9.6. Переход от безусловных конструкций САРМ к условным (как меняется соотношение «риск – доходность» в периоды положительных и отрицательных премий за рыночный риск)
В работе [Pettengill et al., 1995] отмечалось, что расчет бета-коэффициента и тестирование САРМ по панельным данным доходности ценных бумаг, в которых реализованные (фактические, realized) доходности выступают как прокси ожидаемых значений доходности, могут приводить к смещенным результатам оценки параметров. Причиной данного смещения является агрегирование периодов с положительными и негативными избыточными доходностями (excess return periods). Авторы предположили, если рыночная доходность оказывается меньше безрисковой, может наблюдаться обратная связь между доходностью ценной бумаги (портфеля) и бета-коэффициентом. Таким образом, вместо безусловной (unconditional) модели САРМ, целесообразно рассматривать условные модели и тестировать условную систематическую связь фактической доходности портфеля (актива) и его меры риска. Гипотеза исследования – условные модели лучше объясняют связь доходности и риска.
Условные (conditional) модели строятся на разграничении положительной и отрицательной премии за рыночный риск, наблюдаемой в отдельные моменты времени. Разграничение при эмпирических тестированиях достигается путем разделения полного ряда данных на подпериоды растущего (up market) и падающего (down market) рынков и оценки объясняющих коэффициентов (бета, бета одностороннее, гамма, дельта) отдельно для каждого подпериода. Соответственно и тестирование САРМ реализуется в рамках выделенных подпериодов.
Гипотеза, тестируемая в условных моделях: на растущем (падающем) рынке, систематические меры риска и доходность акций меняют знак зависимости. В периоды, когда безрисковая доходность превышает рыночную доходность, наблюдаются обратные связи между фактическими доходностями и бета-, гамма– и дельтакоэффициентами [Galagedera et al., 2004].
Эмпирическое исследование на американском рынке за 1936–1990 гг. [Pettengill et al., 1995] подтверждает эту гипотезу. Наблюдается положительный наклон бета-коэффициента на растущем рынке и отрицательный на падающем. В исследовании [Crombez, Vennet, 2000] на основе сопоставления безусловной и условной систематической связи доходности и риска (бета) на брюссельской фондовой бирже показано, что безусловные модели обладают низкой способностью объяснять наблюдаемые кросс-секционные различия, в то время как условные модели демонстрируют гораздо лучшие результаты. В работе [Friend, Westerfield, 1980] по данным американского рынка акций сопоставляются бета и гамма (систематическая асимметрия) как меры риска. Авторы доказывают, что бета существенна как на растущем, так и на падающем рынках, и знак премии за риск согласуется с теорией САРМ, в то время как систематическая асимметрия имеет место в объяснении доходностей только на растущем рынке.
В работе по австралийскому рынку [Galagedera et al., 2003] на отрезке 1990–2000 гг. авторы также тестируют гипотезу, что на падающем рынке бета-, гамма– и дельта-коэффициенты как показатели систематического риска должны иметь между собой отрицательную связь.

В работе [Harvey, Siddique, 1999] авторы проводят тестирование однофакторной модели ценообразования активов, где единственным фактором является систематический риск, измеряемый бета-коэффициентом, и получают неудовлетворительные результаты в объяснении кросс-секционной вариации фактических доходностей акций на американском рынке за период с июля 1963 г. по декабрь 1993 г. Авторы находят убедительные доказательства того, что и систематическая асимметрия, и соответствующая ей премия за риск изменяются во времени. Авторы предполагают, что если инвесторы знают, что доходности акций имеют условную систематическую асимметрию в момент t, то ожидаемые доходности должны включать компоненту, характеризующую условную систематическую асимметрию. Предлагаемая авторами модель ценообразования активов формализует это предположение путем включения дополнительного фактора – условной систематической асимметрии. В работе [Harvey, Siddique, 1999] авторы тестируют разные спецификации модели на основе доходностей построенных портфелей и отдельных акций. Портфели формируются на основе разных критериев, таких как принадлежность к отрасли, размер компании, отношение балансовой стоимости к рыночной и систематическая асимметрия. Вывод исследования – систематическая асимметрия влияет на ценообразование, премия за риск, ассоциируемый с асимметрией, составляет в среднем 3,6 % в год. В целом делается вывод, что модель с включением условной систематической асимметрии более точно объясняет различия в доходности акций.
Д. Смит [Smith, 2007] представил результаты тестирования условной версии САРМ 3-го порядка. Смит утверждает, что систематическая асимметрия является важным фактором в объяснении доходностей акций, инвесторы в большей степени учитывают риск систематической асимметрии в ситуации, когда рынок в целом характеризуется положительной асимметрией, чем когда распределение рыночного портфеля скошено отрицательно. Когда рынок положительно скошен, инвесторы готовы пожертвовать 7,87 % доходности при изменении систематической асимметрии на единицу в год. Однако когда рынок отрицательно скошен, инвесторы требуют премию за риск только в размере 1,8 % годовых. Схожие оценки были получены также в работе [Harvey, Siddique, 1999]. Премия за риск систематической асимметрии равна 5 % в год, когда рынок положительно скошен, и только 2,81 % в год, когда рынок демонстрирует отрицательную асимметрию.
Еще один интересный результат получил Д. Смит [Smith, 2007] – сопоставление факторов объяснения доходности с включением систематической асимметрии с тремя факторами модели Фама – Френча [Fama, French, 1993]. Показано, что добавление условной систематической асимметрии к трем факторам Фама – Френча (премия за размер компании и отношение балансовой стоимости к рыночной, BV/MV) улучшает качество модели по сравнению с оригинальной моделью.
Значимость условных моделей продемонстрирована и на рынке Тайваня. В работе [Chiao et al., 2003] приведены результаты тестирования расширенной модели ценообразования финансовых активов с добавлением моментов более высоких порядков. Исследуется 25-летний временной отрезок с января 1974 г. по декабрь 1998 г. Авторы доказывают, что безусловная модель САРМ демонстрирует низкую объясняющую способность на фондовом рынке Тайваня, несмотря на включение систематической асимметрии и систематического эксцесса. Когда безусловная четырехмоментная САРМ была расширена до условной модели, делящая выборку для растущего и падающего рынков, результаты тестирования оказались более статистически значимыми. Инвесторы предпочитают акции, распределение доходностей которых характеризуется положительной асимметрией и отрицательным эксцессом.
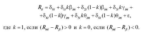
Для российского рынка тестирование условных моделей предполагало на двух отрезках (2004–2007 гг. и 2008–2010 гг.) выделение подпериодов положительной рыночной премии за риск – up market и подпериодов отрицательной рыночной премии за риск – down market. В табл. 9.25 представлены оценки премий за риск в двухмоментной (классической) условной спецификации САРМ, а также результаты тестирования расширенной условной модели с введением систематической асимметрии и систематического эксцесса.
Как и предполагалось, премия за риск систематической скошенности отрицательна на растущем рынке и положительна на падающем. Движения на падающем и растущем рынках оказывают существенное асимметричное влияние на премию за бета-риск. Согласно результатам тестирования на российском рынке премия за бета-риск во всех моделях положительна и статистически отлична от нуля на растущем рынке, и отрицательна и статистически значима на 5 %-м уровне на падающем рынке, как и предполагалось. Объяснительная способность двухмоментной САРМ (однофакторной) с классическим бета-коэффициентом (средний за весь период AdjR2 равен 32 %) на падающем рынке значительно выше, чем качество модели на рынке с положительной рыночной премией за риск (средний за весь период AdjR2 равен 11 %).
Таблица 9.25
Премии за риск в конструкции «средняя – стандартное отклонение» в условной САРМ

* 5 %-й уровень значимости.
Значимость условных моделей значительно возрастает для периодов финансовой нестабильности и периодов отрицательной рыночной премии (объяснительная способность возрастает до 37,5—45,6 % значения Adji?2). Этот вывод относится как к однофакторной модели (рыночный бета-коэффициент), так и к моделям с введением гамма– и дельта-коэффициентов (табл. 9.26 и 9.27). Включение в модель систематической асимметрии повышает объяснительную способность модели.
Таблица 9.26
Результаты тестирования условной расширенной САРМ (трехфакторная модель)

Примечание. Условная расширенная трехфакторная модель САРМ – mean-skewness-kurtosis framework.
Кросс-секционный анализ четырехфакторной САРМ доказывает, что премии за риск беты и гаммы отрицательны, премия за риск эксцесса положительна, переменные статистически не значимы, однако скорректированный коэффициент детерминации (Adji?2) принимает высокое значение равное 48 %.
Таблица 9.27
Результаты тестирования условной расширенной САРМ (четырехфакторная модель)

Примечание. Условная расширенная четырехфакторная модель САРМ – mean-skew-ness-kurtosis framework, four – moment conditional САРМ.
Главный вывод, полученный из тестирования условных моделей, заключается в том, что использование моделей с учетом дифференциации периодов с положительной и отрицательной рыночной премией за риск гораздо в большей степени по сравнению с моделями одностороннего риска позволяет объяснить различие доходностей по активам выборки.
Более 800 000 книг и аудиокниг! 📚
Получи 2 месяца Литрес Подписки в подарок и наслаждайся неограниченным чтением
ПОЛУЧИТЬ ПОДАРОК