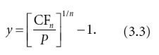
Особый случай: инвестиция с единственным денежным потоком
Долгой и трудоемкой процедуры подбора при определении доходности удается избежать в единственном случае, а именно: если от инвестиции в будущем предполагается всего один денежный поток. Если инвестиция характеризуется одним денежным потоком в период n (CFn), формула (3.2) сводится к следующему равенству:

Доходность у, таким образом, оказывается равной:

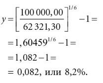
Продемонстрируем действие формулы на конкретном примере. Допустим, что финансовый инструмент, цена которого в настоящий момент составляет $62 321,30, должен через шесть лет принести $100 000. Доходность данной инвестиции, согласно формуле (3.3), будет равна 8,20 %, поскольку:

Обратите внимание на то, что отношение денежного потока в период n к цене финансового инструмента (т. е. CFn/P) представляет собой будущую стоимость инвестиции в $1.
Более 800 000 книг и аудиокниг! 📚
Получи 2 месяца Литрес Подписки в подарок и наслаждайся неограниченным чтением
ПОЛУЧИТЬ ПОДАРОКДанный текст является ознакомительным фрагментом.