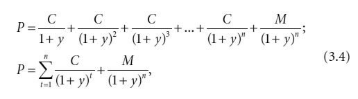
Доходность к погашению
В начале этой главы мы показали, как вычисляется доходность или внутренняя ставка доходности любой инвестиции. Доходность определяется как процентная ставка, при которой приведенная стоимость денежных потоков равна цене (начальной инвестированной сумме). Доходность к погашению вычисляется так же, как и рассмотренная выше доходность (внутренняя ставка доходности); учитываются те денежные потоки, которые получает инвестор, держащий облигацию до погашения. Для того чтобы вычислить доходность к погашению облигации с купоном, выплачиваемым раз в полгода, прежде всего определяется у – значение процентной ставки для периода, удовлетворяющей следующему требованию:

где:
P – цена облигации;
C – полугодовая купонная ставка (в долларах);
M – номинальная стоимость (в долларах);
n – число периодов (число лет ? 2).
Для облигации с купоном, выплачиваемым раз в полгода, доходность к погашению должна быть получена удвоением процентной ставки для периода или дисконтной ставки (у). Напомним, однако, тезис, обсуждавшийся нами в разделе, посвященном вычислению годовых доходностей: умножение процентной ставки для периода на число периодов не дает точного представления о годовой доходности. Впрочем, на рынке принято считать доходностью к погашению именно такую, умноженную на два, процентную ставку у, удовлетворяющую равенству (3.4). Доходность к погашению, полученную с учетом этого рыночного соглашения, называют доходностью, эквивалентной облигационной (bond-equivalent yield).
Вычисление доходности к погашению проводится методом подбора. Продемонстрируем процедуру поиска значения на примере облигации, для которой выше была подсчитана текущая доходность. Денежный поток данной облигации представляет собой: 1) 30 купонных выплат по $35, производимых каждые шесть месяцев, и 2) $1000 – сумма, которая будет выплачена через 30 полугодовых периодов.
Для получения необходимого результата в формулу (3.4) подставляются разные значения у до тех пор, пока не будет найдено число, при котором приведенная стоимость денежных потоков окажется равной рыночной цене облигации, т. е. $769,42. Приведенные стоимости денежных потоков облигации при разных процентных ставках для периодов показаны в таблице:

При полугодовой процентной ставке, равной 5 %, приведенная стоимость денежных потоков составляет $769,42. Таким образом, у равно 5 % и доходность к погашению (доходность, эквивалентная облигационной) – 10 %.
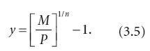
Доходность к погашению для облигации с нулевым купоном подсчитать проще, поскольку в вычислениях может быть использована формула (3.3). Денежный поток за период n равен номинальной стоимости М, а значит, формула (3.3) будет выглядеть следующим образом[12]:

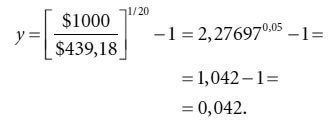
Так, для 10-летней облигации с нулевым купоном и номинальной стоимостью $1000, торгующейся по цене $439,18, у равно 4,2 %, поскольку:

Обратите внимание на то, что число периодов равно 20. Речь идет о полугодовых периодах, количество которых получается умножением числа лет на 2. Полугодовые периоды были выбраны для того, чтобы полученная доходность могла сравниваться с доходностью купонных облигаций. Получить годовую доходность, эквивалентную облигационной, можно, если удвоить у. В нашем случае результат составит 8,4 %.
Доходность к погашению – это мера, которая позволяет оценить не только текущий купонный доход, но и размер прибыли или убытка, ожидающих капитал инвестора, остающегося владельцем облигации до погашения. Кроме того, доходность к погашению принимает в расчет временные параметры денежных потоков. Отношения между купонной ставкой, текущей доходностью и доходностью к погашению приведены в таблице:
Более 800 000 книг и аудиокниг! 📚
Получи 2 месяца Литрес Подписки в подарок и наслаждайся неограниченным чтением
ПОЛУЧИТЬ ПОДАРОКДанный текст является ознакомительным фрагментом.