Определение размера прибыли за счет сложных процентов
Рассмотрим неамортизируемые ценные бумаги. Процент на процент может являться заметной частью прибыли, ожидаемой от облигации. В абсолютном выражении потенциальная прибыль от всех купонных выплат и процента на процент подсчитывается по формуле вычисления будущей стоимости аннуитета, приведенной в главе 2. Допустим, что r – полугодовая ставка реинвестиций, тогда сумма процента на процент и всех купонных выплат равна:

Величина (денежная) всех купонных выплат находится умножением полугодовой купонной выплаты на число периодов:
величина всех купонных выплат = nC.
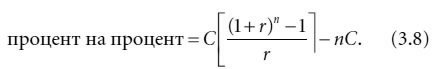
Процент на процент представляет собой разницу между суммой купонных выплат и процента на процент и величиной всех купонных выплат. Результат выглядит следующим образом:

Напомним, что вычисление доходности к погашению строится на предположении о возможности реинвестировать купоны под данную доходность к погашению.
Рассмотрим теперь 15-летнюю облигацию с купоном 7 % (мы анализировали ее, говоря о текущей доходности и доходности к погашению). Если цена облигации при номинале $1000 составляет $769,40, то ее доходность к погашению равна 10 %. Примем за годовую ставку реинвестиций 10 %. Соответственно, полугодовая ставка составит 5 %. Тогда сумма процента на процент и купонных выплат, согласно формуле (3.7), равна:

А процент на процент по формуле (3.8) составит:
процент на процент = $2 325,36–30 ? $35 = $1 275,36.
Более 800 000 книг и аудиокниг! 📚
Получи 2 месяца Литрес Подписки в подарок и наслаждайся неограниченным чтением
ПОЛУЧИТЬ ПОДАРОКДанный текст является ознакомительным фрагментом.