Следующая выплата купона состоится раньше, чем через шесть месяцев
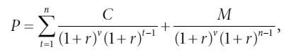
Если инвестор приобретает облигацию, купонная выплата по которой должна состояться раньше, чем через полгода, цена облигации может быть вычислена следующим образом:

где:

Обратите внимание на то, что при v = 1 (т. е. в случае, когда следующая выплата купона состоится ровно через шесть месяцев) формула (2.9) сводится к формуле (2.6).
Более 800 000 книг и аудиокниг! 📚
Получи 2 месяца Литрес Подписки в подарок и наслаждайся неограниченным чтением
ПОЛУЧИТЬ ПОДАРОКДанный текст является ознакомительным фрагментом.
Содержание
История
История
Loading ...
Failed to load data.
{{name}} | {{author}}