Измерение выпуклости
Дюрация (модифицированная или долларовая) предполагает описание выпуклой функции с помощью прямой линии (касательной). Возможно ли найти математическую формулу, обеспечивающую лучшую аппроксимацию изменений цены на облигацию при изменении требуемой доходности?
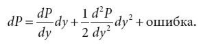
Попробуем применить первые два члена ряда Тейлора и аппроксимировать ценовые изменения следующим образом[23]:
(4.15)
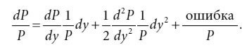
Делим обе части равенства (4.15) на Р и получаем процентное изменение цены:
(4.16)
Первый член правой части равенства (4.15) – это выражение (4.14), т. е. долларовое изменение цены, измеренное на основе долларовой дюрации. Таким образом, первый член в выражении (4.15) – искомая аппроксимация абсолютных ценовых изменений на основе дюрации. В выражении (4.16) первый член правой части равенства – аппроксимация процентных изменений цены на основе модифицированной дюрации.
Вторые члены выражений (4.15) и (4.16) включают вторую производную функции цены (уравнения (4.1)). Это та самая вторая производная, которую мы используем в качестве поправки для учета влияния выпуклости зависимости цена – доходность. Вторую производную цены принято называть долларовой мерой выпуклости облигации. Итак:
(4.17)
Произведение долларовой меры выпуклости и квадрата изменения требуемой доходности является предполагаемым ценовым изменением, обусловленным выпуклостью. Таким образом, аппроксимированное изменение цены, обусловленное выпуклостью, равно:
dP = долларовая мера выпуклости ? (dy)2. (4.18)
Вторая производная, поделенная на цену, – это мера процентного изменения цены облигации, обусловленного выпуклостью; ее называют просто мерой выпуклости. Итак:
(4.19)
А процентное изменение цены, обусловленное выпуклостью, равно:
(4.20)
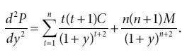
Вторая производная цены как функции доходности, выраженной согласно формуле (4.1), равна:
(4.21)
В табл. 4.7 и 4.8 приведены значения второй производной [формула (4.21)], годовой долларовой меры выпуклости и годовой меры выпуклости для двух пятилетних купонных облигаций. Мера выпуклости выражена в квадратах периодов. Для перевода меры выпуклости в годы следует поделить выражения (4.17) и (4.19) на 4 (т. е. 22). Таким образом, если денежный поток поступает m раз в году, выпуклость выражается в годах следующим образом:

Годовая долларовая мера выпуклости и годовая мера выпуклости для наших шести гипотетических облигаций выглядят следующим образом:


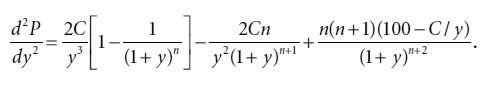
Вторая производная может быть также получена путем взятия второй призводной от выражения (4.9). Таким образом, мы можем упростить выражение (4.21):
(4.22)
В качестве примера использования формулы (4.22) рассмотрим 25-летнюю облигацию с купоном 6 %, торгующуюся по 70,357 при доходности 9 %. Вторая производная равна:

Обратите внимание на то, что полученное значение совпадает с результатом, найденным ранее.
Более 800 000 книг и аудиокниг! 📚
Получи 2 месяца Литрес Подписки в подарок и наслаждайся неограниченным чтением
ПОЛУЧИТЬ ПОДАРОКДанный текст является ознакомительным фрагментом.