10.1. Понятие комфортного психологического климата
Еще одной чрезвычайно важной сферой действия менеджера-руководителя является обеспечение комфортного психологического климата в коллективе. Термин «психологический климат» появился относительно недавно, так как в течение длительного времени этой стороне управления уделяли мало внимания, рассматривая прежде всего технические моменты и экономический аспект деятельности организации. Лишь в 20-е гг. XX в. впервые широко был поставлен вопрос о том, что психологический климат в коллективе имеет не меньшее значение, чем другие аспекты деятельности. Современная теория управления, ставя во главу угла человека, все больше внимания уделяет тому, как влияет психологическая атмосфера в организации на ее эффективность и возможность максимальной мобилизации интеллектуально-креативного ресурса. Всем уже сейчас должно быть очевидно, что комфортный психологический климат – одно из важнейших условий достижения конкурентных преимуществ.
Комфортный психологический климат – это обстановка, в которой люди получают удовольствие от процесса труда и стремятся осуществлять его как можно лучше, главный фактор достижения социальной эффективности, без чего, как показывает практика, невозможна устойчивая экономическая эффективность. Исследования психологов показали, что длительное плохое настроение коллектива снижает результативность его работы примерно в полтора раза, иначе говоря, некомфортный психологический климат оказывается одним из наиболее негативных факторов воздействия на конкурентные преимущества организации.
Психологический климат вообще – это реальные формы взаимодействия людей как участников совместной деятельности. Его состояние и степень комфорта определяются большим количеством факторов, как объективных, так и субъективных. Безусловно, состояние психологического климата во многом диктуется внешними, не зависящими от организации обстоятельствами, при этом следует отметить, что довольно часто трудные и даже опасные внешние обстоятельства способствуют сплочению коллектива и достижению им высокой комфортности. Например, Великая Отечественная война, которая, безусловно, поставила коллективы всех предприятий и организаций в чрезвычайно трудные условия, создала очень высокую степень комфорта психологического климата на волне патриотизма, ощущения общности цели и достижения безопасности, спасения жизни, страны в целом.
В мирных условиях неблагоприятные внешние условия могут воздействовать на психологический климат в разных направлениях, и это во многом зависит от того, насколько успешна деятельность руководителя по созданию сплоченного коллектива, от состава этого коллектива с точки зрения его психологических и морально-этических характеристик. Мы не случайно, характеризуя психологический климат, употребляем термин «сплоченность», поскольку именно сплоченность есть выражение комфортности психологического климата. Она характеризует психологическое единство людей в важнейших вопросах жизнедеятельности коллектива, проявляющееся в притяжении к нему участников, стремлении защитить его и сохранить. Сплоченность обусловлена необходимостью взаимопомощи и поддержки друг друга в деле достижения целей, взаимными эмоциональными предпочтениями, пониманием роли коллектива в обеспечении решения тех или иных задач. Сплоченные коллективы характеризуют высокая способность и готовность к самостоятельному преодолению возникающих трудностей и согласованность действия.
Степень комфортности психологического климата зависит от парадигмы управления человеческими ресурсами. Воспользуемся классификационной схемой, предложенной Д. Коулом, чтобы раскрыть специфику каждой из выделенных парадигм кадрового менеджмента, определяемую типом доминирующей в корпорации организационной культуры.[59]
При доминировании бюрократической организационной культуры господствуют следующие стереотипы:
– работники – прирожденные лентяи, пассивны и нуждаются в манипулировании и контроле со стороны организации, поэтому менеджер, несущий ответственность за функционирование персонала организации, должен уделять особое внимание стимулированию работы подчиненных;
– для работников побудительным мотивом в первую очередь является экономический интерес, поэтому следует делать все для того, чтобы обеспечить им максимальный доход;
– организационная структура должна быть спроектирована таким образом, чтобы контролировать желания работников и в максимальной степени нейтрализовать возможные последствия их непредсказуемых действий;
– поскольку работники по своей натуре склонны противодействовать целям, предписываемым организацией, и в основном не способны на жесткий самоконтроль и самодисциплину, необходим надежный внешний контроль над их деятельностью, чтобы обеспечить достижение поставленных руководством целей;
– на руководящую работу могут выдвигаться те немногие работники, которые способны к самоконтролю и имеют высокую мотивацию, целеустремленны и честолюбивы.
Естественно, психологический климат в такой организации весьма некомфортен.
При доминировании органической организационной культуры руководство исходит из следующих представлений:
– работники озабочены в основном социальными нуждами и обретают чувство самоидентичности только во взаимоотношениях с другими людьми;
– рационализация производства и узкая специализация приводят к тому, что смысл производственной деятельности работники видят не в самой работе, а в социальных отношениях, которые складываются в процессе труда;
– работники в большей степени склонны реагировать на воздействие своих товарищей, чем на инициативы начальства;
– высокий уровень сплоченности делает групповое мнение основным источником морального авторитета для членов трудового коллектива;
– работники готовы положительно реагировать на инициативы начальства, когда оно учитывает социальные потребности своих подчиненных и в первую очередь потребность в общественном признании.
Психологический климат в таких организациях спокойный, но не побуждает к творчеству.
В случае преобладания предпринимательской организационной культуры работники интересуются только личными целями. Они равнодушны к специфическим задачам организации, кроме такой универсальной цели, как достижение максимальной прибыли. Поэтому с ними лучше не обсуждать эти задачи, дабы не вызвать излишнего сопротивления при их реализации. Лучший способ заставить организацию работать – нанять настойчивых, агрессивно настроенных людей и постараться сохранить контроль над ними в условиях постоянно меняющейся внешней среды. Не исключено, что в этой агрессивной среде детальная проработка задач организации окажется бессмысленным делом, поскольку решающим фактором является инициатива самих работников; наиболее эффективный способ мотивации работников – вызов, который открывает хорошую возможность для их самореализации. При этом вызов должен быть соразмерен потенциалу работников, а менеджеру следует предусмотреть в случае успеха достойное вознаграждение; властные полномочия редко кому-нибудь делегируются из-за опасений возможной ошибки. Работники свободны в своих действиях, пока делают правильные вещи; ответственность не предписывается работникам, но ее принимают на себя те, кто готов при любых обстоятельствах выполнить свои обязательства, несмотря на сопряженный с этим риск.
Именно эти качества подчиненных особенно высоко ценятся, что создает в коллективе атмосферу повышенной тревожности и побуждает работников трудиться с полной самоотдачей, не глядя на часы. Для таких одержимых работой предприимчивых людей не имеют особого значения должности и звания, что дает менеджеру определенную свободу маневра при ограниченных финансовых ресурсах и позволяет особенно долго не мучиться над вопросом о том, чей вклад в общий результат был наибольшим.
На наш взгляд, психологический климат в таких организациях агрессивен, но опыт показывает, что для определенных типов людей он комфортен.
При партисипативной организационной культуре подавляющее большинство работников готовы напряженно трудиться ради достижения целей, находящихся за пределами их личных интересов. Каждый индивидуум уникален, поэтому стандартные управленческие подходы не срабатывают, они должны быть сформулированы применительно к конкретному человеку и данной ситуации; индивидуумы достаточно гибки для того, чтобы органично сочетать личные цели с целями команды, если сама команда ясно представляет себе, к чему она стремится. Взаимодополняемость способностей членов команды и общность основных ценностных установок обеспечивает полноценное использование индивидуальных навыков и умений при достижении общекомандных целей; для координации усилий многих людей необходимо наличие осмысленной коммуникации между членами группы. Незаурядные цели должны формулироваться таким образом, чтобы энергия команды могла быть конструктивно направлена на их достижение, требуются новый тип руководства и освоение новых умений и навыков всеми членами команды. Процесс командообразования предполагает активное участие всех членов команды в анализе проблем и перспектив, планировании совместных действий, оценке (и самооценке) полученных результатов и индивидуальных вкладов в общую работу.
Комфортный психологический климат не возникает сам по себе, а является результатом целенаправленной и длительной работы как руководителя, так и членов коллектива, если перед ними поставлена такая задача. Этапы жизненного цикла организации во многом влияют на степень комфорта психологического климата. Как правило, на начальном этапе, когда все, кто создает организацию (обычно небольшая группа людей) объединены единой целью и действуют в основном на энтузиазме, комфортный психологический климат носит характер дружеского общения, тусовки. По мере того как организация разрастается и в коллектив вливается большое количество разных людей, психологический климат меняется, поскольку идет процесс формирования первичного коллектива с возникающими симпатиями, антипатиями, адаптацией различных групп и отдельных людей друг к другу, а также осознание целей, и тем самым происходят процессы, которые вряд ли способствуют комфортности первоначального коллектива.
Чрезвычайно важно на этом этапе сформулировать и претворить в жизнь современные принципы подбора персонала, включающие не только оценку профессионального уровня будущего работника, но и его человеческие черты. К. Нордстрем и Й. Риддерстрале приводят слова одного из руководителей английской авиакомпании: «Логика такова, что вы можете из хороших людей сделать хороших пилотов, но превратить хороших пилотов с проблемами в отношениях с другими людьми в дружелюбных с клиентами и коллегами сотрудников практически невозможно».[60]
Подобный подход не вполне может быть реализован сегодня в России в связи с острым дефицитом квалифицированной рабочей силы, однако он заслуживает пристального внимания.
Также необходимо разработать систему адаптации вновь принятых к технологическим, социальным и этическим принципам организации. Отсутствие такой системы порождает текучесть кадров в первые три месяца после приема на работу, что создает перегрузку основного костяка коллектива и моральное напряжение, так как адаптация – процесс обоюдный: человек приспосабливается к коллективу, а коллектив – к человеку. И если каждые три месяца появляется новый человек, обстановка в коллективе накаляется.
Заранее продуманная система производственной, социальной и бытовой адаптации, подготовка коллектива к новому члену, обеспечение рабочим местом (стол, компьютер), спецодеждой, если она требуется, выделение куратора-наставника позволяют новичку легче войти в работу и в коллектив, будут способствовать повышению для него комфортности психологического климата.
Первичный трудовой коллектив представляет собой микросреду, в которой формируются трудовые и социальные качества работников, групповые ценности и нормы поведения. Его особенность в том, что здесь закладываются устойчивые повседневные личные контакты между членами коллектива. Такое непосредственное личное общение служит основой для возникновения эмоциональных, межличностных отношений.
Работоспособный, сплоченный коллектив возникает не сразу, этому предшествует длительный процесс его становления и развития, успех которого определяется рядом обстоятельств, мало зависящих от того, формируется ли коллектив стихийно или сознательно и целенаправленно.
После возникновения коллектива проходит длительный процесс его организации или самоорганизации (если речь идет о неформальном коллективе), состоящий из нескольких этапов. Люди знакомятся друг с другом, наблюдают окружающих и демонстрируют им собственные возможности.
Любые отношения между людьми начинают складываться в результате технических контактов и наблюдений, в процессе которых люди накапливают информацию друг о друге, служащую основой взаимной заинтересованности, симпатии или, наоборот, антипатий. Симпатия – это неосознанное, иррациональное отношение расположенности к другому лицу. Симпатизирующие друг другу люди работают более согласованно и эффективно.
Возникновение симпатии и антипатии обусловлено закономерностями восприятия, степенью совпадения или несовпадения основных жизненных интересов, целей и ценностей (люди, естественно, симпатизируют тем, кто разделяет их взгляды и позиции, находится рядом, совместно участвует в решении трудных проблем, но вряд ли кто-то будет испытывать добрые чувства к конкурентам), общей манерой поведения. На основе симпатии зачастую возникают определенные достаточно постоянные отношения. Если коллективы формируются «сверху» и в основе отношений лежит принуждение, они окажутся малоэффективными, поскольку могут быть «замешанными» на антипатии.
Поэтому в настоящее время в западных фирмах часто практикуется способ создания трудовых коллективов, при котором за основу берется принцип добровольного выбора партнеров из лиц, с которыми человек предварительно определенное время общался, в результате чего к одним из них возникает симпатия, к другим – антипатия, к третьим – безразличие.
Сформировавшиеся симпатии и антипатии трансформируются в предпочтения, отражающие желание или нежелание окружающих сотрудничать с данным лицом. Они позволяют выделить так называемые референтные группы (отдельных личностей), чьи нормы поведения, взгляды и интересы принимаются в качестве эталона поведения, к которым большинство людей тянутся, на которых ориентируются и с которыми, что самое главное, стремятся сотрудничать. Как правило, группа, составленная на основе личных симпатий, работает эффективнее, чем сформированная произвольно.
Выделение таких личностей или групп происходит с помощью различных вариантов социографического метода.
В соответствии с одним из них каждому члену исходной группы, где все уже достаточно знают друг друга, предлагается выбрать двух человек, с которыми он в наибольше степени желал бы совместно выполнять предлагаемую работу или, наоборот, стремился при этом избежать их общества.
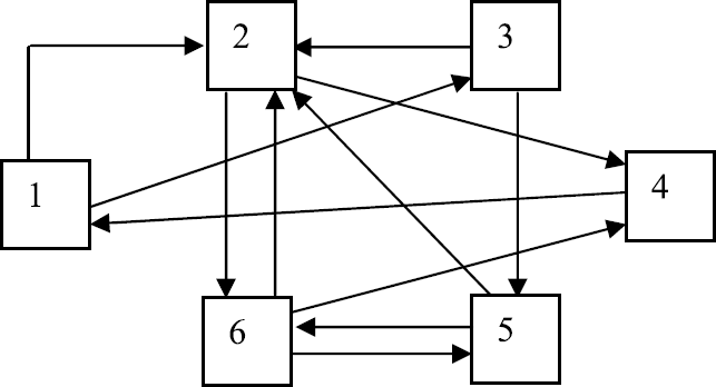
На основе полученной информации строится социограмма, или схема предпочтений в коллективе, которая представляет собой совокупность квадратов с фамилиями или личными номерами каждого, соединенных стрелками, ведущими от тех, кто хочет, к тем, с кем хотят сотрудничать (рис. 41).
По ней можно определить, во-первых, лиц, в той или иной степени готовых к сотрудничеству (они и составят основу коллектива будущего подразделения); во-вторых, лицо, которому отдано наибольшее число голосов (потенциального руководителя); в-третьих, «изгоев», с которыми никто не хочет и не будет сотрудничать и кого поэтому не следует включать в создаваемый коллектив.

Рис. 41. Социограмма коллектива
Как свидетельствует рис. 41, референтная личность – 2; 4, 5, 6 – прочие члены коллектива; а 1, 3 – «изгои».
При перенесении социограммы (рис. 41) на поле предпочтений (рис. 42), соответствующее максимальному (max) числу предпочтений (в данном случае 4) попадает 2; на поле, соответствующее среднему числу предпочтений (mid), – 4, 5, 6, на которые указали по два человека, и на поле, соответствующее наименьшему числу предпочтений (min) – 1, 3, получившие по одному «голосу».
Можно поступить иначе. В опросном листе предлагают указать три фамилии наиболее достойных людей в порядке очередности (при этом первое место оценивается в три балла, второе – в два, а третье – в один). Полученные каждым лицом баллы складываются, и люди объединяются в три группы в соответствии с набранным количеством баллов. Затем изображаются три вложенные друг в друга геометрические фигуры; в центральную вписываются фамилии лидеров, набравших максимальное количество баллов; в промежуточную – среднее; в крайнюю – наименьшее количество баллов. Это позволяет очертить поле предпочтений (рис. 42) и место каждого члена группы на нем; при необходимости эту схему можно дополнить показанным на рис. 41 линиями предпочтений, связывающими конкретных лиц.

Рис. 42. Поле предпочтений
Разновидностью социограммы является матрица взаимоотношений (предпочтений). Для ее составления каждому члену коллектива предлагается оценить свое отношение к остальным: – 1 (негативное); 0 – (безразличное); +1 (позитивное). Затем все оценки сводятся в шахматную таблицу (такую, какая применяется для отражения хода спортивных турниров), из которой наглядно видны реальные взаимоотношения людей (табл.13).
Таблица 13. Матрица предпочтений

На практике социографический метод таит две опасности. Во-первых, в случае утечки конфиденциальной информации коллектив может быть расколот конфликтом, поскольку каждый узнает, что? о нем в действительности думают окружающие, и, во-вторых, лидером в результате опроса становится не самый подходящий с точки зрения интересов дела, а самый популярный человек.
На втором этапе происходит сближение людей, установление между ними необходимых контактов и формирование общих норм поведения, «цементирующих» коллектив, а также возникают попытки установления приоритетов и захвата власти.
На третьем этапе коллектив стабилизируется, формируются совместные цели и нормы, налаживается надежное сотрудничество, позволяющее получать гарантированные результаты.
Роль руководителя в формировании психологического климата невозможно переоценить. В его задачу входят формулирование целей перед руководителями низших подразделений, определение основных принципов организационной культуры, т. е. параметров формируемого психологического климата. Сформированный и успешно работающий коллектив обычно характеризуется высокой комфортностью психологического климата. Однако на этапе зрелости, когда возникают проблемы, связанные с сохранением рынка, и отсюда неизбежны обновление продукции, реструктуризация, как правило, изменение состава коллектива, прежде всего топ – и миддл-менеджмента, комфортный психологический климат уступает место некомфортному, во всяком случае для части коллектива. Если организации удается преодолеть кризис, то по истечении определенного времени комфортность психологического климата вновь может быть достигнута.
Сказанное выше не может быть применено ко всем без исключения организациям, поскольку известны случаи, когда в условиях кризиса, перестройки основная часть коллектива сплачивается и комфортность психологического климата повышается, а затем, когда кризис преодолен, возникают разногласия, конфликты и комфортность психологического климата снижается. Очевидно, что нет каких-либо стопроцентно гарантированных рецептов достижения комфортности психологического климата, это во многом зависит от личности руководителя, размеров организации, состава коллектива и т. п. Сформулируем условия, которые представляются обязательными для решения этой чрезвычайно трудной задачи.
Еще раз вернемся к определению комфортного психологического климата, подчеркнув в нем то, что все участники производственного процесса должны быть удовлетворены своим положением в коллективе и относиться к этому коллективу как к родному. Комфортный психологический климат, по нашему представлению, не означает, что люди, работающие в организации, являются друзьями. Как ни парадоксально это звучит, но дружба и любовь – слишком сильные чувства, предъявляющие повышенные требования к членам производственного коллектива, и это приводит к нарушению комфортного психологического климата. Возникает сильная эмоциональная окраска отношений там, где должна присутствовать только деловитость. На наш взгляд, первым и главным условием комфортного психологического климата выступает то, что все члены коллектива заняты интересным для себя делом. Прекрасно понимаем, что обеспечить каждому полное удовлетворение его потребностей, возможность самореализации руководитель не может. Заинтересованность может быть достигнута не только содержанием работ, но и ее организацией, т. е. степенью самостоятельности, например, или уровнем ее оплаты. Второе обязательное условие – это четкое понимание каждым общих целей организации, своего места в достижении цели, т. е., как говорил великий полководец А. В. Суворов, «каждый солдат должен знать свой маневр». Третье условие – четкая иерархия коллектива с указанием зон ответственности, механизмов взаимодействия, при которых компетенции сотрудников не пересекаются, а взаимно дополняются, информационные потоки четко определены, так же как и стандарты, по которым оценивается качество работы. Четвертое условие – нормальным в данном коллективе должно быть положение, при котором любое мнение руководителя ли, сотрудника ли считается имеющим право на озвучивание, воспринимается независимо от того, будет оно учтено или нет, с уважением. Обязательными являются оказание взаимопомощи, консультации друг с другом и высказывания критических замечаний в конструктивной форме.
При этом следует иметь в виду, что комфортный психологический климат должен сопровождаться позитивным, оптимистическим эмоциональным настроем. Именно поэтому следует особо обращать внимание на людей, которые несут заряд оптимизма и способны оказывать влияние на других членов группы. Оптимистичный настрой помогает людям значительно легче преодолевать трудности, не терять веры в успех, что способствует эффективному взаимодействию в коллективе. Комфортный психологический климат предполагает постоянное внимание руководителя к этой стороне управления, которое должно проявляться на всех этапах формирования коллектива: при наборе персонала, осуществлении делегирования, разработке системы мотивации, контроля, аттестации кадров и их карьерного продвижения. Любое решение, которое принимает руководитель, должно быть им оценено с точки зрения воздействия на психологический климат коллектива.
Как утверждает признанный эксперт в области менеджмента Джон Вон Эйкен, к уходу людей из организации первой толкает неправильная атмосфера в организации. Речь идет не просто о жесткой внутренней конкуренции, подсиживании, склоках и агрессии, но и об отсутствии ориентированности на успех, стремлении руководства не помогать людям двигаться вперед, а сосредоточиться исключительно на контроле, желании «поймать за руку».
Большинству сотрудников важно чувствовать, что руководителю не все равно, нужно хвалить, отмечать достижения, проявлять внимание.
Обязательно нужно держать людей в курсе событий, чтобы не давать оснований для дезориентирующих слухов и сплетен.
Важную роль играет кадровая политика организации. Если люди, проработавшие 10–15 лет, знают, что по достижении пенсионного возраста им не придется принудительно уходить на пенсию, они работают спокойно и эффективно, пока могут, на своем месте или наставниками. Молодые, видя это, испытывают чувство защищенности, что способствует комфортному психологическому климату.
Существует еще один аспект достижения сплоченности коллектива – деловой этикет. Не придавая ему решающего значения, тем не менее считаем, что единые нормы поведения, соблюдаемые всеми сотрудниками – от курьера до президента компании – создают атмосферу демократичности и причастности всех единым ценностям, что чрезвычайно важно. В качестве примера делового этикета приведем шесть основных заповедей делового этикета, сформулированных американской исследовательницей, социологом, пропагандистом правил вежливости в деловом общении Джен Ягер.[61]
1. Делайте все вовремя!
Опоздания не только мешают работе, но и являются первым признаком того, что на человека нельзя положиться. Прийти вовремя иногда значит прийти не слишком рано, не раньше своего начальства. Главное в вашем дневном расписании – прийти вовремя утром. Если вдруг случится так, что вам необходимо задержаться и вы узнаете об этом заранее, позвоните в офис и пусть ваш секретарь или кто-нибудь из начальства обязательно будет в курсе дела.
Специалисты, изучающие организацию и распределение рабочего времени, советуют добавлять лишних 25 % на тот срок, который, на ваш взгляд, требуется для выполнения данной работы. Вспомните закон Мерфи: все дела занимают больше времени, чем вам кажется, а все помехи, какие могут возникнуть, обязательно возникают. Так что выделяйте время с запасом на те трудности, которые поддаются прогнозированию.
2. Не болтайте лишнего!
Смысл этого принципа в том, что вы обязаны хранить секреты корпорации, учреждения или конкретной сделки также бережно, как и тайны личного характера.
Никогда никому не пересказывайте того, что вам приходится услышать от сослуживца, руководителя или подчиненного об их личной жизни.
3. Будьте любезны, доброжелательны и приветливы!
Ваши клиенты, заказчики, покупатели, сослуживцы или подчиненные могут сколько угодно придираться к вам, это не важно: все равно вы обязаны вести себя с ними вежливо, приветливо и доброжелательно. Кому нравится работать с людьми брюзгливыми, подозрительными и капризными? Достичь вершины вам позволит только дружелюбное отношение к окружающим (что вовсе не означает дружить с каждым, с кем приходится общаться по долгу службы). Если все вокруг твердят, что вы умеете понравиться, значит, вы на верном пути. Один из важных элементов воспитанности и доброжелательности – искусство сказать то, что нужно. Вам надо придерживаться того же принципа в своих поступках, а они отражаются в ваших речах.
4. Думайте о других, а не только о себе!
Какое бы дело вы ни делали, потребность выяснить точку зрения клиента или покупателя позволит вам выдвинуться практически в любой отрасли экономики – от промышленности и издательского дела до медицины и телекоммуникаций. Внимание к окружающим должно проявляться в отношении не только клиентов или покупателей, но и сослуживцев, начальство и подчиненных. Уважайте мнение других, старайтесь понять, почему у них сложилась та или иная точка зрения. Всегда прислушивайтесь к критике и советам коллег, начальства и подчиненных. Не начинайте сразу огрызаться, когда кто-то ставит под сомнение качество вашей работы; покажите, что цените соображения и опыт других людей. Уверенность в себе не должна мешать вам быть скромными.
5. Одевайтесь как положено!
Самый главный принцип, о котором ни в коем случае не следует забывать, – прежде всего вы должны стремиться вписаться в ваше окружение на службе, а внутри этого окружения – в контингент работников вашего уровня. Некоторые специалисты советуют одеваться на работу так, как вам хочется, а не «как положено», но этому совету лучше не следовать. На каких бы ролях ни находились вы в фирме сейчас, вам надо «вписаться», но при этом вы должны выглядеть самым лучшим образом, т. е. одеваться со вкусом, подбирать цветовую гамму к лицу, тщательно подбирать аксессуары – от туфель до галстуков.
6. Говорите и пишите правильно!
Все произносимое, а равно написанное вами: будь то внутренние записки или любовные письма, отправляемые за пределы фирмы кому бы то ни было, – должны быть изложены хорошим языком, а все имена собственные должны быть переданы без ошибок. Следите за тем, чтобы никогда не употреблять бранных слов: может случиться, что разговор, на ваш взгляд совершенно приватный, на горе вам невольно услышит человек, от мнения которого зависит вся ваша карьера.
Более 800 000 книг и аудиокниг! 📚
Получи 2 месяца Литрес Подписки в подарок и наслаждайся неограниченным чтением
ПОЛУЧИТЬ ПОДАРОК