Практикум
Задача 43. Предприятие производит и продает цемент. Проанализируйте динамику продаж в текущих и сопоставимых ценах.
Таблица 6.3
Исходные данные к задаче 43

Таблица 6.4
Расчетная таблица к задаче 43

Задач 44. Предприятие продает кафель. Данные об их ценах и объемах продаж на протяжении квартала приведены ниже. Рассчитайте среднюю цену за исследуемый период.
Таблица 6.5
Исходные данные к задаче 44

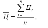
Если объемы продаж были примерно равными за анализируемый период, то используется формула простой средней арифметической:

где Ц – средняя цена;
Цi – фактическая цена в i-й момент времени;
i – номер момента (периода) регистрации цен;
n – количество временных интервалов.
Задача 45. Сельскохозяйственное предприятие реализует арбузы. Информация об их ценах и объемах реализации представлена ниже. Рассчитайте среднюю цену за исследуемый период.
Таблица 6.6
Исходные данные к задаче 45

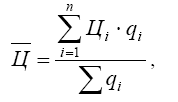
Если известен объем продаж в натуральном выражении и он существенно изменяется при изменении цен, то корректнее применить среднюю арифметическую взвешенную. Обычно такие изменения объемов продаж связаны с сезонным фактором.

где Ц – средняя цена;
Цi – фактическая цена в i-й момент времени;
qi – объем продаж по i-ой цене;
i – номер момента (периода) регистрации цен;
n – количество временных интервалов.
Задача 46. Служба маркетинга в течение месяца регистрировала цены на соль на рынке города. Результаты регистрации приведены ниже. Рассчитайте среднюю цену за исследуемый период.
Таблица 6.7
Исходные данные к задаче 46

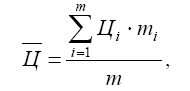
Если регистрация цен осуществлялась через неравные промежутки времени, то используется средняя хронологическая взвешенная:

где Ц – средняя цена;
Ц! – фактическая цена в i-й момент времени;
i – номер момента (периода) регистрации цен;
mi– количество зарегистрированных цен i-го уровня;
m – общее количество зарегистрированных цен.
Средняя хронологическая цена может применяться при наблюдении цен на рынках, в уличной торговле и т. п.
Задача 47. Организация продает кофе в зернах. Известны объемы продаж в стоимостном выражении и средняя цена 1 кг кофе различных сортов. Рассчитайте среднюю цену за исследуемый период.
Таблица 6.8
Исходные данные к задаче 47

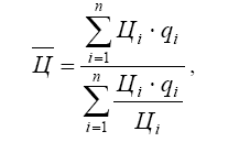
Если известен объем продаж в стоимостном выражении (товарооборот), применяют среднюю гармоническую взвешенную:

где Ц – средняя цена;
Цi – фактическая цена в i-й момент времени;
qi – объем продаж по i-ой цене;
i – номер момента (периода) регистрации цен; n – количество временных интервалов.
Задача 48. Один и тот же товар при цене 10 руб. реализуется 110 шт., при цене 12 руб. – 85 шт. в день. Определите эластичность спроса на товар по цене.
Задача 49. Чему равен коэффициент эластичности спроса на товар по цене, если при снижении цен на 10 % спрос вырос на 30 %?
Задача 50. Затраты на производство одного метра ткани равны 108 руб. Задаем, что средняя доля прибыли в цене равна 10 %. Какова отпускная цена производителя? Какой метод ценообразования при этом использовался?
Задача 51. Затраты на производство одного метра ткани равны 108 руб. Принятый уровень рентабельности на предприятии 10 %. Какова отпускная цена производителя? Какой метод ценообразования при этом использовался?
Более 800 000 книг и аудиокниг! 📚
Получи 2 месяца Литрес Подписки в подарок и наслаждайся неограниченным чтением
ПОЛУЧИТЬ ПОДАРОК