Дюрация
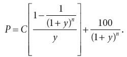
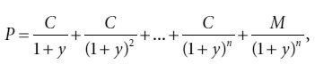
В главе 2 мы писали о том, почему цена облигации, не имеющей встроенных опционов, может быть выражена в виде формулы[18]:
(4.1)
где:
P – цена облигации;
C – полугодовая купонная выплата (в долларах);
y – половина доходности к погашению или требуемой доходности;
n – число полугодовых периодов (число лет ? 2);
M – номинальная стоимость (в долларах).
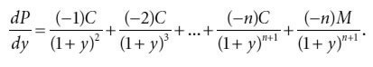
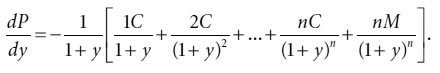
Для выяснения примерного изменения цены при небольшом изменении доходности следует вычислить первую производную выражения (4.1) по требуемой доходности:
(4.2)
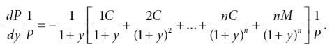
Преобразовав формулу (4.2), получаем:
(4.3)
Выражение в скобках – это средневзвешенный срок до погашения денежных потоков облигации (взвешивание производится по приведенной стоимости денежного потока).
Формула (4.3) обозначает приблизительное долларовое изменение цены при небольшом изменении требуемой доходности. Деление обеих частей выражения (4.3) на Р позволяет найти значение примерного процентного изменения:
(4.4)
Выражение в скобках, деленное на цену (в нашем случае умноженное на 1/Р), принято называть дюрацией Маколея[19], таким образом:

Подставив величину дюрации Маколея в формулу (4.4) для вычисления примерных процентных изменений цены, получим:
(4.6)
Отношение дюрации Маколея к 1 + у получило название модифицированной дюрации. Таким образом:
(4.7)
Подставив выражение (4.7) в формулу (4.6), получим:
(4.8)
Из формулы (4.8) видно, что модифицированная дюрация связана с примерным процентным изменением цены при данном изменении доходности. Поскольку для всех облигаций без встроенных опционов модифицированная дюрация является положительным числом, выражение (4.8) устанавливает обратную зависимость между модифицированной дюрацией и примерным процентным изменением цены при данном изменении доходности. Это закономерный результат: как известно, фундаментальный принцип движения цен на облигации гласит, что они изменяются в направлении, противоположном направлению движения процентных ставок.
В табл. 4.4 и 4.5 приводятся данные о дюрациях Маколея и модифицированных дюрациях двух пятилетних купонных облигаций. Дюрации выражены в количестве периодов (а не лет). Таким образом, мы имеем дело с полугодовой дюрацией: денежные потоки данных облигаций поступают раз в полгода. Для получения значений годовой дюрации, приведенные значения следует поделить на 2 (см. примечания к табл. 4.4 и 4.5). Заметим, что при поступлении денежного потока m раз в году дюрация, выраженная в годах, уточняется путем деления на m, т. е.:

Дюрация Маколея в годах и модифицированная дюрация для шести гипотетических облигаций равны:

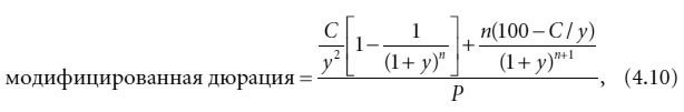
Вместо того чтобы использовать выражение (4.5) для вычисления дюрации Маколея и формулу (4.7) для получения модифицированной дюрации, мы предлагаем разработать альтернативное выражение, не требующее кропотливых вычислений, предполагаемых формулой (4.5). Цену облигации мы выразим в терминах следующих двух компонентов: 1) приведенная стоимость аннуитета, где аннуитет – это сумма купонных выплат; и 2) приведенная стоимость номинала. Таким образом, цена облигации номинальной стоимостью $100 будет равна[20]:
(4.9)
Взяв первую производную выражения (4.9) и поделив результат на Р, получим новую формулу вычисления модифицированной дюрации:

где цена выражена в виде процента номинальной стоимости. Дюрация Маколея может быть получена посредством умножения выражения (4.10) на (1 + у). В качестве иллюстрации рассмотрим 25-летнюю 6 %-ную облигацию, торгующуюся по 70,357 при доходности 9 %. В этом случае:
С = 3 (= 0,06 ? 100 ? 1/2); y = 0,045 (= 0,09 ? 1/2); n = 50; p = 70,357.
Подставим имеющиеся значения в формулу (4.10) и получим:

Переведем значение в годы: поделим результат на 2 и получим 10,62 – модифицированную дюрацию. Умножим на 1,045 и получим 11,10 – дюрацию Маколея.

Свойства дюрации. Как видно из анализа значений дюраций шести гипотетических облигаций, модифицированная дюрация и дюрация Маколея купонных облигаций меньше, чем их срок до погашения. Из формулы явствует также, что дюрация Маколея облигации с нулевым купоном равна ее сроку до погашения; модифицированная дюрация облигации с нулевым купоном, однако, меньше ее длительности. Кроме того, чем меньше купон, тем, как правило, больше дюрация Маколея и модифицированная дюрация облигации[21].

Существуют определенные соответствия между свойствами волатильности, о которых мы писали выше, и свойствами модифицированной дюрации. Мы уже показали, что при прочих равных чем больше длительность, тем выше волатильность цены. Говоря о модифицированной дюрации, следует отметить, что при прочих равных чем больше длительность, тем больше модифицированная дюрация. Мы также обращали внимание читателя на то, что при прочих равных более низкие купонные ставки определяют более высокую волатильность цены. То же свойство характерно и для модифицированной дюрации: она, как правило, выше при более низких купонных ставках. Таким образом, чем больше значение модифицированной дюрации, тем выше волатильность цены.
И наконец, еще один отмеченный нами ранее фактор, влияющий на волатильность цены облигации, – доходность к погашению. При прочих равных, чем выше уровень доходности, тем ниже волатильность цены. Так же обстоит дело и с модифицированной дюрацией. Пример тому – собранные в таблице данные о модифицированной дюрации 25-летней облигации с 9 %-ным купоном при различных уровнях доходности:

Аппроксимация процентного изменения цены. Умножив обе части выражения (4.8) на величину изменения требуемой доходности (dy), мы получим следующее отношение:

Формула (4.11) может использоваться для аппроксимации процентных изменений цены при данных изменениях требуемой доходности.
В качестве примера рассмотрим 25-летнюю облигацию с купоном 6 %, торгующуюся по цене 70,3570 при доходности 9 %. Модифицированная дюрация облигации равна 10,62. Если доходность мгновенно возрастет с 9 % до 9,10 %, т. е. на +0,0010 (10 базисных пунктов), то аппроксимированное процентное изменение цены, согласно формуле (4.11), составит:
– 10,62 ? 0,0010 = –0,0106, или –1,06 %.
Из табл. 4.2 мы видим, что реальное процентное изменение цены составляет –1,05 %. Если же доходность вдруг упадет с 9 % до 8,90 % (падение на 10 базисных пунктов), то аппроксимированное процентное изменение цены, согласно формуле (4.11), окажется равным +1,06 %. Из табл. 4.2 мы знаем, что реальное процентное изменение цены равно +1,07 %. Мы видим, таким образом, что при малых изменениях требуемой доходности модифицированная дюрация дает хорошую аппроксимацию процентных изменений цены.
Допустим теперь, что изменения требуемой доходности велики: она возросла на 200 базисных пунктов и с 9 % увеличилась до 11 % (изменение доходности на +0,02). Аппроксимированное процентное изменение цены по формуле (4.11) равно:
– 10,62 ? 0,02 = –0,2124, или –21,24 %.
Насколько точна данная аппроксимация? Из табл. 4.2 видим: реальное процентное изменение цены составляет всего –18,03 %. Более того, если требуемая доходность падает на 200 базисных пунктов – с 9 % до 7 %, аппроксимированное процентное изменение цены, основанное на значении дюрации, составит +21,24 %, в то время как реальное процентное изменение будет равно +25,46 %. Модифицированная дюрация представляет процентные изменения цены, во-первых, неточно и, во-вторых, симметрично. Напомним, что выше мы писали о несимметричности взаимосвязи цена – доходность облигации при существенных изменениях доходности.
Формула (4.11) дает возможность по-новому интерпретировать модифицированную дюрацию. Предположим, что доходность некой облигации изменилась на 100 базисных пунктов. Тогда, подставив 100 базисных пунктов (0,01) в формулу (4.11), получим:

Модифицированная дюрация, таким образом, может быть интерпретирована как аппроксимированное процентное изменение цены при изменении доходности на 100 базисных пунктов.
Аппроксимация долларовых изменений цены. Модифицированная дюрация является приближением процентных изменений цены. Инвесторам, однако, бывает нужно узнать волатильность цены облигации в долларах. Напомним, что долларовая волатильность цены может быть найдена по формуле (4.2). Кроме того, умножение обеих частей равенства (4.8) на P дает:

Выражение справа принято называть долларовой дюрацией:
долларовая дюрация = = —модифицированная дюрация ? Р. (4.13)
Зная процентное изменение цены и стартовую цену, мы можем получить значение примерного изменения цены в долларах. Примерное изменение цены в долларах также может быть найдено посредством умножения обеих частей выражения (4.11) на Р:
dP = —модифицированная дюрация ? Р(dy).
Используя формулу (4.13), заменяем модифицированную дюрацию на долларовую. Получаем:
dP = —долларовая дюрация ? (dy). (4.14)
При малых изменениях требуемой доходности формула (4.14) дает неплохую оценку изменений цены. Рассмотрим, например, 25-летнюю 6 %-ную облигацию, торгующуюся по 70,3570 при доходности 9 %. Долларовая дюрация составит 747,2009. При росте требуемой доходности на 1 базисный пункт (0,0001) изменение цены для $100 номинальной стоимости равно:
dP = —$747,2009 ? 0,0001 = —$0,0747.
Из табл. 4.1 видно, что реальная цена равна 70,2824. Реальное ценовое изменение составит, соответственно, –0,0746 (70,2824 – 70,3570). Заметим, что долларовая дюрация при изменении цены на 1 базисный пункт равна ценовой стоимости базисного пункта.
Рассмотрим теперь ту же облигацию в ситуации существенного изменения требуемой доходности. Если требуемая доходность возрастает с 9 % до 11 % (т. е. на 200 базисных пунктов), то аппроксимированное долларовое изменение цены для $100 номинальной стоимости равно:
dP = —$747,2009 ? 0,02 = —$14,94.
Из табл. 4.1 мы знаем, что реальная цена этой облигации при требуемой доходности 11 % равна 57,6712. Таким образом, реальное падение цены составляет 12,6858 (57,6712 – 70,3570). Приблизительное долларовое изменение цены оказывается больше реального изменения. Обратную картину наблюдаем в ситуации падения требуемой доходности. Полученный результат согласуется с утверждениями, высказанными нами ранее. При существенных изменениях требуемой доходности как долларовая, так и модифицированная дюрации не дают адекватной аппроксимации реакции цены. При росте требуемой доходности дюрация представляет результат бо?льшим, чем он есть в действительности, занижая тем самым новую цену. Если требуемая доходность падает, дюрация представляет ценовые изменения меньшими, чем они на самом деле являются, таким образом занижая новую цену.
Более 800 000 книг и аудиокниг! 📚
Получи 2 месяца Литрес Подписки в подарок и наслаждайся неограниченным чтением
ПОЛУЧИТЬ ПОДАРОКДанный текст является ознакомительным фрагментом.