами власти. Ключевой момент применительно к стимулам состоит в том, что фирмы, с которых взимаются налоги согласно этой схеме, получают полное право распоряжаться всей прибылью, остающейся после того, как они исполнили все свои обязательства по СРП, и могут не беспокоиться о необходимости скрывать свои продажи и прибыли. Игра в прятки между предприятиями и государственными органами, происходящая в настоящее время, является главной причиной не только проблем с бюджетом, но также очень высоких затрат на осуществление сделок и сегментации рынка. Изменение метода налогообложения со взимания налогов с потоков чистой прибыли на налогообложение по принципу раздела продукции (которое можно еще больше упростить до единовременного налога в виде разового платежа) намного упростит правила игры как для налоговых органов, так и для предприятий, что приведет к повышению собираемости налогов, а также к снижению издержек на осуществление сделок и уменьшению возможностей параллельной экономики. Конкуренция между местными и региональными органами за привлечение новых инвестиций должна ограничить долю, причитающуюся государственному сектору, до разумного и взаимно допустимого уровня (подробнее об этом см. в главе 11)154.

В духе нашего общего подхода налогообложение по принципу СРП не следует вводить как обязательную единовременную реформу. Существующую систему налогов на прибыль и налогов с продаж можно оставить без изменений и только дополнить необязательной системой фиксированных рентных платежей (за лицензию на деятельность). Фирмы, желающие перейти на новую систему, будут вести переговоры с властями о величине своих налогов, взяв за основу, например, средний размер налогов, действительно уплаченных в течение последних лет. Естественно, правительство должно быть в состоянии настоять при этих переговорах на своих условиях, если оно посчитает недостаточной сумму, предложенную фирмой (либо в том случае, если фирма несколько лет не платила налогов). Если не будет достигнуто согласия, стороны расходятся, и существующая система уплаты налогов остается в силе. Если согласие достигается, руководство фирмы получит абсолютное право свободно распоряжаться любыми доходами, в то время как правительство будет иметь гарантированный приток средств в бюджет (согласие может включать в себя положение о том, что плата за лицензию на деятельность будет увеличиваться каждый год на несколько процентов сверх уровня инфляции, что снимет необходимость пересматривать условия каждый год).

Ключевая особенность такой схемы в том, что она должна быть более привлекательной, чем существующая система налогообложения, как для правительства, так и для предприятий. Предлагаемая новая схема имеет только внешнее сходство с современной системой избирательного преференциального режима, используемого российским правительством, который сводится к произвольному предоставлению налоговых и таможенных льгот, а также иных льгот отдельным фирмам и организациям, в то время как сама система налогообложения остается прежней. Результатом этого стала повсеместная коррупция и расточительство ресурсов для поиска рентной прибыли без всяких положительных результатов, которые предполагает наша модель. Причина этого в том, что освобождение от налогов и таможенных пошлин происходит по формальным основаниям, таким, как «тяжелое финансовое положение», «особо большая социальная роль» и т.д. На практике фирмы, на которые распространяется такой предпочтительный режим, могут не иметь никаких финансовых затруднений, но, конечно, не могут придать огласке свое материальное благополучие из-за боязни общественного протеста. Поэтому соглашения заключаются путем закулисных переговоров между инсайдерами и правительством.

В нашей модели, наоборот, установление фиксированной платы за лицензию на деятельность совершенно не связано с (официальным) финансовым положением фирмы, поэтому у тех фирм, которые приходят к соглашению с правительством по поводу величины фиксированных сумм к оплате, не будет стимула скрывать свои доходы, применять сложные методы перевода средств через подставные компании и прибегать к другим подобным мерам, что, весьма вероятно, в итоге приведет к снижению частных, а также общественных затрат на осуществление сделок и, наконец, к повышению доходов правительственного бюджета. Верно, что даже в этом случае процесс переговоров повлечет расточение некоторой части ресурсов на получение рентной прибыли, но можно ожидать, что полезность для общества в целом, будет больше155. Возможное дробление и/или слияние фирм в процессе реструктуризации не создаст сложностей, поскольку можно легко поставить условие, что компании-преемники должны вносить фиксированную плату за лицензию на деятельность пропорционально разделу основных средств прекратившего свое существование постгосударственного предприятия, либо, что холдинговая компания, приобретающая постгосударственное предприятие, также принимает на себя обязательства по оплате лицензии на его деятельность. Кроме того, так как созданные новые фирмы будут иметь возможность выбора между различными системами налогообложения, можно уделить особое внимание стимулированию вложения капитала в оборудование, чтобы достигнуть конкурентоспособности на международном рынке (инвестиции в основной капитал нового типа рассматриваются в главе 6).

Как показано в предшествующем анализе, не только текущие доходы, но также и субъективные ожидания на будущее играют существенную роль в принятии решения посткоммунистическими производителями о сроках переориентации с параллельной экономики на конкурентные рынки. Принимая это во внимание, нельзя пренебрегать ни одной мерой, способной укрепить уверенность в будущем, как бы ни были малы немедленные результаты.

Правительство должно принять на себя обязательство проводить реалистичную и заслуживающую доверия долгосрочную политику, в которой каждая отрасль будет знать свое место в списке приоритетов. Уменьшение неопределенности само по себе будет содействовать реструктуризации, уменьшая влияние опционных издержек.

Правительство должно также прилагать усилия к началуоткрытого и публичного диалога с предпринимателями; в частности, оно должно создать производственные советы с участием ведущих бизнесменов, представителей правительства и известных ученых, которые должны добиваться взаимного согласия по решениям, впоследствии осуществляемым в экономической политике.

Финансирование долгосрочного роста

Как мы видели (см. главы 4 и 7), современная российская банковская система и финансовые рынки не выполняют ту функцию, которую они обычно выполняют в рыночной экономике, — функцию направления личных сбережений граждан на реальные инвестиции. Российские рынки капитала столь же сегментированы и ориентированы на инсайдеров, как и вся экономическая структура в целом. Поэтому они не могут дать экономике эффективный механизм распределения рисков. Каждый инвестор вынужден идти на значительный риск при участии в ограниченном числе проектов, неизбежным следствием чего является реализация только краткосрочных проектов, перспективность которых можно сравнительно легко оценить. Такие проекты в большинстве случаев сводятся к операциям с государственными долгосрочными облигациями или к финансированию внешней торговли и операций по обмену иностранной валюты. На протяжении всего периода перехода к рыночной экономике долгосрочные кредиты нефинансовому сектору едва составляли 3 — 4 % от всех кредитов, предоставленных коммерческими банками.

Предлагаемые нами меры по проведению финансовой политики не требуют каких-либо немедленных изменений в существующем банковском секторе и на рынках капитала. В частности, они не предполагают какого-либо ограничения финансовых операций, в настоящее время производимых российскими банками и/или финансовыми спекулянтами. Вместо этого они нацелены на создание потоков новых денежных средств через новообразованные конкурирующие финансовые институты. Эти институты будут направлять деньги на долгосрочные инвестиционные проекты, в достаточной степени защищенные от рисков и рентабельные в долгосрочном плане. Если новые инвестиционные проекты окажутся достаточно выгодными, существующие денежные потоки будут также привлечены в новую систему и отвлечены от неэффективных краткосрочных операций156.

Наше главное предложение (см. подробности в Президентской программе Явлинского [113]) состоит из двух частей. Первая часть позволит создать новые накопления почти полностью «из воздуха». Вторая часть предусматривает инвестирование этих новых накоплений в долгосрочное развитие и защиту экономики от возможных последствий инфляции.

В первой части (которая описана в следующей главе) мы предлагаем организовать новый Государственный страховой фонд (ГСФ), в который сначала будут вкладывать деньги не сами субъекты экономики, а государство в интересах и от имени тех своих служащих, которые подпадают под специальную схему стимулирования для повышения их заинтересованности. Деньги будут заниматься в Центральном банке в соответствии со специальным законодательством и замораживаться на счетах фонда по меньшей мере на десять лет (таким образом, рост требований Центрального банка к правительству не приведет к немедленным инфляционным последствиям).

Активы ГСФ будут преимущественно состоять из долгосрочного кредита другому новому финансовому учреждению, которое будет содержаться за счет государства, — Государственному банку развития (ГБР). Этот новый банк, по крайней мере первоначально, принадлежащий на сто процентов правительству, будет выполнять в качестве единственной функции задачу инвестирования в долгосрочное развитие российской обрабатывающей промышленности. Инвестиционные планы будут ежегодно обновляться вместе с изменением приоритетов правительства в промышленной политике. Например, если первоначальным приоритетом в промышленной политике будет переоснащение предприятий, поставляющих оборудование зарубежным инвесторам в соответствии с соглашениями о разделе продукции, это переоснащение должно стать приоритетным направлением для кредитов, выдаваемых банком развития под различные проекты.

Важно, чтобы начальный инвестиционный капитал финансировался за счет новых денежных потоков, чтобы банку развития не приходилось конкурировать с другими сберегательными учреждениями и с самого начала платить исключительно высокие процентные ставки. В идеале банк развития, по крайней мере первоначально, вообще не должен зависеть от величины краткосрочных процентных ставок на российском финансовом рынке.

Основное различие между этой схемой и прямым финансированием из государственного бюджета (или предоставлением государственных субсидий на реструктуризацию) состоит в независимости банка развития. Когда финансирование предположительного проекта реструктуризации осуществляется непосредственно из государственного бюджета, критерии, определяющие выбор проектов, часто неоднозначны, и на практике многое определяется лоббистской деятельностью. Кроме того, не существует правительственного органа, который мог бы осуществлять эффективный последующий надзор и контроль за тем, как расходуются выделенные средства, вследствие чего деньги часто идут не на финансирование реструктуризации, а расходуются на совершенно другие цели. Когда ведущую роль будет играть Государственный банк развития, эти критерии будут унифицированы и качество контроля намного повысится. Конечно, чтобы этого достичь, для наблюдения за выполнением каждого проекта, осуществляемого банком, необходимо подобрать группу высококвалифицированных и честных профессионалов и пригласить иностранных экспертов, особенно имеющих опыт работы в подобных правительственных и квазиправительственных учреждениях, причем, возможно, не только в качестве консультантов, но также и в качестве исполнительных должностных лиц. Возглавлять банк должен один из самых талантливых профессионалов, и его положение должно быть гарантировано не ниже, чем положение председателя Центрального банка. Учетная политика должна с самого начала соответствовать не российским, а международным стандартам, а для аудиторских проверок следует привлекать аудиторов с хорошей репутацией.

Опять-таки, рассматривая банк развития не как отдельную меру, а в сочетании с другими предлагаемыми изменениями в экономической политике, мы считаем, что он может сыграть чрезвычайно важную роль в начале и в продолжении реструктуризации промышленности. Более того, с успехом каждого проекта положение ГБР на финансовом рынке будет усиливаться, что позволит осуществить различные смешанные инвестиционные проекты, в которых одна часть средств поступит из ГБР, а другая — из частных финансовых институтов. Поэтому можно ожидать, что ГБР ускорит переориентацию частной банковской системы в России с нынешней роли источника краткосрочного инвестирования на естественную роль финансирования промышленного развития и экономического роста.

Более 800 000 книг и аудиокниг! 📚

Получи 2 месяца Литрес Подписки в подарок и наслаждайся неограниченным чтением

ПОЛУЧИТЬ ПОДАРОК