4.5. Интеллектуальная собственность. Рынок инноваций
Формирование рыночного механизма возможно лишь на основе соответствующих рынку экономических отношений. Это предполагает создание эффективного правового регулирования в сфере инновационной деятельности. Основой такого регулирования является институт интеллектуальной собственности, который отражает особенности экономических отношений в данной весьма специфической области.
Институт интеллектуальной собственности рассматривается как отношения по поводу владения, распоряжения, использования результатов интеллектуального труда. Его экономическое значение выражается в том, что объекты интеллектуальной, особенно промышленной собственности в форме патентов на изобретения, промышленные образцы, полезных моделей, товарных знаков и других объектов, выступают основой создания новейшей конкурентоспособной техники. На основе патентов развивается международный лицензионный обмен, рынок интеллектуальной собственности. Величина интеллектуальной собственности России оценивается экспертами в 400 млрд. долл.
Кража интеллектуальной собственности, продажа контрфактной продукции, её подделок под товарные знаки известных фирм приносят огромные убытки многим странам. Только прямые убытки ведущих российских и зарубежных фирм от подделок составляют в России более 1,5 млрд. долл. в год. Уровень подделок товаров народного потребления – 30 %, одежды и обуви – 40, косметики – 50, рыбных и мясных продуктов – 35, винно-водочных изделий – 60 %.
Роль института интеллектуальной собственности не ограничивается только ее юридической защитой. Меняется сам характер взаимоотношений между субъектами инновационной деятельности, патентообладателями и коммерческими структурами, резко возрастает роль рыночных факторов, особенно в развитии международного патентного обмена и внешней торговли в целом. Известно, например, как болезненно реагируют отдельные страны (США и др.) на использование ими запатентованных товаров в других странах (КНР, Россия и т. д.) вплоть до введения экономических санкций того или иного рода. Интеллектуальная собственность, таким образом, становится важнейшим видом товара, торговля которым приносит огромный экономический эффект. Но её эффективность выражается не только в суммах полученной прибыли, а прежде всего – в использовании передового научно-технического потенциала, в скорейшем внедрении новых технических решений, новой техники в производство и другие сферы жизни.
Институту интеллектуальной собственности (ИС) принадлежит особая роль в активизации инновационной деятельности. Это тем более важно, что ИС является одной из сфер международного сотрудничества, которая быстро развивается под эгидой прежде всего Всемирной организации интеллектуальной собственности (ВОИС). Наиболее динамично развивается сотрудничество в этой области между США и Японией, которые значительно опережают другие страны по количеству защищенных объектов промышленной собственности (ПС).
В соответствии с международной конвенцией, учредившей Всемирную организацию интеллектуальной собственности, под правом на интеллектуальную собственность понимается исключительное право на использование объектов ИС, т. е. таковым обладают только патентообладатели или лица, получившие лицензию от патентообладателей.
Объектами права могут быть продукты интеллектуального и творческого труда: произведения науки, литературы, искусства и некоторые виды творческой деятельности в сфере производства, в том числе открытия, изобретения, промышленные образцы, программы для ЭВМ, базы данных, экспертные системы, торговые секреты, товарные знаки, фирменные наименования и знаки обслуживания, т. е. объекты промышленной собственности, а также ноу-хау – конструктивные и технологические секреты производства.
В отличие от материальных объектов собственности интеллектуальная собственность распространяется на использование объектов ИС, но не на владение ими. В соответствии с законом “О собственности в РСФСР” 1991 г. объектами ИС могут быть продукты интеллектуальной и творческой деятельности, но не сама способность к труду. Поэтому в качестве вклада в уставной фонд при организации товариществ и акционерных обществ могут фигурировать объекты ИС, отражаемые как нематериальные активы, но не учёные степени и звания данного лица.
Защита интеллектуальной собственности осуществляется как международными, так и российскими специальными организациями. Участники Парижской конвенции по охране промышленной собственности, к числу которых принадлежит и Россия, представляют Всемирную организацию интеллектуальной собственности (ВОИС).
Формирование и проведение единой государственной политики в области правовой охраны промышленной собственности осуществляется Комитетом РФ по патентам и товарным знакам (Роспатент).
С 1 января 2008 года все 5 законов об охране интеллектуальной собственности отменены, её защита осуществляется Гражданским Кодексом (ч.1У, гл. 69–77).
Глава 70. Авторское право («копирайт») защищает права автора на произведение, авторство, на имя, на обновление. Объектами авторского права являются литературные, музыкальные художественные произведения, сценарии, а также программы для ЭВМ.
Права смежные с авторскими (гл.71) включают в себя правовую защиту исполнение артистами, дирижёрами, фонограммы, сообщения эфирного и кабельного вещания и баз данных.
Промышленная собственность защищена Патентным правом (гл. 72), объектами которого являются три её вида: изобретения, полезные модели и промышленные образцы.
Право на изобретение подтверждает патент на изобретение, свидетельство на полезную модель или патент на промышленный образец (кроме тех, которые являются секретными). Патент удостоверяет приоритет, авторство, даёт исключительное право на их использование. Патент на изобретение действует в течение 20 лет (с даты поступления заявки в Патентное ведомство) и может быть продлён ещё на 10 лет, свидетельство на ПМ – в течение 5 лет и продлевается по ходатайству патентообладателя, но не более чем на 3 года, патент на ПО – в течение 10 лет и продлевается не более чем на 5 лет.
Изобретение считается таковым, если оно является новым, т. е. не известным из уровня техники, имеет изобретательский уровень (для специалиста явным образом не следует из уровня техники) и полезно применимо, т. е. может быть использовано в промышленности, сельском хозяйстве, здравоохранении и других отраслях деятельности. Уровень техники включает в себя любые сведения, ставшие общедоступными в мире до даты приоритета изобретения.
Объектами изобретения являются:
• устройство (машины, приборы, механизмы, инструменты, аппараты, сооружения и т. п.);
• способ (технология, рецепт, транспортировка, регулирование, контроль, диагностика, измерение и др.);
• вещество (материалы, продукты генной инженерии, продукты ядерного превращения и т. д.);
• штамм микроорганизма (чистая его культура, выделенная из какого-либо одного источника);
• культура клеток растений и животных, кроме сортов растений и пород животных;
• применение известного ранее устройства, способа, вещества, штамма по новому назначению.
Не признаются патентоспособными изобретениями: научные теории и математические методы; методы организации и управления хозяйством; условные обозначения, расписания, правила; методы выполнения умственных операций; алгоритмы и программы для вычислительных машин (регулируются особым законом); проекты и схемы планирования сооружений, зданий и территорий; решения, касающиеся только внешнего вида изделий, направленные на удовлетворение эстетических потребностей; топологии интегральных микросхем (регулируются особым законом); сорта растений и породы животных; решения, противоречащие общественным интересам, принципам гуманности или морали, в том числе способы клонирования человека.
К полезным моделям относится конструктивное выполнение средств производства и предметов потребления, а также их составных частей. В качестве полезных моделей не охраняются способы, вещество, штаммы микроорганизмов, культуры клеток растений и животных.
К промышленным образцам относится художественно-конструкторское решение изделия, определяющее его внешний вид. Не признаются патентоспособными ПО решения, обусловленные исключительно технической функцией изделия, объекты архитектуры (кроме малых архитектурных форм), печатной продукции как таковой, объекты неустойчивой формы из жидких, текучих или им подобных веществ.
Патент выдается либо автору (авторам) изобретения, полезной модели, промышленного образца, либо физическим и юридическим лицам, которые указаны автором или его правопреемником в заявке на выдачу патента, а также работодателю, если объект патентования создан в ходе выполнения работником своих служебных обязанностей. Авторами изобретения признаются лица, творческим трудом которых оно создано. Лица, не внесшие личного творческого вклада в создание изобретения, его авторами не признаются.
Патентообладателю принадлежит исключительное право на использование изобретения, полезной модели и промышленного образца, т. е. использование по своему усмотрению, включая право на запрещение его применения другими лицами.
Промышленная собственность охраняется также правами на селекционные достижения (гл.73), на топологии интегральных микросистем (гл.74), на секреты производства – ноу-хау (гл.75), на средства индивидуализации юридического лица, товаров и услуг, предприятий и информационных ресурсов (гл. 76), а также использования результатов интеллектуальной деятельности в единой технологии (гл.77).
Под товарным знаком (для продуктов) и знаком обслуживания (для услуг) понимаются зарегистрированные обозначения, способные отличать товары и услуги одних фирм от однородных товаров и услуг других фирм. На зарегистрированный товарный знак выдается “Свидетельство на товарный знак”, которое действует в течение 10 лет и может быть продлено каждый раз на 10 лет. В качестве товарных знаков могут быть использованы словесные, изобразительные, объёмные в любом цвете обозначения или их комбинации. Допускается регистрация коллективного знака – знак союза, ассоциации, объединения.
Товарный знак (товарная марка[28]) служит ориентиром при выборе товара и выполняет следующие функции:
• указывает на наличие соответствующего качества товара;
• выделяет товар из однородных товаров других производителей;
• показывает источник происхождения товаров через их внесение в реестр товарных знаков;
• обеспечивает производителю известность о других товарах, позволяет занять своё место на рынке, выполняет роль рекламы.
Товарные знаки являются важной составляющей торговли промышленной собственностью и стоимости предприятия (бизнеса). Торговые марки известных фирм оцениваются миллиардами долларов. Так, торговая марка фирмы «Кэмэл» (США) стоит 6 млрд. долл.
Стоимостная оценка интеллектуальной собственности осуществляется в соответствии со стандартами Ассоциации оценщиков интеллектуальной собственности IPEA и Российского общества оценщиков, а так же со стандартами МКСОИ – оценки имущества. В зависимости от целей оценки используются различные виды стоимости: рыночная – цена, по которой в день оценки объекта интеллектуальной собственности (О.И.С.) мог быть куплен на открытом конкурентном рынке: инвестиционная – стоимость объекта И. С. для инвестора.
Процедура оценки интеллектуальной собственности включает в себя:
– экспертизу объекта И. С. – поверка факта наличия О.И.С. и факты их использования;
– экспертизу охранных документов – наличие патентов, свидетельств по территории и срокам;
– экспертизу прав на И. С. – поверка документов, подтверждающих право на О.К.С., в том числе учредительных договоров о передаче имущественных прав в уставные фонды, контракты или авторские договоры, акты приема – передачи прав;
– проведение оценочных расчетов: выбор методов оценки, сбор и анализ информации, расчёт стоимости по выбранным методам, согласование расчетов по этим методам, написание отчета об оценке (указание цели оценки, образ применения, даты оценки и др.), а так же наличие допущений или отклонений от стандарта.
Стоимость объекта И. С. может быть рассчитана следующими методами:
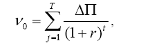
– метод преимущества в прибыли:

где ? П – дополнительная прибыль, равная разности между прибылью, полученной при использовании изобретений, и прибыли без использования его; Т – срок получения дополнительной прибыли (для изобретений – 20 лет), ноу-хау – 5 лет, по отдельным договорам – от 2 до 10 лет; r – норма дисконта.
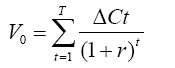
– метод выигрыша в себестоимости:

где ? С – экономия на затратах в результате использования О.И.С.
– метод избыточных прибылей применяется для оценки деловой репутации (гудвилл), ее стоимость определяется путем капитализации избыточной прибыли:

где Пф – фактическая чистая прибыль (ЧП) оцениваемая предприятием,
П0 – ожидаемая ЧП, определяемая путём умножения среднеотраслевой рентабельности собственного капитала на величину рыночной стоимости чистых активов предприятия;
r – коэффициент капитализации, равный обратной величине количеству приносящих избыточную прибыль лет.
– метод стоимости создания используется для оценки затрат на НИОКР, лицензий на право занятия определенным видом деятельности:
V0 = к1 · к2 · к3
где З – сумма всех затрат на НИОКР,
к1, к2, к3 – коэффициенты технико-экономической значимости (для изобретений полезных моделей: 1,0–5,0), коэффициент морального старения (к2=1-Тд/Тн, Тд и Тн – действительные и номинальные сроки службы).
Количественная оценка интеллектуальной собственности играет весьма важную роль в практике хозяйствования, образуя весомую часть инвестиций в производство, ее стоимость участвует в уставном капитале предприятий. Поэтому возникает вопрос ее отражения в отчетности хозяйствующих субъектов.
В России с 1991 года в действующий план бухгалтерских счетов введен новый счет 04 “Нематериальные активы” для всех предприятий, имеющих самостоятельный баланс. Нематериальные активы отражаются в годовом бухгалтерском балансе по сумме затрат на их приобретение. На этом счете и находят отражение стоимость объектов промышленной собственности (патенты, изобретения, товарный знак, секреты производства и прочие новшества), а также авторские права на произведения литературы и искусства, программное обеспечение для ЭВМ. В бухгалтерской отчетности не находят отражение незапатентованные (официально не зарегистрированные) инновации, поскольку основными документами, удостоверяющими факт приобретения прав на промышленную собственность, являются либо патент, либо лицензия (разрешение автора) на использование объекта другими лицами. Не отражаются в нематериальных активах и творческие возможности авторов, хотя некоторые авторы предлагают включать различного рода способности (престиж, авторитет, знания и т. п.) в качестве уставного капитала, т. е. давать им денежную оценку.
Рынок инноваций. Эффективность инновационной деятельности выявляется на рынке инновационного продукта через конкурентоспособность новой продукции. Особенностью данного сегмента рынка является то, что продукция выступает как в вещественной форме (техника, технология, материалы), так и в невещественной (патентов, ноу-хау). В инновационной сфере наблюдается жёсткая и не всегда добросовестная международная конкуренция.
Рынки инноваций – это рынки интеллектуальной собственности, рынки сделок по переуступке прав на объекты ИС. В России организацией, ведущей торговлю ИС, является Лицензиторг. Разработана “Система сертификации и оценки объектов ИС”, зарегистрированная Госстандартом.
Спрос на инновационную продукцию не носит массового характера, вместе с тем она оказывает существенное влияние на рынке традиционной продукции через создание новых более совершенных изделий.
Для управления спросом необходимо анализировать факторы, воздействующие на величину и характер спроса (детерминанты спроса).
Состояние рынка инноваций и новой продукции характеризуют такие виды спроса:
• отрицательный спрос, отражающий неприятие потребителями товара: психологическая неподготовленность, ощущения вреда и т. п.;
• отсутствие спроса – отсутствие заинтересованности в той или иной продукции или незнание о ней, о ее качестве;
• скрытый спрос – отражает невозможность удовлетворения потребителей за счет уже имеющейся на рынке продукции и появление желания заменить традиционные виды изделий на новые;
• нерегулярный спрос обусловлен возникновением колебаний спроса во времени;
• полноценный спрос означает переход нововведения в стадию зрелости, когда обеспечивается соответствие спроса и предложения. Различают также чрезмерный (повышенный) спрос и нерациональный спрос (спрос на вредные для человека изделия).
Динамика объёма инновационной продукции в России представлена в табл. 4.2. Доля принципиально новой продукции пока ещё невысока (около 10 %).
Таблица 4.2
Инновационная продукция в России[29]

Инновационная продукция по регионам России распределена весьма неравномерно: наибольшая её доля приходится на Москву и Московскую область, на г. Санкт-Петербург. Весьма низка её доля в Ивановской области.
Одной из разновидностей рыночных отношений в инновационной сфере является лицензионная деятельность, бурное развитие которой наблюдается в послевоенный период Патентно-лицензионный обмен особенно характерен для ведущих индустриальных стран. Более 90 % мирового патентно-лицензионного обмена приходится на 11 стран. Крупнейшим мировым лицензиаром являются США, на долю которых приходится свыше половины общей суммы доходов. Крупнейшим покупателем лицензий остается Япония. Для Японии характерен динамизм патентно-лицензионного обмена. Крупными лицензиарами являются ФРГ, Англия, Италия. Объёмы продаж инновационной продукции России с зарубежными странами показаны в табл. 4.3.
Таблица 4.3
Патентно-лицензионная торговля России с зарубежными странами в 2011 г.[30]

Приобретение и продажа лицензий является высокоэффективной сферой деятельности:
• обеспечивается широкое использование мирового научно-технического потенциала; сокращаются сроки достижения мирового уровня отечественной техники. Так, Япония за 25 послевоенных лет заключила 32 тыс. лицензионных соглашений и контрактов на приобретение технологий, 20–30 % всех новых инвестиций в Японии связано с закупкой лицензий. На базе лицензий производилось 62 % котельного оборудования, 74 % радиоустройств, 98 % телевизоров, 100 % вертолетов. в 60-е годы сократила свое отставание от США с 20–30 лет до 10–15 лет, а в настоящее время превзошла их уровень в ряде областей техники;
• экономятся затраты на проведение собственных научных исследований.
Лицензионная торговля обладает определенными особенностями:
1. При заключении лицензионных соглашений сохраняется право собственности на предмет соглашения за лицензиаром (продавцом лицензии), если при этом не продается патент.
2. Наблюдается срочный характер лицензионного соглашения. Период его действия ныне не превышает, как правило, 5–7 лет, реже – 8– 10 лет, чаще он составляет 1–2 года.
3. Лицензионное соглашение имеет территориальный характер своего действия, т. е. исключается право использования лицензии или продукции, созданной на ее основе, для отдельных стран, в которых применяемые изобретения не запатентованы.
4. Оговариваются специальные условия о “ноу-хау”, т. е. конструктивных и технологических секретах производства, не обеспеченных патентной защитой. Срок их действия ниже, чем лицензий – 3–5 лет.
5. Предусматривается взаимообмен научно-техническими достижениями по усовершенствованию объектов лицензионного соглашения.
6. Используются специфические формы расчета между продавцом лицензии и ее покупателем – лицензиатом.
Оплата (цена лицензии) определяется лицензионным соглашением и зависит от величины экономического эффекта применения лицензии, а также от ряда других факторов (отрасль, в которой лицензия будет использована, ожидаемый объем выпуска, предстоящие расходы по эксплуатации новой техники, надежность правовой защиты и т. п.). В мировой практике используются две основные формы платежей по лицензии:
• паушальный платеж – выплата твердой суммы, одновременная или в рассрочку (как правило, в 2–3 приема);
• платеж в форме роялти – периодических процентных отчислений в течение срока действия лицензионного соглашения либо с суммы продаж, либо в зависимости от цены продукции. Оплата в форме отчислений – наиболее распространенная форма платежей (в США до 90 % компаний используют роялти). Размер роялти составляет 25–35 % ожидаемого дохода от использования лицензии.
Лицензия представляет собой разрешение отдельным лицам или организациям использовать изобретения, защищенные патентом, технические знания, технологические и конструкторские секреты производства (“ноу-хау”), товарный знак и т. п. Лицензирование осуществляется путем заключения договора – лицензионного соглашения об уступке объекта интеллектуальной собственности. В соглашении определяется производственная сфера и территориальные границы использования предмета лицензии.
Лицензионные соглашения делятся на самостоятельные, когда технология передается независимо от места и условий их предстоящего использования, и сопутствующие, когда одновременно с лицензией заключается контракт на строительство, поставку оборудования или оказание инжиниринговых услуг. Лицензии при этом могут быть патентными (без соответствующего “ноу-хау”) и беспатентными (без патента на изобретение).
В мировой торговле существуют предварительные (опциональные) лицензионные соглашения, при которых лицензиат обязуется не разглашать и не использовать до момента заключения лицензионного договора сведений, полученных от лицензиара. Действует практика покупки лицензий на научный задел (на результаты фундаментальных исследований, на законченные конструкторские разработки, не освоенные в производстве).
Существуют следующие виды лицензий:
• исключительная, при которой лицензиату предоставляются исключительные права на использование изобретения;
• неисключительная (простая), в этом случае лицензиату предоставляются неисключительные права на использование охраняемого патентом изобретения с сохранением за лицензиаром прав на предоставление лицензий третьим лицам;
• открытая (лицензия по праву), выдаваемая по заявлению патентообладателя лицу, заявившему о своем желании использовать охраняемое патентом изобретение, при этом патентообладатель не имеет такой возможности;
• принудительная – лицензия, выдаваемая компетентным государственным органом по заявлению лица, желающего и готового использовать охраняемое патентом изобретение, если патентообладатель не использовал его в течение 5 лет с даты внесения изобретения в Государственный реестр изобретений;
• кросс-лицензия, предусматривающая взаимный обмен правами на использование объектов промышленной собственности, знаний и опыта (предоставляется в тех случаях, когда стороны не могут осуществлять свою производственную деятельность, не нарушая прав друг друга);
• возвратная, при выдаче которой лицензиару предоставляются права на использование усовершенствований объектов техники или технологии, разработанных лицензиатом;
• сублицензия, предусматривающая предоставление лицензии третьим лицам (по объему передаваемых прав соответствует простой лицензии).
Часть лицензий предоставляется одновременно с продажей оборудования, комплектующих изделий, материалов. Кроме того, лицензиар может оказывать лицензиату инжиниринговые услуги: проводить изыскания, осуществлять строительство объекта, монтировать и налаживать оборудование.
Объект лицензии может реализоваться на одной из трех стадий: идеи, технического решения и промышленного освоения. В стадии идеи объект не оформлен как техническое решение и не имеет правовой защиты. Лицензии на такие объекты приобретаются в основном за условное единовременное вознаграждение.
На стадии технического решения объектом лицензионного соглашения является технически осуществляемое запатентованное изобретение. Основную ценность на данной стадии представляют патентные права, поскольку объект еще не готов к промышленному использованию. Доля лицензиара в этом случае составляет около 20 % возможной прибыли лицензиата.
На стадии промышленного освоения объектом лицензионного соглашения служат юридически защищенное изделие и технологический процесс. Доля продавца может составлять 35–50 % прибыли при выдаче исключительной лицензии, 20–30 % – при выдаче простой лицензии.
В связи с трудностью определения прибыли от использования лицензии в качестве базы для исчисления размеров лицензионного вознаграждения принимается чаще стоимостной объем реализуемой продукции или другие показатели.
Самым простым и надежным способом определения ставок роялти является использование стандартных ставок (отраслевых роялти), вырабатываемых практикой лицензионной торговли. В связи с изменением конъюнктуры в течение срока действия лицензионного соглашения предусматривается возможность применения подвижной шкалы платежей и ставок роялти, дифференцированных по срокам действия лицензионного соглашения, объему производства и уровню цен на рынке. Для отражения изменения ценности денег в будущем (фактора времени) используются коэффициенты дисконтирования, учитывающие снижение ценности наличных денег от момента их получения (банковский процент).
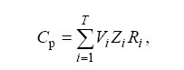
Цена лицензии в форме роялти в случае исчисления лицензионных платежей по стоимостному объему реализованной продукции рассчитывается по формуле:

где Vi, Zi, – планируемый объем и цена единицы реализуемой продукции в i-м году,
Ri – ставка роялти в i-м году (в виде % от стоимости продаж),
T – срок действия лицензионного соглашения.
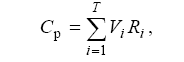
Если за базу исчисления лицензионных платежей принимается физический объем реализуемой продукции, цена лицензии равна:

где Ri – ставка роялти в i-м году,
T = срок лицензионного соглашения.
Расчетная цена лицензии в форме паушального платежа определяется по формуле:

где кi – коэффициент дисконтирования.
Более 800 000 книг и аудиокниг! 📚
Получи 2 месяца Литрес Подписки в подарок и наслаждайся неограниченным чтением
ПОЛУЧИТЬ ПОДАРОК