Приведенная стоимость
Мы показали, как можно вычислить будущую стоимость инвестиций. Объясним теперь обратный процесс, а именно: как определить количество денег, которые надо вложить сегодня для получения определенной стоимости в будущем. Такая сумма денег получила название приведенной стоимости. Поскольку, как будет сказано далее в этой главе, цена любого финансового инструмента – это приведенная стоимость его предполагаемого денежного потока, понятие приведенной стоимости необходимо уяснить всякому инвестору, желающему разобраться в механизме ценообразования инструментов с фиксированным доходом.
Итак, мы хотим узнать, каким образом определить размер денежной суммы, которую надо инвестировать сегодня под процент r, выплачиваемый раз в период в течение n периодов, чтобы получить заданную будущую стоимость. Формула вычисления может быть получена из формулы (2.1), предназначенной для подсчета будущей стоимости инвестиции (Р0):

Заменим Р0 на приведенную стоимость (PV):

Выражение в скобках – это приведенная стоимость одного доллара. Оно показывает, сколько должно быть вложено сегодня, для того чтобы через n периодов получить $1 при условии существования процентных ставок, равных r, в течение каждого периода.
Процесс вычисления приведенной стоимости носит название дисконтирования. Приведенная стоимость, таким образом, иногда называется дисконтированной стоимостью, а процентные ставки – дисконтными ставками.
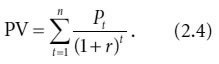
Продемонстрируем действие формулы (2.3) на конкретном примере. Допустим, что портфельный менеджер может приобрести финансовый инструмент, который через семь лет принесет $5 млн при отсутствии промежуточных денежных потоков. Портфельный менеджер хочет получать на свои инвестиции 10 % годовых. Приведенная стоимость инвестиций должна быть подсчитана как:

Оказывается, что инвестирование в настоящий момент суммы $2 565 791 под 10 % годовых через семь лет принесет $5 млн. Допустим, что данный финансовый инструмент продается дороже, чем за $2 565 791. Это значит, что, купив его по цене, превышающей $2 565 791, портфельный менеджер получит от своих инвестиций меньше, чем 10 % годовых. И наоборот: если финансовый инструмент продается дешевле, чем за $2 565 791, портфельный менеджер получит от своих инвестиций больше, чем 10 % годовых.
Существуют два основных свойства приведенной стоимости, которые читатель должен себе уяснить. Во-первых, для данной будущей стоимости в установленный момент времени в будущем, чем выше процентные (или дисконтные) ставки, тем ниже приведенная стоимость. Причина падения приведенной стоимости с ростом процентных ставок легко объяснима: чем больше процентные ставки, под которые совершаются в настоящий момент инвестиции, тем меньшая сумма денег должна быть вложена, чтобы получить заданную будущую стоимость.
Второе свойство приведенной стоимости: при данных процентных (дисконтных) ставках, чем длиннее временной горизонт, по окончании которого должна быть получена будущая стоимость, тем ниже приведенная стоимость. Описанный эффект объясняется следующим образом: на более продолжительном отрезке времени успевает накопиться бо?льшая сумма процентных выплат. Таким образом, начальная инвестируемая сумма может быть меньше.
Более 800 000 книг и аудиокниг! 📚
Получи 2 месяца Литрес Подписки в подарок и наслаждайся неограниченным чтением
ПОЛУЧИТЬ ПОДАРОКДанный текст является ознакомительным фрагментом.