Глава 5 Поведение производителя в условиях переходного периода

Если институциональная система делает перераспределение дохода (пиратство) самым предпочитаемым (наиболее прибыльным) видом хозяйственной деятельности, то мы можем ожидать развития события, весьма отличного... от того, которое воспоследовало бы в результате... экономической мотивации, увеличивающей эффективность производства. Стимулы, встроенные в институциональную основу, играют решающую роль в формировании тех навыков и знаний, которые дают отдачу.

(Дуглас Порт. Институты, институциональные перемены и экономическая деятельность)

Вводные замечания

Как было показано в предыдущей главе, параллельная экономика продолжает процветать в России, несмотря на либерализацию официальной экономики страны. Невозможно (и безответственно) как с теоретической, так и с практической точки зрения игнорировать это явление как «временные трудности» на в общем-то правильном пути реформ. Приверженцы традиционных воззрений отмахиваются от очень серьезных проблем в производственной сфере, которые испытывает переходная экономика, и в целом рассматривают продолжающийся процесс экономической агонии как «созидательное разрушение», в ходе которого экономика постепенно придет к решению проблемы рыночного спроса и эффективности.

Логика нашего анализа, который будет раскрыт далее натеоретической модели, построенной в этой и следующей главах, показывает, что продолжающееся разрушение далеко не «созидательно». Достаточно тревожным выводом из этой логики является то, что в будущем Россию ожидают очень трудные времена. Теоретический анализ, предпринятый нами в последующих двух главах, сосредоточен на вопросе экономической мотивации производителя в условиях переходной экономики в России. Сформулировав основные характерные черты этой мотивации, мы сможем в заключительной части книги сделать некоторые предложения в отношении политики, которая могла бы остановить разрушительный процесс, пока он не зашел слишком далеко.

Логическим исходным пунктом для нашего анализа является модель поведения производителя на поздних стадиях плановой экономики, представленная в главах 2 и 3. Задача состоит в том, чтобы представить то, что можно описать как микроосновы переходной экономики, тем самым создав основу для обсуждения групп влияния и олигархической власти, а также схем стимулов для положительного переходного плана, который обсуждается в части III.

Одним из ключевых вопросов для нашего анализа является идентификация проблем, проистекающих из существующей ныне структуры собственности крупных бывших государственных предприятий, — в нашей терминологии постгосударственных предприятий, — которые по нынешнее время определяют лицо российской экономики (см. предыдущую главу, где обсуждаются результаты приватизационной программы).

Вслед за Гроссманом и Хартом [51] мы определяем собственность как «возможность осуществлять контроль» над активами, а это подразумевает то, что «владелец актива сохраняет остаточные права контроля над этим активом, то есть право контролировать все аспекты, которые не были исчерпывающе отчуждены по контракту» (с. 695). Или, как в дальнейшем было конкретизировано Хартом и Муром [52], владение активом означает «право отчуждения других лиц от использования данного актива» (с. 1121).

Как мы указывали в предыдущей главе, собственность, определяемая как возможность осуществления контроля над активами в переходной российской экономике, в настоящее время несомненно находится в руках инсайдеров, то есть, по нашему определению, любых лиц (вне зависимости от того, являются ли они формально работниками постгосударственного предприятия или нет), имеющих доступ не только к доходам от официальных продаж, но и к возможности участия в злоупотреблениях, поисках источников дотационных доходов и в другой деятельности, осуществляемой в рамках параллельной экономики. В условиях прочных институциональных тупиков, препятствующих немедленной передаче прав собственности аутсайдерам (не просто формальной, а действительной), мы вправе построить модель, основанную на стимулах, которыми руководствуются нынешние инсайдеры, являющиеся собственниками де-факто104. Подобная исходная точка позволяет нам с нетрадиционного угла зрения взглянуть на главный вопрос: что мешает постгосударственным предприятиям перейти к обычному рыночному поведению, которое предусматривалось традиционным подходом к переходному периоду? Безусловно, полный ответ на этот вопрос должен включать различные факторы, находящиеся за пределами рассмотрения в настоящей главе, такие, например, как макроэкономическую среду, степень открытости экономики и, что самое важное, промышленную структуру. Тем не менее основной довод можно сформулировать следующим образом.

Начнем с того, что тот самый главный вопрос часто формулируется в изначально неправильной форме, что приводит к заведомо неверному ответу. Вопрос часто формулируют следующим образом: что препятствует руководству бывших государственных предприятий принять в качестве мотивировки своей деятельности стремление к максимизации прибыли? Именно вокруг и около этого вопроса пытаются затем найти ответ, объясняя отсутствие такого стремления, например, инерцией, недостаточным пониманием основных принципов рыночной экономики, слабой защищенностью прав собственности, укоренившейся практикой поиска рентно-дотационных доходов и так далее. Несомненно, это важные факторы. Однако, на наш взгляд, фундаментальная причина является иной. В частности, не составляет труда научить бывших «красных директоров» тому, что понимается под рынком, под прибылью и так далее. В основе подлинных микрооснов переходной экономики лежит не создание стимулов владельцам-инсайдерам для поиска прибыли (этого, видимо, можно было бы добиться за счет либерализации цен и приватизации), но создание стимулов для отказа от поиска прибыли от деятельности (злоупотреблений) в параллельной экономике и перехода к поиску прибыли на конкурентных рынках.

Модель, представленная нами в главе 3, ясно демонстрирует, что поиск прибыли в параллельной экономике с целью максимизации частной выгоды состоял из усилий приобрести как можно больше производительных ресурсов (средств производства), предоставляемых государством (планирующими органами) (дотационные доходы), а также сохранить эти средства производства (отказ от инвестирования в официальное производство) и перенаправить их в параллельную экономику (злоупотребления). Подобное поведение государственных предприятий на поздних стадиях плановой экономики в известной мере можно интерпретировать как видоизмененную форму поведения, направленного на максимизацию прибыли, но не на официальном рынке готовой продукции, а на рынке перепродажи производственных ресурсов. В этой главе мы обсудим последствия продолжения такого поведения на стадии перехода к рыночной экономике, а в следующей главе обсудим проблему перехода на конкурентные рынки. В частности, в следующей главе мы увидим, что одна из основных причин сохранения изжившей себя старой системы лежит в институциональной непрерывности развития и, более конкретно в данном случае, в ценности, которую приобретает возможность отложить инвестиционное решение на более поздний срок в условиях сильной неопределенности (этот эффект известен в литературе как ценность возможности, опциона)105.

Модель злоупотреблений

Рассмотрим постгосударственное предприятие, преобразованное в акционерное общество и действующее в условиях переходной экономики. У постгосударственного предприятия имеется определенный основной капитал старого советского типа, унаследованный от плановой экономики. В нашей модели амортизационные отчисления включены в затраты на выпуск официальной продукции, так что величина основного капитала старого типа, назовем ее X, которым владеет постгосударственное предприятие, остается неизменной во времени106. Запишем производственную функцию нашего предприятия по выпуску продукции официального назначения в виде следующего уравнения:

y = f(I), f'(I)>0, f''(I)<0 (5.1)

для приемлемого диапазона I, где у является количеством конечной продукции, а I представляет инвестирование капитала (для данных величин других ресурсов, особенно занятой рабочей силы). Очевидно, что I ? X.

Среда, в которой функционирует данная базовая модель, характеризуется отсутствием рынков капитала и страхования рисков. Позднее мы обсудим возможность привлечения некоторых денежных средств у внешних инвесторов. Постгосударственное предприятие не получает субсидий, и мы не рассматриваем в данном случае извлечение рентно-дотационных доходов (их мы также обсудим позднее). Таким образом, постгосударственное предприятие в нашей базовой модели начинает свою деятельность при фиксированной величине капитала и в условиях жесткого бюджетного ограничения.

Тем не менее для де-факто владельцев постгосударственного предприятия (руководства предприятия и экономических субъектов, окружающих его) по-прежнему сохраняется возможность отвлечь часть основного капитала в параллельную экономику, точно так же, как они делали это в условиях плановой экономики. Более того, учитывая, что от планирующих органов нет никакого плана выпуска продукции для постгосударственного предприятия и что до настоящего времени не существует закона, защищающего права акционеров, подобное отвлечение капитала совсем необязательно является экономическим преступлением. Тем не менее мы классифицируем здесь такие действия как злоупотребление, исходя из того, что они считались бы таковыми в условиях нормальной рыночной экономики, и из того, каковыми они на самом деле считаются и в российском случае, хотя бы уже потому, что связаны с уклонением от уплаты налогов. Если выгода, извлекаемая инсайдерами с каждого рубля, заработанного путем злоупотреблений, может быть прямо выражена в денежном отношении, то доходы, получаемые инсайдерами от злоупотреблений, могут быть выражены следующим образом:

р(Х-1) ? pq, (5.2)

где q снова является величиной ресурсов, отвлекаемых на параллельный рынок, а р является ценой, по которой капитал (старого типа) обращается в параллельной экономике (цена официально выпускаемой продукции у повсюду принимается равной 1, то есть у используется в качестве масштаба цен)107.

Мы также исходим из того, что операции, проводимые в параллельной экономике, влекут за собой определенные расходы. Их следует понимать как расходы на осуществление сделок, включая выплаты мафиозным группам, которые контролируют данный конкретный сегмент параллельной экономики (или расходы на содержание собственной группы силовой охраны постгосударственного предприятия), подкуп государственных должностных лиц, учреждение различных подставных фирм и открытие «туннельных» счетов и т.д.108 В базовой модели мы определяем эти расходы как c(q), где c'(q)> 0 и c"(q)>0. Проблема, с которой сталкиваются владельцы-инсайдеры постгосударственных предприятий, таким образом, может быть сформулирована следующим образом:

max ?(1 — t)[f(I) — C] + pq — c(q), I+q = X и f(I) ? С. (5.3)

С отражает постоянные затраты на поддержание деятельности предприятия. Как упоминалось выше, эти затраты включают отчисления на амортизацию. Даже в отсутствие любого регулирования, владельцы-инсайдеры вынуждены нести затраты на поддержание в рабочем состоянии и хотя бы частичное обновление оборудования, если они хотят и в будущем пользоваться благами, которые они получают в качестве фактических собственников предприятия109. Другие элементы С включают затраты на электричество, газ, воду, уплату налогов, выплату заработной платы рабочим, которые не являются членами команды инсайдеров, вовлеченных в злоупотребления, и т.п. Таким образом, мы исходим в своей базовой модели из того, что для инсайдеров не является приемлемым (или возможным) вариант ободрать постгосударственное предприятие до нитки за ночь и сбежать с выручкой. Если владельцы-инсайдеры хотят сохранить контроль над предприятием и продолжать получать доходы от нелегальной (теневой) деятельности на протяжении какого-то периода времени, постоянные затраты С должны покрываться в течение всего этого периода. Так как в данной базовой модели мы не учитываем стремление к получению рентно-дотационных доходов, постоянные затраты должны покрываться за счет продаж официальной продукции, что объясняет нижний предел, наложенный в приведенных выше формулах на I110. ? ? 1 являетсясоотношением, в котором чистая прибыль от продажи продукции официального производства постгосударственного предприятия распределяется между инсайдерами, контролирующими его, a t !!! 1 является ставкой налогообложения.

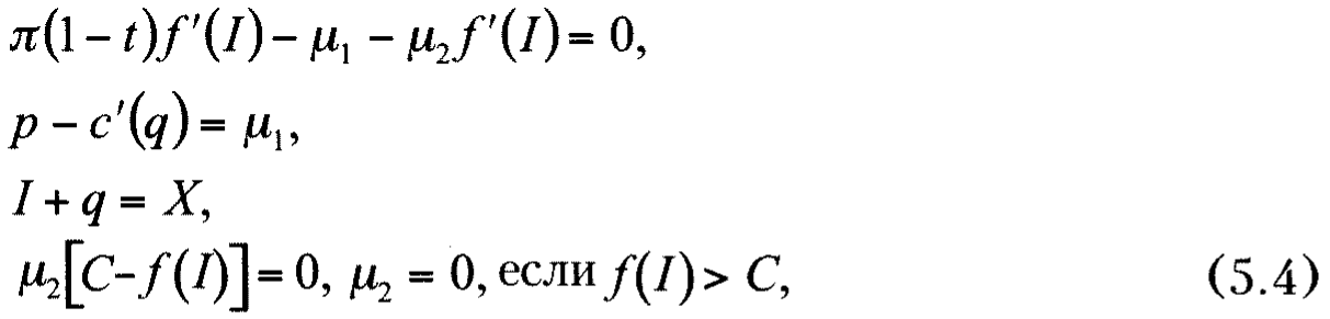
Необходимые (и достаточные в нашей простой модели) условия для максимизации (5.3) могут быть выражены следующим образом:

где µ1 и µ2 являются множителями Лагранжа, связанными с двумя ограничениями задачи на максимизацию (5.3). Представим на мгновение, что второе ограничение не является эффективным при оптимальном выборе (то есть, µ2= 0). Тогда из (5.4) мы получаем:

Уравнение (5.5) выражает условие оптимального распределения основного капитала старого типа между выпуском официальной продукции и злоупотреблениями. Графически условие, подразумеваемое уравнением (5.5), представлено на рисунке 12.

Длина горизонтальной оси на рисунке 12 соответствует всей величине основного капитала (старого типа), которым владеет постгосударственное предприятие (X). Эта величина делится между I* и q* в соответствии с условием, определенным уравнением (5.5) (абсолютное значение наклона касательной линии к f(I) равно абсолютному значению наклона касательной линии к [pq c(q)]/?(1 — t) в оптимальной точке). На распределение влияют форма производственной функции, цена основного капитала в параллельной экономике, стоимость осуществления сделок в параллельной экономике и доля инсайдеров в прибылях, полученных от продажи продукции, а также налоговая ставка.

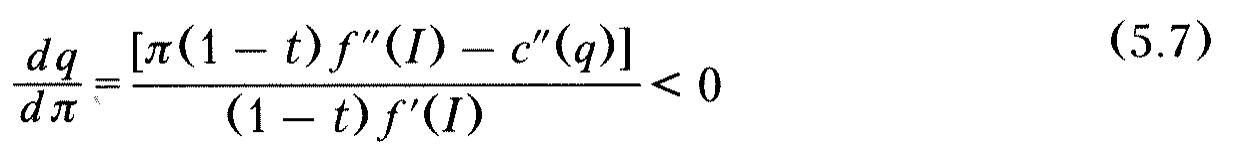
Более конкретно предельные свойства оптимального распределения могут быть получены полным дифференцированием уравнения (5.5). Производя дифференцирование и учитывая, что dI + dq = 0 в силу бюджетного ограничения, после преобразования мы получаем:

что подразумевает

Рисунок 12. Дихотомия в поведении постгосударственных предприятий: I — капиталовложения; q — величина основного капитала, отвлекаемого в параллельную экономику; у — объем конечной продукции; С — затраты (постоянные) на ведение официальной деятельности; с (q) — затраты на ведение деятельности на параллельном рынке; f(I) — функция производства; pq — доходы от параллельного рынка; ? — доля инсайдеров в официальных доходах; t — ставка налогообложения.

и

Таким образом, рост р или t, равно как и уменьшение ? будут увеличивать степень злоупотреблений и уменьшать величину основного капитала, инвестируемого в производство официальной продукции. Интересно также отметить, что по причине того, что деятельность на параллельном рынке трудно наблюдать извне, у стороннего наблюдателя может возникнуть впечатление, что на предприятии существуют значительные избыточные мощности (равные всей длине горизонтального отрезка q* на рисунке 12) и что «красные директора» не понимают, что минимизация затрат является основой рыночной экономики.

Наша модель показывает, что прежде чем спешить с подобного рода выводами, необходимо внимательнее присмотреться к постгосударственному предприятию, чтобы определить, имеем ли мы дело с непредумышленной неэффективностью, проистекающей от незнания основополагающих принципов рыночной экономики, или внешняя видимость неэффективности просто служит ширмой, за которой скрываются злоупотребления. Мы вернемся к этой проблеме в следующей главе, где рассмотрим вопрос об инвестиционных решениях, необходимых для перехода на выпуск продукции для конкурентных рынков.

Существует еще один случай, который следует рассмотреть, случай, при котором второй ограничитель в максимизационной задаче (5.3) является эффективным в точке максимума. В этом случае I* просто вычисляется из этого ограничения, и мы получаем:

I* = IС = f-1(С) (5.9)

а вместо уравнения (5.5) мы получаем:

f'(Ic)<[p-c'(q)]/?(1 — t) (5.5а)

Очевидно, что в данном случае незначительные изменения в форме f или с или в параметрах р, t и ? не влияют на распределение основного капитала между выпуском официальной продукции и злоупотреблениями. Мы можем полагать, что условие (5.9) в особой степени относится к большим постгосударственным предприятиям, которые несут большие постоянные затраты на социальную инфраструктуру (жилищное хозяйство, медицинское обслуживание и дома отдыха для сотрудников). Для таких больших постгосударственных предприятий увеличение доли прибыли инсайдеров и/или уменьшение ставки налогообложения не воздействует на масштабы их официальной деятельности, но просто увеличивает долю основного капитала, отвлекаемого в параллельную экономику.

Еще раз о параллельной экономике: некоторые вариации на тему базовой модели

Наша модель распада плановой экономики (глава 3) описала процесс, в ходе которого коммунистические власти в попытке сдержать рост издержек планирования перешли от установления конкретных технологических плановых заданий для государственных предприятий к «планированию от достигнутого уровня» и смягчили жесткую систему контроля. В результате этой реформы государственные предприятия получили возможность аккумулировать собственные экономические ресурсы и стали средоточием для разрозненных «окрестностей» (сегментов параллельной экономики), окружавших их (см. главу 2). Рассмотрим более подробно природу сегментации параллельной экономики с несколько модифицированной функцией затрат по сравнению с описанной выше. А именно мы преобразуем функцию затрат с (q) из нашей базовой модели в форму ступенчатой функции:

c(q) = с* для q ? [0,qb] и c(q) = с* + М для q > qb, (5.10)

где qb является некоторой положительной шкалой измерения масштаба злоупотреблений, а М является «большим» числом в смысле, который будет точно определен ниже.

Данный тип функции затрат удобен для формального представления ситуации, при которой параллельная экономика, унаследованная от прежнего режима, состоит из различных сегментов. Объем основного капитала qb, отвлекаемого из официального производства, следует истолковывать как максимальную величину q, которая может «утечь» через непосредственных «соседей» данного постгосударственного предприятия111. Постоянные затраты с* включают затраты на создание собственной сети продаж, выплаты мафиозной группе, осуществляющей защиту «прав собственности» инсайдеров, и так далее. На практике мы можем исходить из того, что для большинства постгосударственных предприятий эти затраты уже были осуществлены в процессе распада плановой экономики (см. обсуждение вопроса об «окрестностях» в главе 2). Однако если постгосударственное предприятие желает распространить сферу своей нелегальной хозяйственной деятельности на другой сегмент («окрестность», окружающую другое постгосударственное предприятие), ему придется не только заплатить новую плату с «за вход» (расширить свою собственную сеть продаж и мафиозную группу), но и подкупить мафиозную группировку, осуществляющую контроль над данным сегментом, чтобы она перестала осуществлять покровительство конкурирующему предприятию. Последняя из указанных затрат будет настолько велика, насколько велика общая сумма доходов, извлекаемых конкурирующим предприятием из собственной нелегальной деятельности (злоупотреблений) p'qb', где р' является ценой основного капитала конкурирующего постгосударственного предприятия, которым оно распоряжается в своем сегменте параллельной экономики, a qb' отражает масштабы злоупотреблений. Именно это особенно повышает стоимость компонента М в затратах на расширение деятельности за пределы qb.

Нет сомнения в том, что порой за контроль над тем или иным сегментом параллельной экономики идут яростные сражения. Войны между мафиозными группами, о которыхмного пишут и в российской, и в западной прессе, ведутся в основном именно по этой причине. Важно то, что эти войны очень дорогостоящи, и в реальной жизни, где не все участники «полностью рациональны» с точки зрения экономиста, приводят к ожесточенным схваткам и потерям человеческих жизней. С теоретической точки зрения мы можем просто предположить, что в большинстве случаев эти затраты слишком велики, чтобы оправдать их расширением злоупотреблений за пределы «естественной границы», определенной сегментацией, унаследованной от плановой экономики. Таким образом, мы получаем сегментацию параллельной экономики, почти полностью лишенную эластичности (почти полностью лишенный эластичности размер параллельного рынка, на котором могут действовать постгосударственные предприятия). В главе 10 мы сформулируем эту мысль еще раз в виде простой, но достаточно общей модели сегментации рынка, в которой будет окончательно обоснована оправданность предположения о том, что каждое постгосударственное предприятие имеет ограничения в размерах сектора параллельной экономики, в котором оно может действовать. В данной главе мы просим читателя просто принять это наше предположение в качестве аксиоматического.

Форма ступенчатой функции предпочтительна для функции затрат также и по следующим причинам: как и предсказывалось в модели, приведенной нами в главе 2, каждое государственное предприятие распределяло основной капитал, предоставлявшийся планирующими органами, на определенное количество первичных ресурсов (например, рабочую силу), которыми оно располагало. Хотя общая величина этих первичных ресурсов была фиксированной, стимулы, особенно для рабочей силы, были иными на параллельном рынке по сравнению со стимулами в официальной экономике. В параллельной экономике рабочая сила мотивировалась мощными рыночными стимулами, тогда как в официальном производстве мотивацией служили слабые иерархические стимулы (см. Вильямсон [108] для общего обсуждения вопроса мощных и слабых стимулов). Таким образом, даже в тех случаях, когда официальное (плановое) производство и использование основного капитала в параллельной экономике подразумевало выпуск одной и той же продукции, предельный продукт основного капитала был вышев параллельной экономике за счет более высокой мотивации работников. В условиях менее жесткого режима планирования такие государственные предприятия уводили в параллельную экономику весь основной капитал, который они могли увести без риска быть замеченными, и перераспределяли рабочую силу в параллельной экономике до того уровня, когда предельный продукт капитала достигал величины предельного продукта в официальном производстве. В подобных случаях использование основного капитала в параллельной экономике оказывалось намного интенсивнее, нежели в официальной экономике. В то же время необходимость избегать разоблачения и защищать фактические имущественные права инсайдеров также требовала множества трудоемких действий, не имевших ничего общего с собственно производством. Дополнительная рабочая сила привлекалась мощными стимулами параллельной экономики и состояла из той части населения страны, которая не желала работать только на основе слабых стимулов в официальной части экономики (эти рабочие рисковали подвергнуться преследованию за отсутствие официальной работы, так что зачастую дополнительная рабочая сила в параллельной экономике нанималась из откровенно уголовного мира, что является одной из причин, по которым защита прав собственности в такой значительной мере легла на мафию).

С наступлением переходного периода у постгосударственных предприятий исчезли многие ограничения. Теперь они имели возможность перераспределять такое количество основного капитала и рабочей силы в параллельную экономику, какое только могла поглотить их «окрестность» (их конкретный сегмент параллельного рынка). Следует, однако, отметить, что свободное размещение основного капитала с целью максимизации прибыли при наличии ограничения, вызванного размером рыночного сегмента (и/или невозможностью получить заемные средства от внешних инвесторов), может оказаться социально неэффективным в силу одного фактора наличия этого ограничения и независимо ни от каких дополнительных общественных издержек. Как указывал Тал-лок [106, с. 68], предприниматель, выбирающий между различными проектами и имеющий ограниченный капитал, примет рациональное решение о максимизации процентного дохода на капитал, а не об абсолютной прибыли. Коммунистические власти в условиях плановой экономики были заняты максимизацией процентного дохода на весь основной капитал, которым они владели, что приводило к рождению слишком большого количества новых проектов и инвестициям в основной капитал по каждому из них, недостаточным для надлежащей максимизации абсолютных доходов. Подобная неэффективность плановой экономики была повторена в каждом сегменте параллельной экономики, которая столкнулась с ограничением по капиталу в «окрестностях» государственных предприятий (мы можем представить себе каждую группу инсайдеров как минипланирующий орган власти в границах их «окрестности»). В условиях переходного периода сегменты параллельной экономики по-прежнему сталкиваются с ограничениями по капиталу и в своей основной массе выбирают слишком большое количество малых проектов и недостаточно финансируют каждый из них. Это приводит к искажению в оценке первичных ресурсов (труда) в параллельной экономике, снижению уровня заработной платы по сравнению с оплатой труда на конкурентном рынке и росту рентных доходов инсайдеров — владельцев основного капитала. Ввиду этого строго сформулировать задачу максимизации прибыли в параллельной экономике в рамках базовой модели достаточно трудно. Использование ступенчатой функции позволяет нам обойти эту проблему.

Когда функция затрат на осуществление сделок принимает форму ступенчатой функции по определению (5.10) (когда параллельная экономика полностью сегментирована), а постоянные затраты с* уже понесены в прошлом, то проблема максимизации (5.3) может найти очень простое решение. Для того чтобы наиболее ясно раскрыть природу этого решения, упростим базовую модель, предположив, что владельцы-инсайдеры не получают никакой прибыли от производства и продажи официальной продукции либо по той причине, что ставка налогообложения равна 100 %, либо потому, что их доля (формальная) владения в предприятии (? в базовой модели) равна нулю112. Уберем также все постоянные затраты, связанные с официальным производством, за исключением затрат, проистекающих из необходимости поддерживать в рабочем состоянии основной капитал X.

В таких условиях масштаб злоупотреблений может ограничиваться либо размерами сегмента параллельного рынка, внутри которого действуют владельцы-инсайдеры постгосударственного предприятия, либо необходимостью предотвращать развал и старение основного капитала X (последнее соображение будет превалировать у инсайдеров с более низкими коэффициентами дисконтирования будущих доходов). Рассмотрим каждый из этих случаев.

Если емкость параллельного рынка, на котором действует постгосударственное предприятие, достаточно мала и, таким образом, сумма, остающаяся после злоупотреблений, более чем достаточна для выделения сумм на амортизацию, то использование X будет представлено в виде:

q = qb, I = X — qb, (5.11)

как показано на рисунке 13. Следует отметить, что в этом случае продолжение выпуска официальной продукции не требует решения задачи максимизации прибыли. Владельцы-инсайдеры просто никоим образом не заинтересованы в официальной деятельности постгосударственного предприятия (до тех пор, пока отчисляются суммы на амортизацию). В частности, они могут легко мириться с долгами поставщиков и с различными другими примерами неэффективности, которой они не потерпели бы, если занимались проблемой максимизации доходов от официальных продаж.

Это очевидно, если исходить из того предположения, что все такие доходы у них эффективно изымаются. Тем не менее это наблюдение дает интересное понимание подлинного поведения постгосударственных предприятий.

Например, хорошо известно, что наиболее терпимым отношением к поставщикам-должникам отличаются постгосударственные предприятия в области добычи нефти и в области энергетической промышленности в целом. Это фирмы, которые из-за своих размеров находятся у государства под особым контролем в части сбора налогов и поэтому, вероятно, обладают наименьшей свободой в использовании доходов, получаемых от продаж на внутреннем рынке. С другой стороны, возможности злоупотреблений у этих фирм (длячего используются экспортные сделки) ограничены возможностями доступа к магистральным трубопроводам. В этом случае емкость параллельного рынка в буквальном смысле ограничена диаметром трубы, и эти фирмы отвлекают на сторону столько произведенной продукции, сколько позволяет диаметр трубопроводов, и полностью не заинтересованы в официальном производстве (если только они не могут использовать его как орудие торговли с властями). Это свидетельствует в пользу утверждения, сделанного нами ранее, о том, что внешняя видимость неэффективной деятельности, которая в данном случае включает в себя не только «избыточные» мощности, но и терпимое отношение к безделью рабочих на производстве и/или к задолженностям поставщиков, может иметь очень малое отношение к «инерции» или к непониманию преимуществ снижения затрат и повышения эффективности.

Рисунок 13. Параллельный рынок ограниченного размера: I — инвестиции в основной капитал; q — величина основного капитала, отвлеченного в параллельную экономику; у — величина конечной продукции; с* — затраты на деятельность постгосударственного предприятия в своем сегменте параллельного рынка; М — дополнительные затраты на попытки действовать в другом сегменте параллельного рынка; f(I) — производственная функция; pq — доходы от параллельного рынка.

Положение становится несколько иным в тех случаях, когда емкость параллельного рынка достаточно велика и использование ее в полном объеме будет означать злоупотребления в таком масштабе, когда не может быть обеспечено поддержание в рабочем состоянии основного капитала X. Представим очень простую модель, раскрывающую сущность проблемы в этом случае.

Мы по-прежнему не будем принимать в расчет любые доходы, поступающие инсайдерам от официального производства, но постулируем отношение динамической внешней экономии между масштабом официального производства и размером основного капитала X в будущем. Говоря более обыденным языком, поддержание основного капитала в рабочем состоянии требует не только определенных ремонтно-профилактических затрат (которые мы уже включили в фиксированные издержки в нашей модели), но и немыслимо также без какого-то минимального его использования по назначению (как, например, для поддержания «в форме» автомобиля на нем требуется периодически ездить, а не только делать профилактику). Если считать, что верхний предел на шкале злоупотреблений qb не является ограничивающим фактором, то общую идею можно описать с помощью хорошо известной модели динамической оптимизации. Мы представим здесь простой пример, в котором модель включает в себя только два периода. Этот пример иллюстрирует основные принципы принятия инсайдерами оптимизационных решений в тех случаях, когда они сталкиваются с динамической внешней экономией. Модель легко обобщается на случай произвольного количества периодов.

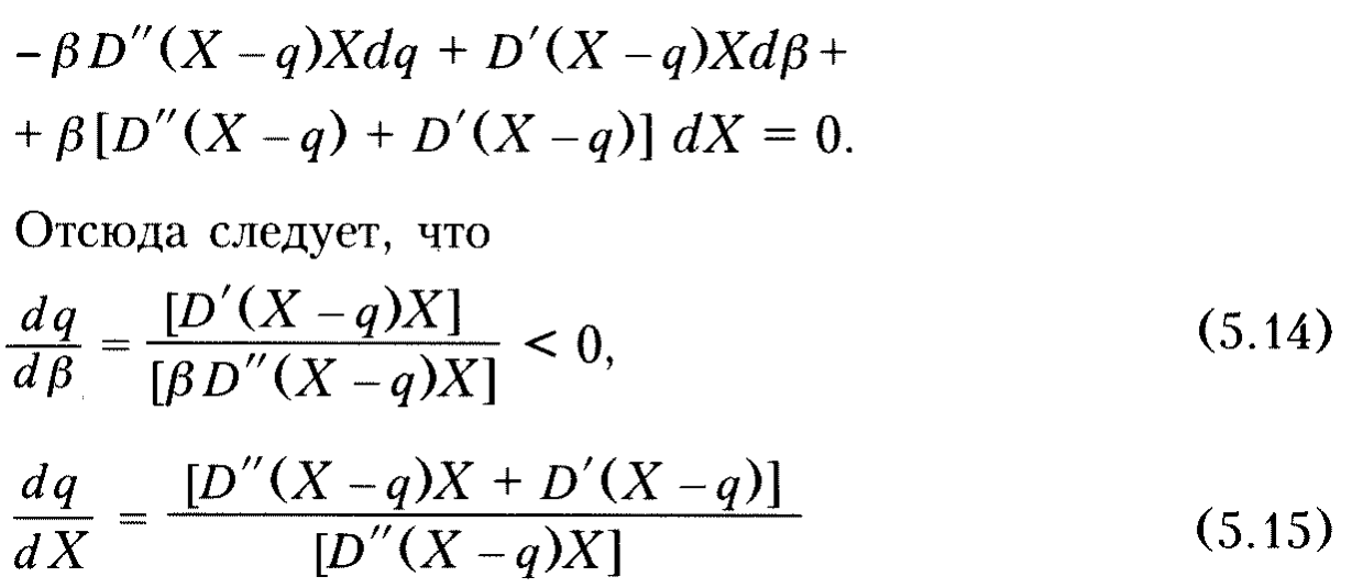
Динамическая внешняя экономия между текущими инвестициями в официальное производство I и размером основного капитала, переходящего во второй период, обозначается D(I). В частности, Х2 = D(I)X, где Х2 означает размер основного капитала во втором периоде, а I означает величину инвестиций в официальное производство в текущем периоде. Будем исходить из того, что D(0) = 0; D(I) монотонно возрастающая, дважды непрерывно дифференцируемая и вогнутая функция от I и D(I)<1 для всех значений I, меньших или равных X. Последнее свойство означает, что никакое практически осуществимое выделение основных средств в официальное производство не может увеличить основной капитал сверх первоначально унаследованного уровня X. В рассматриваемом случае, состоящем из двух периодов, весь основной капитал X будет перемещен в параллельную экономику к концу второго периода, так что оптимизационная задача может быть сформулирована следующим образом:

max pq + ?D(I)pX, при условии q + I = X, (5.12)

где ? < 1 является коэффициентом дисконтирования.

Произведя подстановку из ограничения в аргумент максимизируемой функции и записав условия первого порядка, мы получаем после преобразования уравнение:

?D'(X — q)X=1, (5.13)

из которого мы можем вычислить значения q в терминах X и !!! (см. рисунок 14). Предельные свойства решения могут быть получены путем полного дифференцирования уравнения (5.13):

с неопределенным знаком.

Свойство (5.14) означает, что более высокий дисконтный коэффициент (то есть большее предпочтение будущим доходам) будет побуждать инсайдеров отвлекать меньше основного капитала в параллельную экономику и осуществлять большие затраты капитала на официальное производство с тем, чтобы предупредить его старение и развал. Что касается свойства (5.15), то его смысл состоит в том, что больший размер первоначального капитала может иметь как положительное, так и отрицательное значение для поддержания его в рабочем состоянии, в зависимости от параметров динамической внешней экономии. Таким образом, мы не можем сделать вывод о том, что уровень злоупотреблений на больших постгосударственных предприятиях будет большим, нежели на маленьких (не принимая во внимание, как мы делаем это здесь, все иные постоянные затраты, с которыми могут сталкиваться большие постгосударственные предприятия).

Обратно пропорциональная зависимость между q и ? приводит к тому, что в тех случаях, когда у владельцев-инсайдеров имеются более широкие горизонты для планирования, они будут в большей степени склонны выделять средства основного капитала на официальное производство, даже если они не ограничены размером параллельного рынка, на котором могут действовать, и если им не надо нести никаких постоянных затрат в связи с продажей официальной продукции. Тем не менее эффективность и покрытие спроса на официальную продукцию их интересовать не будут, как и инсайдеров, действующих на параллельном рынке ограниченной емкости. Действительно, единственной целью выпуска официальной продукции в этом случае является поддержание в рабочем состоянии существующего основного капитала, так что об официальной продукции можно просто забыть сразу после того, как она произведена.

Рисунок 14. Влияние динамической внешней экономии на выбор решения относительно величины основного капитала, отвлекаемого в параллельную экономику: I — инвестиции капитала; q — величина основного капитала, отвлекаемого в параллельную экономику; у — величина конечной продукции; f(I) — производственная функция; ? — коэффициент дисконтирования; D(I) — динамическое внешнее воздействие от решений по выпуску продукции в текущем периоде до величины основного капитала следующего периода.

Когда горизонт планирования крайне ограничен (если коэффициент ? очень мал), то может оказаться, что величина X будет недостаточна для того, чтобы обеспечить равенство между сторонами уравнения (5.13). Действительно, если ?D'(0)X < 1, то весь основной капитал в текущем периоде отвлекается в параллельную экономику, и инсайдеры сбегают с полученными доходами до наступления второго периода. Из уравнения (5.13) видно, что такая вероятность больше при малых значениях X, нежели при больших, так что размеры постгосударственных предприятий в данном случае имеют определяющее значение. Владельцы больших постгосударственных предприятий с меньшей долей вероятности сбегут (для того чтобы побудить их к этому, потребуется более низкий коэффициент дисконтирования), нежели владельцы маленьких предприятий.

В предыдущей главе мы отмечали, что между работой приватизированных постгосударственных предприятий и работой предприятий, формально остающихся в собственности государства, не отмечается никакой существенной разницы. Шлейфер и Вишны [96] анализируют этот парадокс в рамках стремления к получению рентно-дотационных доходов. Согласно их модели политик может извлекать политические выгоды от увеличения рабочих мест в компании, а руководство компании может получать трансферты от Министерства финансов, удовлетворяя стремление политика увеличить количество рабочих мест. Результатом их анализа является то, что «в условиях полной коррупции распределение прав контроля и прав на поток наличности между менеджерами и политиками не влияет ни на эффективность фирмы, ни на получаемые ею трансферты. Этот результат, в частности, подразумевает, что в условиях полной коррупции ни коммерциализация, ни приватизация не играют никакой роли» (с. 997). Наша модель, представленная в настоящей главе, свидетельствует о том, что качественно такие же результаты могут быть получены даже без стремления к извлечению рентно-дотационных доходов. Это, в частности, обосновывает наше утверждение, что политика стабилизации (наложение жестких бюджетных ограничений на постгосударственные предприятия) не может быть эффективна для стимулирования реструктуризации. Возможности, предоставляемые параллельной экономикой, позволяют постгосударственным предприятиям заниматься злоупотреблениями и игнорировать реструктуризацию даже в условиях жестких бюджетных ограничений и без извлечения дотационных доходов.

Стремление к получению рентно-дотационных доходов: общие замечания

Деятельность по извлечению дотационных доходов в условиях переходной экономики принимает различные формы. Здесь мы рассмотрим только основные из них, а именно: задолженности113, лоббирование для получения государственных субсидий и займов на льготных условиях, стремление получить освобождение от уплаты таможенных платежей (будь то по импортным или экспортным сделкам) и так далее.

Из указанных форм деятельности отметим задолженность как специфическую для переходного периода форму извлечения рентно-дотационных доходов и рассмотрим ее более внимательно. Деятельность по извлечению рентно-дотационных доходов в условиях переходного периода с теоретической точки зрения означает не что иное, как стремление к сохранению мягкого бюджетного ограничения [68], которое было характерно для государственных предприятий в условиях плановой экономики. В анализе в рамках этой главы успешная деятельность по извлечению рентно-дотационных доходов означает либо покрытие части постоянных затрат за счет иных источников, нежели реализация официальной продукции, либо увеличение доходов от официального производства, приходящихся на долю инсайдеров, либо, наконец, возможность увеличения основного капитала X безо всяких затрат. Рассмотрим вкратце каждый из этих случаев.

Если извлечение рентно-дотационных доходов осуществляется путем снижения постоянных затрат постгосударственного предприятия на выпуск официальной продукции С, то наш анализ показывает, что это будет приводить к увеличению масштабов злоупотреблений всякий раз, когда действует ограничение f(I) = С. В отсутствие возможности извлечения рентно-дотационных доходов основной капитал X будет распределяться в виде X = Ic + q. Уменьшение IС автоматически приводит к росту q. Это же верно в том случае, когда постоянные затраты рассматриваются как затраты на поддержание основного капитала в рабочем состоянии. Таким образом, единовременные субсидии, освобождение от пошлин на импорт или экспорт и льготные кредиты только увеличивают масштабы злоупотреблений, не оказывая никакого влияния на объемы официального производства. Это явление, называемое иногда «черной дырой» в околонаучной журналистике, получает ясное и рациональное объяснение в нашей модели. Из нашего анализа мы также можем заключить, что большие постгосударственные предприятия либо в силу наличия у них большой социальной инфраструктуры, которую необходимо поддерживать, либо даже в отсутствие такой инфраструктуры, но в силу условия (5.13) будут проводить более агрессивную политику по извлечению рентно-дотационных доходов, нежели малые, у которых либо невелики постоянные затраты, либо слишком узкий сегмент параллельного рынка, на котором может действовать небольшое предприятие. Самое важное — это то, что, когда постгосударственное предприятие запрашивает для себя единовременную субсидию или льготные кредиты «на расширение производства», истинным мотивом практически всегда является желание расширить масштаб злоупотреблений, а не стремление к увеличению объемов официальной продукции.

В тех случаях, когда стремление к получению рентно-дотационных доходов реализуется в виде успешного получения уменьшенных налоговых ставок или субсидий, размер которых зависит от объема выпуска продукции, официальное производство, по-видимому, возрастет. Однако этот рост будет меньше при наличии возможностей для злоупотреблений, нежели в отсутствие таких возможностей, что следует из выражений (5.6) и (5.8). Таким образом, подобная политика предоставления налоговых льгот и субсидий будет иметь (внешне) в России гораздо меньший стимулирующий эффект, нежели в экономиках, где отсутствуют злоупотребления (или жестко ограничены их масштабы)114.

И наконец, в том случае, когда успех в получении рент-но-дотационных доходов дает возможность увеличить X (основной капитал старого типа, капитал советской эры), из выражений (5.4) и (5.5) следует, что это обычно приводит как к увеличению масштаба злоупотреблений, так и к увеличению официального объема производства. Конкретное распределение дополнительного основного капитала между этими двумя видами деятельности будет зависеть от конкретного вида f(I) и c(q), а также от других параметров базовой модели.

Вопрос общественных издержек, проистекающих из процесса рентно-дотационных доходов, несколько неоднозначен в нашей модели, так как общая рыночная среда отличается от среды, в которой существуют конкурентные рынки. Так, например, если успешное получение рентно-дотационных доходов позволяет постгосударственному предприятию покрывать постоянные затраты за счет трансфертов, тем самым увеличивая величину основного капитала, отвлекаемого в параллельную экономику, и в то же время уменьшать объемы производимой официальной продукции, это не всегда означает снижение уровня благосостояния. В то же время, если мы рассмотрим то, что Таллок [105] называет динамическими затратами на извлечение дотационных доходов, можно сделать более определенные выводы.

Важнейшей частью этих динамических общественных издержек в российском контексте, помимо искажений, вносимых в выбор места работы возможностью получать взятки,предоставляемой бюрократам и политикам в погоне за рентно-дотационными доходами, является то, что «выживание российских предприятий в значительной степени зависит не от их конкурентоспособности, прибыльности, финансового положения, но, скорее, от их веса в существующей политической и социальной системе... В свою очередь, этот вес зави сит от того, что и как производит предприятие и от количества занятых на нем работников» [22, с. 10]. В результате неэффективные постгосударственные предприятия могут по-прежнему выживать и принимать участие в неэффективной деятельности в рамках параллельной экономики, не сталкиваясь с задачей реструктуризации115. Значительное отрицательное воздействие этих факторов будет более подробно рассмотрено в модели перехода, представленной в следующей главе.

По сравнению с плановой экономикой, где стремление получать рентно-дотационные доходы было также широко распространено, начало перехода к рыночной экономике в некоторых случаях привело к упрощению извлечения дотационных доходов, что, в свою очередь, уменьшило динамические общественные издержки на их получение. Так, например, в советские времена получить доступ к импортным товарам стоило больших усилий. Широко известно, что аналог такого доступа в переходный период, в частности освобождение от импортных таможенных платежей, можно получить за определенную «цену» в виде взятки, что с экономической точки зрения представляет собой просто трансфертный платеж и не влечет за собой непременно непроизводительного расходования ресурсов.

Однако во многих других случаях постгосударственные предприятия в настоящее время вынуждены затрачивать больше ресурсов на извлечение рентно-дотационных доходов, нежели раньше. Прежде всего, система задолженностей требует больших ресурсов на ее поддержание (гораздо больших, чем потребовал бы, например, просто ценовой картель), а получение льготных кредитов зачастую связано с созданием собственного банка и покрытием его операционных расходов. Сотни тысяч малых предприятий были созданы и продолжают свою деятельность в целях извлечения рентно-дотационных доходов. Ресурсы отвлекаются из производственной деятельности в масштабах, невиданных ни в одной развитой рыночной экономике.

Задолженность как форма стремления к извлечению рентно-дотационных доходов

Феномен задолженностей в постплановой российской экономике настолько распространен, что редкое исследование обходится без того, чтобы не упомянуть о нем. Тем более удивительно то, как мало было сделано попыток раскрыть экономическую сущность этой проблемы. Как мы уже отмечали ранее, задолженности являются не просто проявлением «силы инерции» в поведении постгосударственных предприятий. Такое объяснение можно было бы принять всерьез в 1992 году. К настоящему времени стало очевидным, что задолженности превратились в специфическую, но весьма эффективную форму извлечения рентно-дотационных доходов.

Объем просроченной задолженности промышленных, сельскохозяйственных, транспортных и строительных предприятий поставщикам, своим сотрудникам, правительству и банкам составили более 25 % годового ВНП в 1997 году. Роль задолженностей как скрытой формы промышленных субсидий становится очевидной, если взглянуть на их структуру по отраслям промышленности (таблица 2).

Данные, представленные в таблице 2, показывают, что большая часть задолженностей приходится на долю энергетической и топливной промышленности, на транспорт и строительство. Это именно те отрасли промышленности, которые снабжают другие отрасли частью того, что мы определили как «основной капитал». Таким образом, из представленной структуры задолженностей ясно, что на самом деле они накоплены как часть сокращения постоянных затрат, необходимых промышленным постгосударственным предприятиям для сохранения официального производства.

Это подтверждается также тем фактом, что, как видно из таблицы 2, дебиторская задолженность (например, задолженность по уплате покупателями) больше кредиторской задолженности (задолженности по выплатам поставщикам, наемным сотрудникам и правительству) в энергетической и топливной промышленности, на транспорте и в строительстве, в то время как картина для всех остальных постгосударственных предприятий обратная. До тех пор пока продолжает функционировать такая система, крупные российские постгосударственные предприятия в машиностроении и других отраслях обрабатывающей промышленности могут продолжать выпуск неконкурентоспособной устаревшей продукции и все же не быть полностью вытесненными с переходного «рынка». Компании в энергетической и топливной промышленности, на транспорте и в строительстве, которые, как правило, либо вообще еще не приватизированы, либо подвержены жесткому регулированию и вмешательству со стороны правительства, склонны быть более терпимыми к задолженностям, как мы указывали в предшествующей главе. Таким образом, задолженности, проистекающие из успешного извлечения рентно-дотационных доходов постгосударственными предприятиями в обрабатывающих отраслях промышленности, являются скрытой формой единовременных субсидий таким предприятиям. Конечно, поддержание такой системы задолженностей требует от обрабатывающих постгосударственных предприятий громадных динамических общественных расходов на различные формы лоббирования. Однако наиболее тревожной чертой сохраняющейся системы задолженностей является то, что она, как указывалось выше, по-прежнему позволяет выживать неэффективным постгосударственным предприятиям, выпускающим неконкурентоспособную продукцию и уменьшающим стимулы к реструктурированию.

Очевидные «жертвы» этой системы (отрасли промышленности, предоставляющие основной капитал) в действительности также использовали ее для достижения собственных целей. С одной стороны, они успешно используют свое положение фактических кредиторов всей остальной промышленности для осуществления вертикальной интеграции и создания холдинговых компаний (финансово-промышленных групп), тем самым получая (пусть и частичный) контроль над многими другими отраслями промышленности. С другой стороны, они используют свое положение крупнейших кредиторов экономики для получения различных льгот от правительства и даже для оказания существенного влияния на различные правительственные решения. В главе 7, где мы подробно обсуждаем роль финансово-промышленных групп, будет показано, что контроль над минеральными ресурсами (нефть и газ), а также контроль над снабжением электричеством служат главными источниками не только экономической, но и политической власти в сегодняшней России.

Таблица 2. Структура задолженностей по основным отраслям промышленности. Июнь 1997 г. (в процентах)

Источник: официальные статистические данные, опубликованные российским Госкомстатом.

Примечание. Кредиторы включают поставщиков, федеральный и местный бюджеты, а также наемных сотрудников.

Следует также заметить, что задолженности часто накапливаются с молчаливого, а иногда и открытого согласия поставщика, который получает за это вознаграждение в виде определенного процента («отката»). Это особенно характерно для вертикально интегрированных групп постгосударственных предприятий. Например, нефтеперерабатывающий завод не платит вовремя оператору за добытую нефть, потому что самому НПЗ вовремя не платят фирмы, торгующие нефтепродуктами. На одном конце этой цепочки фирма-оператор, добывающая нефть, не платит своим поставщикам или правительству. На другом конце торговцы нефтепродуктами, как правило, полностью частные фирмы скромного размера скрывают свои сделки и производят выплаты всем участникам цепочки (которые контролируют эти фирмы) через какой-нибудь иностранный банк. Экономический результат такой же, как если бы вертикально интегрированная компания применяла трансфертные цены по отношению к сделкам между ее отделениями. Доходы извлекаются с потребителей и с правительства, равно как и с внешних поставщиков вводимых в производство ресурсов (включая рабочую силу, которой вовремя не выплачивается заработная плата).

Более 800 000 книг и аудиокниг! 📚

Получи 2 месяца Литрес Подписки в подарок и наслаждайся неограниченным чтением

ПОЛУЧИТЬ ПОДАРОК