8.5. Оценка реального и нормального распределения доходностей
Известно, что реальное распределение доходности активов существенно отличается от нормального. Проблему с ненормальностью можно также назвать проблемой «тяжелых хвостов», когда вероятность появления крайних значений выше, чем при нормальном распределении. В результате более точное использование предпосылки о нормальности распределения возможно при коррекции полученных результатов с учетом коэффициентов, позволяющих учесть отличие реального распределения доходности от нормального – коэффициентов асимметрии и эксцесса. Поэтому коэффициенты, использующие в качестве меры риска стандартное отклонение доходности, могут содержать некоторую погрешность и искажать результаты сравнения.
Рассмотрим, насколько реальное распределение доходностей по акциям и облигациям отличается от нормального на американском и на российском фондовом рынке с использованием коэффициентов асимметрии и эксцесса.
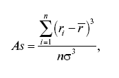
Коэффициент асимметрии представляет собой нормированную величину третьего центрального момента и определяется по формуле:

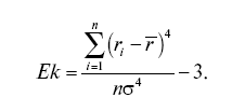
где гi – доходность актива; г – средняя доходность актива за рассматриваемый период времени; n – число наблюдений в выборке; ? – стандартное отклонение доходности актива.
Экономический смысл коэффициента асимметрии состоит в том, что при положительном значении коэффициента (правосторонняя асимметрия) самые высокие доходы являются более вероятными, чем самые низкие. При отрицательном значении коэффициента (левосторонняя асимметрия) наоборот, самые низкие доходности будут более вероятными, чем самые высокие.
У нормального распределения коэффициент асимметрии равен нулю. Принято считать, что:
|As| ? 0,25 – асимметрия незначительная;
0,25< |As| ?0,5 – асимметрия умеренная;
|As| > 0,5 – асимметрия существенная.
Коэффициент эксцесса показывает, насколько вершина нормального распределения находится ниже или выше, чем в случае рассмотрения реального распределения доходности. Он принимает положительные значения, если вершина нормального распределения занижена относительно реального распределения, и отрицательные – если завышена.
Коэффициент эксцесса рассчитывается по следующей формуле:

Экономический смысл коэффициента можно кратко описать следующим образом: если два актива имеют одинаковые симметричные распределения доходности и одинаковые средние, менее рискованным считается актив с большей величиной эксцесса.
Коэффициент эксцесса нормального распределения равен нулю. Считается, что:
|Ек | < 0,2 – практически эксцесс отсутствует;
|Ек | —0,2–0,3 – слабый эксцесс;
|Ек | = 0,3–0,6 – умеренный эксцесс;
|Ек | = 0,6–1,0 – сильный эксцесс;
|Ек | > 1 – очень сильный эксцесс.
Оценка действительного распределения доходности по акциям и облигациям и его сравнение с нормальным распределением проводилась по данным американского фондового рынка за период с 1928 по 2008 г. Доходность акций рассчитывалась как прирост курсовой стоимости акций, входящих в расчет индекса Доу-Джонса, а в качестве облигаций рассматривались 10-летние казначейские облигации.

Рис. 8.16. Реальное распределение доходности акций и облигаций на фондовом рынке США при сроке инвестирования один год
Представленные на рис. 8.16 графики позволяют утверждать, что реальное распределение доходности по акциям практически совпадает с нормальным, в то время как по облигациям оно существенно отклоняется от нормального. Это также подтверждают значения коэффициентов асимметрии и эксцесса, которые по акциям составили —0,19 и 0,54 соответственно, а по облигациям равнялись 1,14 и 0,86.
Исходя из фактического распределения доходности облигации представляются менее рискованным активом, чем это показывает нормальное распределение. Существенная правосторонняя асимметрия распределения доходности по облигациям (1,14) говорит о том, что получение более высоких доходностей по ним вероятнее, чем на это указывает нормальное распределение. В то время как получение больших отрицательных доходностей гораздо менее вероятно. Такая ситуация просматривается и на гистограммах реального распределения доходности.
Показатели эксцесса по облигациям также позволяют утверждать, что исходя из реального распределения доходности облигации имеют лучшее соотношение риска и доходности, чем это показывает нормальное распределение доходности. Например, ярко выраженный коэффициент эксцесса, равный 0,86, свидетельствует о том, что в реальности разброс доходности по облигациям значительно меньше, чем это демонстрирует график нормального распределения доходности.
Анализ коэффициентов асимметрии и эксцесса для акций дает основания утверждать, что акции являются менее рискованным активом, чем это показывает нормальное распределение. Несмотря на то что наблюдается незначительная левосторонняя асимметрия (—0,19), говорящая о том, что вероятность получения больших отрицательных доходностей выше, чем вероятность получения больших положительных доходностей, этот более высокий, в сравнении с нормальными распределением, риск компенсируется умеренным положительным эксцессом (0,54). На основе этого делаем вывод, что исходя из реального распределения доходности акции имеют лучшее соотношение риска и доходности, чем это может показать нормальное распределение доходности.
Расчеты коэффициентов асимметрии и эксцесса для разных временных горизонтов инвестирования представлены в табл. 8.4.
Таблица 8.4
Параметры распределения доходности акций и облигаций рынка США для различных сроков инвестирования


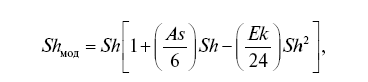
Эксперты предлагают решать проблему ненормальности распределения доходности путем прямой коррекции значений коэффициента Шарпа с учетом коэффициентов асимметрии и эксцесса. Дж. Пезнер и А. Вайт предложили следующую формулу расчета модифицированного коэффициента Шарпа [Pezier, White, 2006]:

где Sh – коэффициент Шарпа; As – асимметрия; Ек – эксцесс.
В табл. 8.5 представлены результаты проведенных расчетов по рынку США при инвестировании в акции и облигации на разные сроки. Сравнение эффективности инвестирования в акции и облигации по критерию «риск – доходность» проводится по классическому и модифицированному коэффициентам Шарпа.
Как показывает сравнение представленных данных, в рассматриваемой ситуации значения модифицированного коэффициента Шарпа крайне слабо отличаются от значений обычного коэффициента Шарпа. Поэтому выводы, применимые для коэффициента Шарпа, также применимы и для модифицированного коэффициента Шарпа.
Таблица 8.5
Показатели риска и доходности для акций и облигаций фондового рынка США при разных сроках инвестирования

* * *
В результате проведенного исследования выявлено, что существует четко выраженная зависимость между риском и доходностью активов и временным горизонтом инвестирования.
Удлинение сроков инвестирования положительно влияет на соотношение доходности и риска. Высокая волатильность фондового рынка в краткосрочном периоде обусловлена неэффективностью рынков, наличием информационного шума, игрой спекулянтов и рядом других факторов, действующих короткий период времени. В долгосрочной перспективе фондовые рынки отражают состояние дел в реальном секторе экономики. В связи с тем что экономика развивается по эволюционному пути и, несмотря на циклические спады и подъемы, имеет тенденцию к росту, инвестиции в акции на длительном временном горизонте всегда дают положительный результат. Результаты исследования, полученные на российском фондовом рынке, совпадают с результатами, полученными Р. Гибсоном, К. Харвейем, Ф. Нардари и Ж. Скруггсом для оценки рисков и доходностей активов на развитых рынках капитала.
Волатильность акций – это негативный фактор для краткосрочных инвестиций. В долгосрочном периоде волатильность имеет позитивный акцент, так как выступает основой более высокой доходности. В связи с этим акции являются более выгодным активом для инвестирования на длительный период. Это доказывает, что более рискованные в краткосрочном периоде активы могут быть подходящим инструментом для консервативного инвестора, который инвестирует свои средства на длительный срок.
Более 800 000 книг и аудиокниг! 📚
Получи 2 месяца Литрес Подписки в подарок и наслаждайся неограниченным чтением
ПОЛУЧИТЬ ПОДАРОК