9.3. Односторонние меры риска в объяснении различий доходности по акциям
Одним из направлений развития конструкции САРМ стали модели, включающие вместо традиционного бета-коэффициента односторонние меры систематического риска (expected return – semivariance capital asset pricing model). Первые модификации шли по пути замены традиционного бета, как отношения двусторонней ковариации доходности актива (портфеля) и рынка к дисперсии доходности рынка, на односторонний бета-коэффициент. Следующий шаг – замена рыночного систематического риска на систематическую асимметрию и систематический эксцесс, тестирование как однофакторных, так и многофакторных моделей, учитывающих несколько аспектов диагностирования риска.
В работе В. Хогана и Дж. Варрена [Hogan, Warren, 1974] односторонняя ковариация (cosemivariance – CSV) между рыночной доходностью (RM) и доходностью актива (Ri) представляет собой копию ковариации в рамках традиционного подхода, но учитывает односторонние отклонения:
CSVRr(RM,Ri)=E:{(Ri-RF)min[(RM – RF), 0]}.
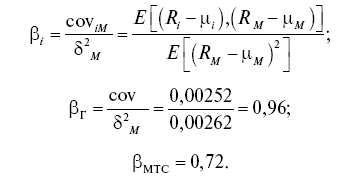
Путем деления односторонней ковариации на полувариацию рыночного портфеля авторы предложили следующую меру одностороннего риска (бета-коэффициент Хогана – Варрена, далее обозначение – HW-beta):

В данном представлении одностороннего риска следует отметить три момента. Во-первых, при расчете риска фиксируются не все отклонения вверх и вниз, а только левосторонние – вниз. Во-вторых, используется левостороннее отклонение только по рыночной доходности min(RM-Rf,0)), а не по доходности актива i, и осуществляется нормирование не с помощью дисперсии рыночного портфеля, а через левостороннюю дисперсию рыночной доходности (доходности рыночного портфеля). Заметим, что по доходности актива учитываются как правосторонние, так и левосторонние отклонения. В-третьих, в формуле HW-beta присутствует безрисковая ставка процента (Rf) как бенчмарк для фиксации ситуации потерь (одностороннего риска). Таким образом, безрисковая доходность на рынке играет роль целевого уровня доходности инвестирования в модели HW.
Заменяя традиционный бета-коэффициент на односторонний аналог, авторы доказывают корректность применения ES-САРМ (модели ценообразования финансовых активов, основанной на подходе «ожидаемая доходность – односторонняя вариация», expected return – semivariance capital asset pricing model). Ожидаемая доходность в рамках ES-CAPM записывается следующим образом:

где E(Ri) – требуемая (и ожидаемая) доходность на актив i; RF – безрисковая ставка процента; E(RM) – ожидаемая рыночная доходность; SV (RM) – односторонняя вариация рыночного портфеля; CSV (RM,Ri) – односторонyzz ковариация между доходностью актива i и рыночным портфелем с принятым бенчмарком на уровне безрисковой ставки. Премия за риск инвестирования в актив находится в линейной зависимости от систематического риска этого актива, но в данном случае измеряемого не традиционным бета-коэффициентом, а односторонним бета-коэффициентом.
Опираясь на модель частичных моментов низших порядков (Lower Partial Moment – LPM), предложенную в 1975 г. В. Бава [Bawa, 1975], в работе В. Бава и Э. Линденберга [Bawa, Lindenberg, 1977] получила развитие еще одна равновесная модель формирования доходности активов с введением односторонней меры риска: «среднее – частичные моменты низшего порядка» (Mean-Lower Partial Moment Model – MLPM). Односторонний бета-коэффициент (BL-beta) в этой конструкции рассчитывается следующим образом:

где CLPMn(RF; М, j) определяется как систематическая мера риска (co-LPM) порядка п между активом j и рыночным портфелем (М):

В целом LPMn(RF;M) (моменты низших порядков) представляет собой меру оценки одностороннего риска – одностороннюю дисперсию, только с учетом определенного вида функции полезности (n-степенной) и записывается следующим образом:

LPM0 нулевого порядка соответствует всем функциям полезности инвесторов, которые предпочитают линейный рост доходности (u' > 0). LPM1 1-го порядка включает все функции полезности, характерные для инвесторов – противников риска (u' > 0 и u" < 0). LPM2 (2-го порядка) характеризует инвесторов, не только не склонных к риску, но и обладающих смещенными предпочтениями (u' > 0, u" < 0 и u'" > 0). Отметим, что, фиксируя n на 2-м уровне (т. е. выбирая общеупотребимую в теории финансов функцию полезности инвесторов), модель MLPM [Bawa, Lindenberg, 1977] преобразуется до модели ES-CAPM [Hogan, Warren, 1974]. Для расчета одностороннего бета-коэффициента Бава и Линденберг [Bawa, Lindenberg, 1977] в качестве целевой нормы доходности (бенчмарка), как и в работе [Hogan, Warren, 1974], используют безрисковую ставку процента.
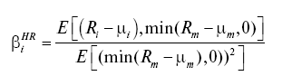
В еще одной модели, развивающей конструкцию САРМ, – модели Харлоу и Pao [Harlow, Rao, 1989] – также используется односторонний бета-коэффициент (HR-beta), который вычисляется по формуле:

где Ri – доходность актива i; RM – доходность рыночного портфеля, ?i, – средняя доходность актива i, ?M, – средняя доходность рыночного портфеля.
По сравнению с моделью Бава – Линденберга (1977) в модели Харлоу – Рао (1989) отклонение доходности актива и портфеля рассчитывается по отношению к соответствующим средним значениям (актива и рынка (индекса)).
Хавьер Эстрада [Estrada, 2002; 2007] предложил еще один вариант расчета бета-коэффициента для конструкции САРМ в рамках одностороннего риска, который позволил преодолеть ряд пробелов в ранее упомянутых моделях. X. Эстрада показал, что односторонняя ковариация, предложенная Хоганом и Варреном, Бава и Линденбергом, а также Харлоу и Рао, имеет ряд ограничений. Односторонняя ковариация между доходностью актива i и рыночного портфеля М количественно отличается от односторонней ковариации между доходностью рыночного портфеля М ж актива i.
В модели X. Эстрада односторонняя ковариация рассчитывается следующим образом:
?iM=Е’{min[(Ri – ?i),0]min[(RM – ?M),0]}.
Односторонний коэффициент корреляции актива i и рыночного портфеля (?iM) определяется по формуле:

Соответственно односторонний бета-коэффициент (E-beta) рассчитывается по формуле:

Модель D-CAPM расчета ожидаемой (и требуемой) доходности актива i Эстрады выглядит следующим образом:
E(Ri) = Rf + MRP?iD,
где MRP – рыночная премия за риск; Rf — безрисковая ставка доходности.
Оценку одностороннего бета-коэффициента для актива i (Эстрада в качестве актива для тестирования объясняющей способности модели рассматривал страновые фондовые индексы) можно получить в рамках регрессионного построения. При этом необходимо оценить коэффициенты регрессии без свободного члена, вида:
yt=?1xt +?t ,
где уt = min[(Rit – ?i),0] и хt = min[(RMi– ?M,).0].
При этом ?i и ?M соответственно, средние арифметические для рядов у и х.
Заметим, что согласно модели Х. Эстрады (?Di) актив i увеличивает риск портфеля только тогда, когда доходность актива и рыночная доходность меньше, чем их соответствующие средние значения, т. е. Ri <?i и RM <?M. Согласно модели Харлоу – Рао (?iHR) риск портфеля меняется, когда доходность актива больше, чем среднее значение доходности по этому активу, а рыночная доходность меньше, чем ее среднее значение, т. е. Ri >?i и RM <?M. В модели Хогана – Варрена (?iHW) риск портфеля меняется, когда доходность актива превышает безрисковую ставку, а рыночная доходность меньше безрисковой ставки (Ri > rf и RM < r f), т. е. сравнение происходит не со средними уровнями доходности, а с безрисковой ставкой на рынке.
При расчете ?iHW и ?iHR учитываются только левосторонние отклонения от рыночной доходности, в то время как в модели Эстрады при расчете ?iD учитывается левостороннее отклонение доходности и по рынку, и по активу. Конструкции, предложенные как Эстрадой, так и Харлоу и Рао, основываются на бенчмарке (целевом уровне), равном среднему значению распределения доходностей, в то время как подход Хогана – Варрена предполагает целевой уровень, равный безрисковой ставке.
Различия в получаемых оценках по перечисленным выше моделям покажем на примере двух российских публичных компаний с высоколиквидными акциями[40] (табл. 9.9 и 9.10). Для расчета систематического риска инвестирования выбраны акции, которые на рассматриваемом временном отрезке характеризовались одинаковой средней доходностью и стандартным отклонением, но при этом различались по коэффициентам одностороннего риска Хогана – Варрена, Харлоу – Рао, Эстрада.
Таблица 9.9
Динамика цен акций и месячная доходность акций Газпрома (биржевой тиккер – GAZP Equity)

Таблица 9.10
Динамика цен акций и месячная доходность акций МТС (биржевой тиккер – MTSI Equity)

Справочно: Месячная доходность рассчитывается по формуле:

Таким образом, получаем следующее распределение месячных доходностей (%): Газпром (—6,06; —6,65; 9,05; —2,56; 0,78) и МТС (-12,53; 1,58; 1,58; 3,51; 0,61).
Расчет математического ожидания доходности по акциям этих компаний показывает, что оно равно: Газпром – 1,1 % [((-6,06 %) + (-6,65 %) + 9,05 % +(– 2,56 %)+ 0,78 %)/5] и МТС -1,1 % [((-12,53 %)+ 1,58 %+ 1,58 % + 3,51 % +0,61 %)/5)]. Компании показали одинаковую среднюю доходность за полгода.
Среднемесячное значение стандартного отклонения для обеих акций практически совпало, для Газпрома – 5,7 % и для МТС-5,8 %.
Расчет бета-коэффициента по акциям двух компаний представлен в табл. 9.12.
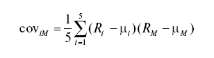
Ковариация (cov) доходности рыночного портфеля с доходностью акций компаний рассчитывается по формуле:

и равна для Газпрома и МТС соответственно:

Рассчитав корреляцию доходности акций с рыночным портфелем и дисперсию рыночного портфеля, можно рассчитать бета-коэффициент по формуле:

Таблица 9.11
Расчет стандартного отклонения доходности по акциям Газпрома и МТС на полугодовом промежутке времени

Таблица 9.12
Динамика индекса ММВБ и месячная доходность индекса в 2010 г.

Среднемесячная доходность рынка равна ?M =0,2 %, стандартное отклонение ?М=5,12 % и дисперсия соответственно ?2М = 0,05122 = 0,002 62.
Расчет классического бета-коэффициента показывает, что инвестирование в акции Газпрома будет практически таким же, как инвестирование в индекс ММВБ, так как коэффициент бета близок к единице. С позиции портфельного инвестора, акции МТС менее подвержены системному риску (бета-коэффициент меньше единицы). В рамках конструкции САРМ расчет требуемой доходности будет следующим:
ERT = 8 % + 0,96 х 6,3 % = 14,05 %;
ERMTC =8 %+ 0,72x6,3 % = 12,53 %.
Примечание. Безрисковая ставка (средняя ставка по депозиту в 2010 г.) принимается на уровне 8 % годовых, и рыночная премия за риск составляет 6,3 % годовых в период с октября 2009 г. по сентябрь 2010 г.
Однако, если посмотреть на месячные доходности акций Газпрома (%): (-6,06; -6,65; 9,05; -2,56; 0,78) и МТС: (-12,53; 1,58; 1,58; 3,51; 0,61), можно заметить, что акции Газпрома в трех случаях (—6,06 %; —6,65 %; —2,56 %) показали отрицательную доходность, один раз доходность чуть больше нуля (0,78 %) и один раз очень хорошую доходность (9,05 %). МТС, наоборот, в четырех случаях показал положительную доходность (1,58 %; 1,58 %; 3,51 %; 0,61 %) и в одном случае значительное падение доходности (—12,53 %). Можно предположить, что оценка акций с учетом одностороннего отклонения будет давать более точные данные при сопоставлении этих акций.
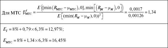
Расчет бета-коэффициента Хогана – Варрена показан в табл. 9.13, Харлоу – Рао – в табл. 9.14, Эстрада – в табл. 9.15, сводные результаты – в табл. 9.16. Значение безрисковой ставки принято равным 0,67 % (8 % годовых по депозиту/12 мес.) в месяц.
Таблица 9.13
Расчет бета-коэффициента Хогана – Варрена для двух рассматриваемых акций



Таблица 9.14
Расчет меры риска и требуемой доходности по модели Харлоу – Рао



Таблица 9.15
Модель Эстрады для расчета мер систематического риска и требуемой доходности



Таблица 9.16
Сопоставительный анализ расчетных мер риска

Как видно из табл. 9.16, результаты, полученные по односторонним мерам риска, отличаются от первоначальных расчетов в рамках классической конструкции САРМ. В рамках двустороннего риска акции МТС характеризуются меньшим риском по сравнению с рынком и акциями Газпрома, однако анализ одностороннего риска показывает, что акции более рискованны и требуемая доходность по ним должна быть выше.
Более 800 000 книг и аудиокниг! 📚
Получи 2 месяца Литрес Подписки в подарок и наслаждайся неограниченным чтением
ПОЛУЧИТЬ ПОДАРОК