ЦЕНООБРАЗОВАНИЕ ОБЛИГАЦИИ
Цена любого финансового инструмента равна приведенной стоимости предполагаемого денежного потока от данного финансового инструмента. Таким образом, для определения цены следует знать:
1) размер предполагаемых денежных потоков;
2) величину подходящей требуемой доходности (требуемой ставки).
Предполагаемые денежные потоки для одних финансовых инструментов вычисляются легко, для других – с большей сложностью. Требуемая доходность – это величина, отражающая доходность финансовых инструментов со сравнимым риском, иными словами – доходность альтернативных инвестиций.
Первый шаг, который мы делаем, приступая к определению цены облигации, – определение ее денежных потоков. Денежные потоки от облигации, которую эмитент не имеет права погасить до установленной даты погашения (т. е. облигация без встроенного колл-опциона)[7], состоят из:
1) периодических купонных выплат, осуществляемых вплоть до даты погашения;
2) номинальной стоимости (стоимости погашения), получаемой в момент погашения облигации.
Для упрощения анализа механизма ценообразования облигаций, договоримся считать действительными три утверждения:
1. Купонные выплаты осуществляются раз в полгода (по большинству американских облигаций купон действительно выплачивается раз в шесть месяцев).
2. Ближайшая выплата купона состоится ровно через шесть месяцев.
3. Купонная ставка фиксирована на весь срок до погашения облигации.
Итак, денежный поток облигации без встроенного колл-опциона состоит из аннуитета фиксированных купонных выплат, получаемых раз в полгода, и номинальной стоимости. 20-летняя облигация с купонной ставкой 10 % и номиналом $1000 от купонных выплат получит следующий денежный поток:
купонная выплата за год = $1 000 ? 0,10 = $100;
купонная выплата за полгода = $100/2 = $50.
Таким образом, существует 40 денежных потоков по $50, получаемых каждые полгода, и денежный поток, равный $1000, который будет получен через 40 полугодовых периодов. Обратите внимание на описание номинальной стоимости. Мы не говорим, что получим ее через 20 лет – номинал описывается в тех же терминах, что и купон, выплачиваемый раз в шесть месяцев.
Требуемая доходность выясняется после изучения рыночных доходностей облигаций, сравнимых с нашей. Под сравнимыми понимаются облигации без встроенного колл-опциона, имеющие то же кредитное качество и тот же срок до погашения[8].
Требуемая доходность, как правило, выражается в процентах годовых. В ситуации, когда денежные потоки поступают раз в полгода, в качестве процентной ставки для дисконтирования денежных потоков принято использовать половину годовой процентной ставки.
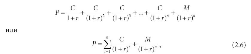
Размеры денежных потоков и требуемая доходность – аналитические данные, достаточные для вычисления цены облигации. Поскольку ценой облигации является приведенная стоимость денежных потоков, ее значение вычисляется путем сложения следующих двух величин:
1) приведенной стоимости полугодовых купонных выплат;
2) приведенной стоимости номинала в момент погашения.
В общих чертах формула подсчета цены выглядит следующим образом:

где:
P – цена (в долларах);
n – число периодов до погашения (число лет, умноженное на 2);
C – полугодовая купонная выплата (в долларах);
r – процентная ставка, соответствующая периоду (требуемая годовая доходность, деленная на 2);
M – стоимость номинала;
t – количество периодов, оставшихся до получения платежа.
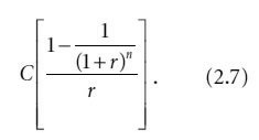
Полугодовые выплаты купона представляют собой обычный аннуитет, поэтому, используя формулу (2.5) для вычисления приведенной стоимости обычного аннуитета, получаем приведенную стоимость купонной выплаты, равную:

Для того чтобы читатель понял, как на практике осуществляется вычисление цены облигации, рассмотрим 20-летнюю облигацию с купоном, равным 10 %, и номинальной стоимостью $1000. Допустим, что требуемая доходность для этой облигации составляет 11 %. Данная облигация приносит следующие денежные потоки:
1) 40 полугодовых купонных выплат по $50 каждая;
2) $1000 через 40 полугодовых периодов.
Полугодовая (соответствующая периоду) процентная ставка (или соответствующая периоду требуемая доходность) равна 5,5 % (11 % поделить на 2).
Приведенная стоимость 40 полугодовых купонных выплат по $50, дисконтированная по 5,5 %, согласно результатам приведенных ниже вычислений, составляет $802,31:

Приведенная стоимость номинала в $1000, который будет получен через 40 полугодовых периодов, дисконтированная по 5,5 %, равна, как видно из расчетов, приведенных ниже, $117,46:

Цена облигации, таким образом, равна сумме двух приведенных стоимостей:

Предположим теперь, что требуемая доходность составляет не 11 %, а 6,8 %. Цена облигации в этом случае окажется равной $1347,04 (процесс вычисления значения цены описан ниже).
Приведенная стоимость купонных выплат при соответствующей периоду процентной ставке 3,4 % (6,8 % /2) равна:

Приведенная стоимость номинала в $1000, который будет получен через 40 полугодовых периодов, дисконтированная по 3,4 %, равна:

Цена облигации, таким образом, составит:

Если требуемая доходность равна купонной ставке 10 %, цена облигации будет равна ее номинальной стоимости, т. е. $1000. Действительно, приведенная стоимость купонных выплат при соответствующей периоду процентной ставке 5 % (10 %/2) равна:

Приведенная стоимость номинала в $1000, который будет получен через 40 полугодовых периодов, дисконтированная по 5 %, равна, согласно формуле:

Цена облигации, таким образом, составит:
Более 800 000 книг и аудиокниг! 📚
Получи 2 месяца Литрес Подписки в подарок и наслаждайся неограниченным чтением
ПОЛУЧИТЬ ПОДАРОКДанный текст является ознакомительным фрагментом.