6.2. Характеристика цен по стадиям движения товара
Внутрифирменные цены применяются внутри предприятия при реализации продукции между подразделениями предприятия.
Трансфертные цены применяются при обмене товарами в рамках транснациональных корпораций, совместных предприятий, между их подразделениями в разных странах; обычно не поддаются широкой огласке. Трансфертная цена равна себестоимости продукции, может устанавливаться как на готовые изделия, полуфабрикаты, сырьё, так и на услуги (работы), в том числе управленческие.
Основные причины расширения трансфертного ценообразования: возможность свести к минимуму налоги, уплачиваемые фирмой, за счёт использования разных ставок налогообложения в разных странах; сведение к минимуму платежей по импортным и экспортным пошлинам, тарифам и другим сборам, которые определяются исходя из оплаченной цены товара. Существенное ограничение валютного риска за счёт экспорта продукции по завышенным ценам в те страны, где курс валюты поддерживается искусственно.
Трансфертные и внутрифирменные цены часто не ориентированы на внешнюю рыночную конъюнктуру, они должны решать внутренние учётно-распределительные задачи в соответствии с общей политикой данной хозяйственной структуры.
Отпускные (оптовые) цены применяются при расчетах изготовителей (импортеров) товаров с торгово-закупочными, снабженческо-сбытовыми предприятиями и индивидуальными предпринимателями, которые приобретают продукцию для предпринимательской деятельности в значительном количестве. В зависимости от порядка возмещения транспортных расходов (франковки товаров) могут быть следующие виды цен:
• франко-станция отправления показывает, что транспортные расходы включены в цену до станции отправления, а все остальные расходы оплачиваются сверх цены;
• франко-станция назначения показывает, что в цену товара включены транспортные расходы до выгрузки его из вагона;
• франко-склад поставщика;
франко-склад покупателя.
Оптовые цены – это сумма расходов на производство и реализацию продукции, налогов (акцизов), прибыли производителя. Оптовые цены на импортную продукцию включают в себя также таможенную пошлину.
Закупочные цены – цены, по которым осуществляются закупки сельскохозяйственной продукции и других товаров у производителей для государственных нужд.
Так же используется такой термин как цена закупки, который применяется при расчетах оптовых посредников с потребителями товаров. Цена закупки включает в себя отпускную цену и снабженческо-сбытовую надбавку. Последняя включает в себя налоги, издержки обращения, включающие затраты посредника на реализацию и хранение продукции, в том числе транспортные, а также прибыль. Если оптовых посредников несколько, то каждый делает свою надбавку к цене.
Розничные цены применяются при расчетах с конечным потребителем продукции – населением. Розничная цена включает в себя отпускную (оптовую) цену или цену закупки и торговую наценку или скидку. Торговая наценка включает в себя налоги, издержки, а также прибыль продавца. Если товар приобретается у производителя, то в цене отсутствует снабженческо-сбытовая надбавка, и розничная цена будет ниже.
При подписании договора на поставку продукции (выполнение работ) часто возникает риск потерь от инфляции. Поэтому изменение цены во времени может быть оговорено в контракте.
Твердые (постоянные) цены устанавливаются в момент подписания договора и не меняются в течение всего срока поставки продукции по данному договору. Твердые цены применяются в сделках с немедленной поставкой или с поставкой в течение короткого срока. Если твердые цены применяются в договорах, предусматривающих длительные сроки поставки, то оговорка «цена твердая, изменению не подлежит» должна присутствовать в контракте обязательно. Риск инфляционных потерь берет на себя полностью производитель. Если же цены снижаются, то потери понесет покупатель.
Подвижная цена. В договоре предусмотрено, что цена, фиксированная в момент заключения договора, может быть пересмотрена в дальнейшем, если к моменту исполнения договора рыночная цена изменится (повысится или понизится). Обычно контрактная цена пересматривается, если рыночные цены отклонились более чем на 5 %. При этом в договоре обязательно указывается источник информации, по которому можно судить об изменении рыночной цены. Подвижные цены устанавливаются обычно на товары, поставляемые по долгосрочным договорам. Риск потерь от инфляции полностью ложится на покупателя.
Скользящая цена исчисляется в момент исполнения договора путем пересмотра первоначальной цены с учетом изменений в издержках производства за период времени, необходимый для изготовления продукции. Устанавливается на товары с длительным сроком изготовления.
В контракте указывается базисная цена на дату предложения товара и ее составляющие: например, 45 % – заработная плата, 40 % – стоимость сырья, 15 % – неизменная часть цены (прибыль, накладные расходы и т. д.). В договоре также может быть оговорен лимит скольжения – процент возможного изменения цены (например, не выше 10 % общей суммы затрат).
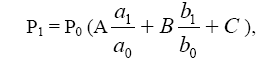
Зависимость конечной цены от изменения цен материалов и ставок заработной платы можно представить в виде следующей формулы скольжения:

где Р1 – цена товара на момент исполнения договора;
Р0 – базисная цена товара на момент заключения договора;
А – доля в базисной цене материальных затрат;
В – доля в базисной цене расходов на заработную плату (А и В представляют собой скользящую часть цены);
С – неизменная часть цены, С = 1– (А+В);
а1 – цена материалов на период скольжения;
а0 – базисная цена материалов;
b1 – ставки заработной платы на период скольжения;
b0 – базисные ставки заработной платы.
Пример. Известно, что в текущем периоде доля затрат на электроэнергию в цене машиностроительной продукции составляла 20 %, доля затрат на оплату труда – 26 %. В прогнозном периоде ожидается повышение тарифов на электроэнергию на 18 %, ставки заработной платы вырастут на 15 %. Базисную цену товара возьмем за 100 %.
Р1 = 100 (1,18 • 0,2 + 1,15 • 0,26 + 0,54) = 107,5%
Тогда можно ожидать, что цена машиностроительной продукции вырастет на 7,5 %.
Изменение тарифов на электроэнергию и ставок оплаты труда будет иметь разные последствия для отраслей с разной структурой затрат. Аналогичные изменения для предприятия, выпускающего химические волокна, в структуре цены которого доля затрат на электроэнергию занимает 50 %, а доля заработной платы 19 %, вызовут рост цен на 11,9 %.
Р1 = 100 (1,18 • 0,5 + 1,15 • 0,19 + 0,31) = 111,9 %.
Более 800 000 книг и аудиокниг! 📚
Получи 2 месяца Литрес Подписки в подарок и наслаждайся неограниченным чтением
ПОЛУЧИТЬ ПОДАРОК