Как научиться чувствовать настроение рынка
Эрланджер получил достаточно светское воспитание. Он вырос в красивом доме из коричневого камня, расположенном на крошечной нью-йоркской улочке в районе 67-ой улицы и Второй Авеню. Его соседями были звезды шоу-бизнеса Тони Беннетт (Tony Bennett) и Супи Сейлз (Soupy Sales). Отец владел компанией, производящей трикотажные ткани на фабриках в Массачусетсе (Massachusetts). Ткани продавались по всему миру, денег в семье было достаточно. Молодой Фил поступил в знаменитую христианскую школу Trinity School на острове Манхэттен. Знаменита она была в частности тем, что из нее выгнали Хамфри Богарта (Humphrey Bogart), а великий Джон Макинрой (John McEnroe) ее закончил.
В 1972 году Эрланджер поступил на факультет экономики и права Бостонского университета. Однако ему совсем не улыбалась идея стать адвокатом и провести остаток жизни в судебных прениях. Со временем его все чаще стала посещать мысль о карьере фондового брокера. Один из кузенов его сводного брата, работавший в известной компании Merrill Lynch, взял его однажды на торговую площадку фондовой биржи. Хотя время визита и пришлось на пору великого медвежьего рынка середины 70-х, но даже в подавленном состоянии фондовая биржа произвела на молодого человека незабываемое впечатление. Все сильнее убеждаясь в том, что Уолл-стрит именно то место, которое судьбою предназначено для него, Эрланджер начал посещать курсы эконометрики, которые особой пользы ему не принесли.
В те времена было сложно устроиться на работу после окончания обучения, так как многие брокеры оказались без работы. Он обзвонил буквально все брокерские конторы по всей протяженности Восточного побережья, по всем телефонам, которые сумел обнаружить в справочнике. В конце концов, ему удалось получить место сотрудника трейдинговой фирмы, специализирующейся на опционах по товарным фьючерсам. Не будучи удовлетворенным своей должностью в этой компании, он обратился за помощью в агентство по найму. Волей случая, сотрудник, который разговаривал с Филом, в прошлом был брокером. Спустя две недели он ушел из агентства, поступив на работу по специальности в компанию Reynolds Securities. Уже в те годы Эрланджер не был человеком, мимо которого мог пройти малейший шанс на удачу. Он тут же занял освободившееся место в агентстве по найму, раздобыл номер телефона своего нового знакомого и стал докучать ему бесконечными просьбами о встрече с его боссом. Не мытьем, так катаньем он получил работу в этой брокерской компании, которая впоследствии стала называться Dean Witters Reynolds. Пройдя полугодовой курс обучения, он получил в свое распоряжение торговый терминал, телефон и кипу незаполненных ордеров. Фил вспоминает: «В то время я еще не понимал, что работа брокера больше похожа на продажу товаров по телефону». На первых порах ему было непросто заинтересовать людей, поскольку они никогда не слышали о его фирме. «Я звонил и представлялся, как Фил Эрланджер из Dean Witters Reynolds», – говорит он – «а в ответ слышал: «Что за аренду вы предлагаете?» Они полагали, что компания занимается рентой».
Затем молодой брокер начал работать в известной аналитической компании Merrill Lynch, где у него появились собственные клиенты, по счетам которых Фил и работал. Вскоре он узнал об ограниченном характере фундаментального анализа, который незаменим в процессе вовлечения вас в сделку, но бесполезен, когда приходится выходить из нее. «Одним из самых больших преступлений Уолл-стрит является пропаганда идеи, согласно которой успех в долгосрочном плане вам обеспечит покупка акций крупной компании при любом мало-мальски серьезном откате цены», – говорит он – «это сравнимо с советом менеджера казино, который уговаривает проигравшего продолжить делать ставки. Мол, рано или поздно должно повезти». Здоровая доля цинизма позволила ему заметить, что повальная влюбленность участников рынка в акцию обязательно приводит к ее падению. Таким образом, короткая продажа лучшего мнения Уолл-стрит почти всегда приводит к прибыли. Типичный пример из той эпохи – компания Eastern Airlines. Мало кто мог предположить, что популярная авиакомпания с астронавтом Фрэнком Борманом (Frank Borman) во главе, парк которой состоял из новых самолетов, может рухнуть в одночасье, даже в условиях экономической рецессии. Для своих клиентов Эрланджер покупал не акции компании, а выпускаемые ею облигации. Когда цена на корпоративные долговые обязательства начала падать, а доходность, соответственно, взлетела до немыслимых высот, аналитики продолжали выдавать рекомендации по их покупке. Он вспоминает, что уверенность в этих облигациях была столь несокрушимой, что он даже купил их на деньги своей семьи. Вскоре они полностью обесценились, породив в молодом брокере неистребимый скепсис по отношению к фундаментальному анализу и его способности определять реальную ценность плохо управляемой компании.
В Merrill Lynch Эрланджер никогда не был на первых ролях, поскольку аналитическая часть работы привлекала его более, нежели продажи. Боссы критиковали его за недостаточность усилий по маркетингу, но он упорно посвящал большую часть рабочего времени изысканию наилучших методов торговли. Он говорит: «Рынок – это живой организм. Ключевым моментом его функционирования следует считать временной фактор. Однако мои боссы не проявляли никакого интереса к моим попыткам его вычисления».
Ночное время и выходные дни Фил проводил за изучением методов технического анализа, вручную вычерчивая графики на миллиметровке. Он проштудировал множество книг, в том числе недавно вышедшую книгу Хамфри Ллойда (Humphrey E.D. Lloyd), в которой описывались скользящие средние линии. В конце 70-х он перешел на работу в другую брокерскую компанию, владевшую компьютером Apple II-Plus. На этой ЭВМ[18] была инсталлирована единственная в то время компьютерная программа построения графиков, разработанная аналитиком Джозефом Грэнвиллом (Joseph Granvill[19]). Вскоре Фил изучил язык программирования Apple Basic и создал первую в истории программу построения графиков фондовых индексов с наложенной на объемы торгов 10-дневной скользящей средней линией. «Если судить по сегодняшним меркам, то в ней нет ничего особенного, хотя в те времена это было фантастикой. Мы назвали ее Королем Уолл-стрит», – вспоминает он. Программа пользовалась большим спросом у брокеров. Ее первоначальная стоимость составляла 200 долларов, но Эрланджер повышал ее, пока она не достигла 1000 долларов. Брокеры тратили многие тысячи долларов на компьютеры, лишь бы иметь возможность пользоваться этой программой. Так был заложен фундамент его репутации в качестве аналитика. «В наше время этим «титулом» никого не удивишь, а в то время это было нечто!» – вспоминает он.
Технические аналитики тогда еще были аутсайдерами на Уолл-стрит. Они собирались вместе в небольших клубах, где обменивались интересными идеями со светилами масштаба Уолтера Мэрфи (Walter Murphy) из компании Merrill Lynch. Фундаментальные аналитики относились к ним как к разновидности «вуду». Но и тогда, если в компанию фундаментальных аналитиков попадал какой-то технарь, все стремились поговорить с ним по той простой причине, что суждения технического аналитика отличались большей ясностью даже в тех случаях, когда они оказывались неправильными. Однажды, в 1982 году, Эрланджер выступил с докладом в одном из клубов, попытавшись объяснить причины своего бычьего настроя, хотя в то время такой взгляд шел в разрез с настроением большинства участников рынка. В зале находился ведущий брокер компании Advest. После выступления Фила он купил его программу и рекомендовал аналитика руководству своей компании в качестве сотрудника отдела исследований. Молодой брокер был на седьмом небе от счастья: ему уже не нужно будет заниматься клиентами и продажами! Он говорит: «По мне, так это было настоящей нирваной!».
Он неплохо поработал в Advest, снабжая трейдеров компании рабочими идеями. Такие периодические издания, как Wall Street Journal и USA Today процитировали Фила, когда он заявил, что поднявшийся до отметки 1200 пунктов индекс Dow Jones Industrials уже больше никогда не опустится ниже 1000. «Если сейчас это трудно воспринять как акт героизма, то тогда, поверьте, было непросто набраться мужества и сказать такое», – со смехом вспоминает он – «Грэнвилл тут же отреагировал, назвав мои слова типичным примером энтузиазма, наблюдаемого на вершине рынка парой своих фраз». Но, начиная с 1982 года, он стал бороться с растущим рынком, упрямо склоняя его к медвежьему взгляду на жизнь. В конце концов, его перестали слушать. Та же история случилась с новым гуру теории волн Эллиотта Робертом Пректером (Robert Prechter). Изучение их наследия привело Эрланджера к выводу о чрезмерной сложности и запутанности теории Ганна (Gann) и эллиоттовских волн – слишком многочисленные правила позволяли варьировать интерпретациями.
«Одно из моих самых главных убеждений состоит в том, что концепция должна быть простой, равно как и метод ее применения на практике. Чем более сложна и непонятна идея – тем выше шансы остаться в дураках. Такие «штучки», как индикатор относительной силы (Relative Strength Index – RSI), которым клянутся многие технические аналитики, работают только процентов 50 всего времени. Вам же требуются «всепогодные» инструменты, позволяющие улучшить показатели торговли».
В Advest Эрланджер разработал подход, названный им «большой, очень большой философией»: чем сильнее чувство страха при открытии позиции, тем более успешной она окажется. «Чем труднее, болезненнее принятие решения о входе в рынок, тем выше шансы на успех», – утверждает он – «когда у меня дрожат коленки, дела идут неплохо. А вот когда открывая позицию, я ощущаю себя всадником на белом коне, то, как правило, вскоре с него слетаю». Он любит повторять, что в человеческом мозгу присутствует нечто, принуждающее нас к неправильному течению трейдерской мысли, из-за чего мы приятно чувствуем себя в момент совершения неправильного действия и, наоборот, нервничаем, поступая верно. Мы должны неутомимо, непрестанно работать над распознанием этого дьявольского нечто в нашем сознании. Например, если вы обратитесь к трейдерам или инвесторам с вопросом о том, предпочитают ли они покупку акции при регистрации ею новой рекордной вершины или же на новом минимальном значении, то большинство сделает выбор в пользу покупки в нижней точке. Согласно теории Эрланджера, это и есть следствие усилий «дьявола», поскольку покупка на дне подобна попытке поймать падающий кинжал, тогда как покупка на пике – это покупка силы движения.
В Advest Эрланджер тестировал все компьютерные программы, появляющиеся на рынке, включая и первую версию Tradestation[20], которая сейчас стала опорой Уолл-стрит. Однако прорыв в его торговом стиле, который позже стал торговой маркой Фила, произошел на другом участке инвестиционного фронта. Ему постоянно звонили журналисты и цитировали его в своих изданиях -он являлся голосом Advest. Как-то раз один из репортеров спросил его о коэффициенте коротких позиций за какой-то месяц. У него не было под рукой цифры, но он быстро ее вычислил, разделив текущий объем коротких позиций на средний дневной объем. В то время данные по коротким позициям акций публиковались самими биржами, а вот дневные объемы найти было непросто. После этого случая редакторы Wall Street Journal наводили справки исключительно у Фила, а с 1982 по 1988 год ежемесячная колонка по коротким позициям была отдана на откуп Эрланджеру.
В 1984 году ведущий обзорной части Wall Street Journal обратился к нему с просьбой объяснить механизм вошедших в моду коротких продаж с целью арбитража (arbitrage-related short selling). Эрланджер ответил, что на исследование этой проблемы у него уйдет недели две. Однако он готов к этому, если журналист обещает написать и опубликовать в своей колонке статью. Фил отправился на Нью-йоркскую фондовую биржу и, игнорируя заглядывавшего ему через плечо охранника, скопировал данные по коротким позициям за последние пять лет. Затем он ввел информацию по каждой бумаге в компьютер. Для этого ему пришлось ввести около 100 тысяч чисел.
Результат многих бессонных ночей не вместился в рамки газетной публикации, поскольку Эрланджер создал новый индикатор настроения рынка, названный им «коэффициентом коротких позиций, находящихся под угрозой» (At Risk Short Interest Ratio). В его распоряжении была единственная в мире база данных по коэффициентам коротких позиций для отдельных акций за последние пять лет. Будучи жадным, до подобной информации, Фил не мог отказать себе в удовольствии исследовать ее. Он вспоминает, что у него буквально отвисла челюсть, когда его взору предстала странная закономерность – каждый раз при многомесячном падении цены, доля коротких продаж по ней вначале резко возрастала, а затем стабилизировалась на высоких уровнях. После этого цена вступала в период консолидации, а затем – ралли, в процессе которого все короткие позиции могли исчезнуть. По словам Эрланджера, открывшаяся ему картина напомнила о святом Граале. Он начал анализировать акции по отдельным индустриям, таким как производство компьютеров или добыча меди. Везде было одно и тоже – резкий всплеск доли коротких позиций, который не являлся сигналом достижения самого дна, но когда короткие продажи достигали экстремальных объемов, следовало ожидать завершения значительной части падения.
Более того, пятилетние данные свидетельствовали о том, что доля коротких позиций колеблется от максимальных значений до нулевых и обратно, зеркально отражая флуктуацию цены акций. Так он пришел к двухфакторной модели прогнозирования цен, которая соединяла в себе поведение цены (относительная сила движения) и рыночный настрой (доля коротких продаж).
С философской точки зрения такая концепция имела смысл -небольшим объемам коротких продаж сопутствуют масштабные покупки с использованием маржинальных средств, поскольку быки испытывают восторг от той или иной бумаги. Последующее падение цены становится причиной неприятных болевых ощущений у большого количества участников рынка. Именно такие инвесторы, разочаровавшиеся в ценной бумаге, инициируют короткие продажи в огромных объемах. Эрланджер иронически называет свою двухфакторную модель «до боли простой», хотя она и требует обработки множества данных. По его словам, путь к успеху «усыпан раздавленными телами ленивых типов, поскольку, чтобы найти нечто стоящее, необходимо изрядно попотеть».
Он проработал в компании Advest 5 лет и покинул ее, заняв должность старшего технического аналитика в гигантском взаимном фонде Fidelity Investments со штаб-квартирой в Бостоне. Высокооплачиваемая работа подразумевала тесное сотрудничество с великими портфельными менеджерами и легендарными лидерами -Недом Джонсоном (Ned Johnson), Питером Линчем (Peter Lynch) и Джеффом Вайником (Jeff Vinik). Взамен ему пришлось отказаться от сотрудничества с прессой (Fidelity редко когда позволяет своим аналитикам раздавать интервью). Вскоре он приступил к разработке онлайновых фильтров для своих четырех моделей отбора акций по длинным и коротким позициям, рассмотрением которых мы займемся немного позже. По мере роста его авторитета внутри компании Фил постепенно становился признанным «пожарником», которого посылали «тушить пожары» на самых различных участках рынка – от бросовых облигаций до заморских рынков. «Портфельные менеджеры заходили ко мне посоветоваться перед тем, как совершить сделку стоимостью в полмиллиарда долларов. Прекрасное время!» – вспоминает он. Одна из его самых больших аналитических удач – рекомендация продать облигации казино Taj Mahal casino в Атлантик-Сити, подешевевших вскоре на 70 процентов, а также прогноз относительно японского фондового индекса Nikkei-225. В то время, когда этот индекс находился на уровне 30000 пунктов, Фил предсказал его падение до 10000.
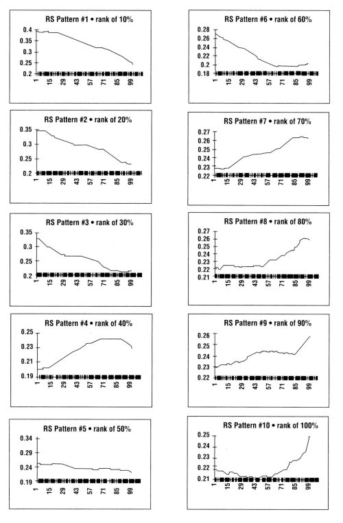
В Fidelity Эрланджер работал бок о бок с талантливыми математиками, разрабатывавшими сложные нелинейные рыночные модели. Сам же он был склонен добиваться большей простоты своих моделей. Опробовав с целью прогнозирования рыночных движений уйму индикаторов, Фил остановился на двух: индикаторе относительной силы движения – для цены и коэффициенте коротких продаж – для настроения рынка. В середине и конце 90-х годов он полностью сконцентрировался на совершенствовании своего понимания относительной силы движения цены. Результатом стала разработка компьютерной программы нелинейного распознавания моделей, классифицирующая 10 наиболее распространенных графических моделей движения цены акций в зависимости от ожидаемого уровня их доходности (см. рисунок 6-1). Теперь он мог вносить в свой компьютер тысячи и тысячи различных графиков, а программа систематизировала их по 10 группам в зависимости от выраженной в процентах вероятности последующего роста их цены (от 10 до 100 процентов). Свою базу данных относительной силы акций он продает экспертам и финансовым институционалам во всем мире как «фактор», работающий в сфере количественного анализа. Что еще более важно, при идентификации сильных акций-кандидатов на покупку и бумаг, подходящих для коротких продаж, он использует половину уравнения.
На пятом году работы в Fidelity у Эрланджера возник конфликт с некоторыми боссами, в ведении которых находились продажи, и он решил основать собственную компанию. Рынок переживал тяжелые времена, однако именно тяжелые времена были любимым коньком Эрланджера, поскольку тогда его модель сверкает особенным блеском. Действительно, его лучшими годами стали по настоящему медвежьи 2000-2002 годы. Он один за другим публиковал успешные прогнозы, в большинстве случаев посвященных коротким продажам, представляя их как институциональным клиентам, так и более чем 11 тысячам частным инвесторам, подписавшихся на новостные рассылки его сайта Erlanger Squeeze Play (см. рисунок 6-2).
Уход из Fidelity дал ему возможность проводить больше времени дома с любимой женой Джудит и чаще ездить в гольф-клуб. Фил любит путешествовать, нанося визиты своим клиентам по всей стране, отдавая все-таки, предпочтение таким местам, как Галечный пляж в Калифорнии. Его хобби, обучение охотничьих собак, позволяет Филу проводить массу времени на природе.
Ну, а теперь настала пора выяснить, каким образом Эрланджер охотится на торговые планы по свинг-трейдингу с временным масштабом.

Рисунок 6-1. Эрланджер разработал нелинейный алгоритм, позволяющий компьютеру мгновенно сортировать тысячи графиков, сводя их к 10 типовым моделям в зависимости от относительной силы ценового движения RSI. На данном рисунке представлены модели RSI, размещенные по возрастанию вероятности того, что последующее ценовое движение окажется восходящим. В технической «табели о рангах» Эрланджера RSI является главным индикатором.

Рисунок 6-2. На своем сайте www.ErlangerSqueezePlay.com Фил еженедельно публикует список акций-кандидатов на продажу и покупку, обновляемый каждый понедельник, а также ежедневный комментарий по рынку.
Более 800 000 книг и аудиокниг! 📚
Получи 2 месяца Литрес Подписки в подарок и наслаждайся неограниченным чтением
ПОЛУЧИТЬ ПОДАРОК