ВЫЧИСЛЕНИЕ ДОХОДНОСТИ, ИЛИ ВНУТРЕННЕЙ СТАВКИ ДОХОДНОСТИ, ЛЮБОЙ ИНВЕСТИЦИИ
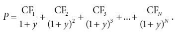
Доходность (yield) любой инвестиции – это процентная ставка, которая позволит уравнять приведенную стоимость денежных потоков данной инвестиции с ценой (стоимостью) инвестиции. Таким образом, доходность инвестиции – это процентная ставка у, удовлетворяющая следующему уравнению:

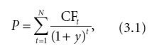
В кратком виде эта формула может быть записана как:

где:
CFt – денежный поток в год t;
P – цена инвестиции;
N – количество лет.
Доходность, полученная из данного равенства, называется также внутренней ставкой доходности (internal rate of return).
Определение доходности y в данном случае проходит методом проб и ошибок, иными словами, путем подбора. Цель процесса – нахождение значения процентной ставки, при котором приведенная стоимость денежных потоков будет равна цене. Приведем пример такой процедуры.
Предположим, что финансовый инструмент, продающийся по $903,10, обещает в будущем следующие годовые выплаты:

Вычисление доходности сводится к поиску такой процентной ставки, при которой приведенная стоимость денежных потоков окажется равной $903,10 (т. е. цене данного финансового инструмента). Подстановка процентной ставки 10 % дает следующий результат:

Приведенная стоимость, вычисленная исходя из процентной ставки, равной 10 %, превышает цену ($903,10). Таким образом, для уменьшения приведенной стоимости процентная ставка должна быть увеличена. Предположим, что она составляет 12 %. В этом случае, как видно из таблицы, приведенная стоимость окажется равной $875,71:

Мы видим, что при процентной ставке в 12 % приведенная стоимость денежного потока меньше цены финансового инструмента. Для увеличения значения приведенной стоимости следует выбрать более низкую процентную ставку. Возьмем процентную ставку, равную 11 %, и получим:

При процентной ставке 11 % приведенная стоимость денежного потока оказывается равной цене финансового инструмента. Таким образом, доходность в данном случае составляет 11 %.
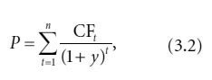
Представленная выше формула вычисления доходности основана на величине денежных потоков, поступающих раз в год, однако она может быть уточнена в соответствии с количеством совершаемых ежегодно периодических выплат. Обобщенная формула выглядит следующим образом:

где:
CFt – денежный поток в период t;
n – число периодов.
Напомним, что доходность, вычисляемая с помощью этой формулы, – это доходность в расчете на период. При поступлении денежных потоков раз в полгода мы получим полугодовую доходность. При поступлении денежных потоков раз в месяц речь пойдет о месячной доходности. Для вычисления обычной годовой процентной ставки доходность для периода умножается на число периодов в году.
Более 800 000 книг и аудиокниг! 📚
Получи 2 месяца Литрес Подписки в подарок и наслаждайся неограниченным чтением
ПОЛУЧИТЬ ПОДАРОКДанный текст является ознакомительным фрагментом.