4.1. Конвертируемые ценные бумаги
Рассматривая два основных финансовых инструмента, широко представленных на рынке: акции и облигации, следует отметить, что каждый вид ценных бумаг имеет свои плюсы и минусы. Например, облигации, как долговой финансовый инструмент, обеспечивают инвесторам получение стабильного дохода и возврат средств при их погашении. Однако они приносят невысокую доходность.
Более высокую доходность обеспечивают акции, но они могут как вырасти в цене, так и хорошо упасть. Кажется, что акции и облигации – это противоположные ценные бумаги. Отрицательные стороны одной бумаги отсутствуют в другой, но зато во второй ценной бумаге имеются свои негативные моменты. Можно ли объединить свойства акций и облигаций и создать гибридную ценную бумагу, которая обладала бы характеристиками акции и облигации одновременно? Чтобы эта ценная бумага как облигация была бы надежной, а как акция обеспечивала бы получение высокой доходности? Это можно сделать с помощью конвертируемых ценных бумаг.
Конвертируемая ценная бумага – это облигация или привилегированная акция, которая на определенных условиях может быть обменена на некоторое число обыкновенных акций.
Конвертации (обмену) подлежат только облигации или привилегированные акции. Право на конвертацию и условия обмена должны быть предусмотрены при выпуске этих ценных бумаг и отражены в проспекте эмиссии. Механизмы конвертации облигаций и привилегированных акций весьма схожи и имеют много общих черт. Более отчетливо механизм функционирования конвертируемых ценных бумаг проявляется при выпуске конвертируемых облигаций, которые получили наибольшее распространение в данном сегменте рынка. Поэтому рассмотрим, как функционируют конвертируемые ценные бумаги, на примере облигаций.
Первоначально компания осуществляет выпуск облигаций со всеми процедурами, которые требуются для эмиссии долговых ценных бумаг. Однако в проспекте эмиссии должно быть указано, что данные облигации могут быть проконвертированы в обыкновенные акции. Право провести конвертацию, как правило, принадлежит инвестору, который может обменять принадлежащую ему облигацию на определенное число обыкновенных акций в соответствии с условиями, установленными в проспекте эмиссии. В мировой практике, но весьма редко, встречаются облигации с принудительной конвертацией, когда право принятия решения о конверсии принадлежит эмитенту. Однако это скорее исключение из правил, чем закономерность. Кому принадлежит право на проведение конвертации, должно быть четко оговорено в проспекте эмиссии.
Наряду с правом конверсии данные ценные бумаги содержат и другие встроенные в облигации опционы. Наиболее распространенным опционом является право эмитента досрочно погасить конвертируемые облигации при наступлении некоторых условий, которые предусмотрены проспектом эмиссии. Наличие внутренних опционов приводит к тому, что конвертируемые облигации имеют специфический механизм ценообразования.
Для инвесторов конвертируемые ценные бумаги – привлекательный финансовый инструмент.
Преимущества конвертируемых облигаций заключаются в том, что они обладают и свойствами облигаций, и свойствами обыкновенных акций. По сути, конвертируемая облигация представляет собой обычную корпоративную облигацию со всеми присущими этому инструменту свойствами и варрант на обыкновенные акции. Как облигация эта ценная бумага обеспечивает безопасность вложений и гарантирует возврат денежных средств с определенными при выпуске процентами. Обычно конвертируемая облигация рассматривается как субординированный долг компании. Это означает, что в случае банкротства компании первоначально будут удовлетворены требования по обычным несубординированным долговым обязательствам, а затем по конвертируемым облигациям. Однако эти выплаты будут идти до выплат по привилегированным и обыкновенным акциям.
Наряду со свойствами, присущими долговому обязательству, конвертируемая облигация обладает также свойствами обыкновенных акций с точки зрения возрастания капитала. Эти облигации привлекают инвесторов, которые хотят приумножить свой капитал за счет успешного развития фирмы и в то же время обезопасить свои вложения при неудачном сценарии развития компании. До тех пор пока инвестор сохраняет облигации, они приносят ему фиксированный доход. Если владелец облигации видит, что фирма развивается успешно и соответственно растет курсовая стоимость акций, он может реализовать свое право конверсии и обменять облигации на обыкновенные акции. В силу специфических свойств, которые имеют двойственный характер и соответствуют как облигациям, так и акциям, конвертируемые облигации пользуются популярностью у инвесторов.
Основными достоинствами конвертируемых облигаций для инвесторов являются:
• надежность и стабильность получения текущего дохода в виде купонных платежей. Текущая доходность конвертируемых облигаций, как правило, превышает дивидендную доходность обыкновенных акций;
• гарантия возврата капитала при погашении облигационного займа, если инвестор не воспользуется своим правом на конвертацию;
• в силу специфики ценообразования стоимость конвертируемых облигаций растет вместе с ростом курсовой стоимости акций, в результате чего инвестор может получить доход за счет роста стоимости облигации, продав ее не дожидаясь конверсии;
• при снижении курсовой стоимости акций цена конвертируемой облигации снижается, но не опускается ниже уровня, обеспечивающего доходность по обычной неконвертируемой облигации;
• возможность разделить с компанией успех роста, провести конвертацию и получить акции по цене ниже рыночной.
Негативные моменты для инвесторов, связанные с приобретением конвертируемых облигаций, связаны с дополнительными издержками, которые проявляются в следующем:
• при покупке конвертируемых облигаций инвестор уплачивает премию за право конверсии, которая представляет собой цену опциона колл. Эта премия впоследствии перекрывается полученным доходом от конвертации. Но если конвертация не произойдет из-за снижения цены акций, то уплаченная премия – это финансовые потери инвестора;
• предоставляя инвестору право проведения конвертации, компании устанавливают по конвертируемым облигациям более низкий купон.
Однако негативные характеристики конвертируемых облигаций перекрываются ее положительными свойствами, в результате чего данные облигации пользуются у инвесторов заслуженной популярностью.
Компании также заинтересованы в выпуске конвертируемых облигаций, так как получают определенные преференции. Достоинства конвертируемых облигаций для компаний проявляются в следующем:
• компания по конвертируемым облигациям выплачивает пониженный купон, что обеспечивает экономию на текущих платежах и снижает средневзвешенную стоимость капитала;
• компания получает опционную премию, которую выплачивают инвесторы за право конвертации. При этом чем больше неопределенность рынка, тем выше цена опциона;
• в результате конверсии происходит меньшее разводнение капитала, чем при традиционной эмиссии акций.
Негативным фактором для компании является то, что возрастает неопределенность относительно структуры капитала. Выпуская конвертируемые облигации, компания увеличивает долговую нагрузку и принимает на себя дополнительные обязательства по выплате процентов, что увеличивает риск банкротства. Если компания развивается не стабильно, то выпуск конвертируемых облигаций не лучшее решение, так как растет риск банкротства. В этой ситуации лучше выпускать акции.
Обычно к эмиссии конвертируемых облигаций прибегают компании, которые уверены в стабильности своего бизнеса. При этом менеджмент компании предполагает, что компания будет функционировать с большей стабильностью, чем подразумеваемая волатильность акций.
Выпуская конвертируемые облигации, компания в проспекте эмиссии кроме традиционных параметров облигационного займа (срок обращения, ставка купона, периодичность купонных выплат и др.) указывает условия конвертации, цену конвертации и другие параметры, связанные с конвертацией.
Дополнительные параметры, которые присущи только конвертируемым облигациям, следующие:
Коэффициент конвертации – это число акций, которые получает инвестор при обмене одной облигации на акции. Например, нефтяная компания «ЛУКОЙЛ» выпускала конвертируемые облигации, по которым был установлен коэффициент конвертации, равный 170, т. е. одна облигация обменивалась на 170 обыкновенных акций.
Цена конвертации – это цена приобретения одной акции в результате конверсии. Цена конвертации (Рк) определяется по формуле:

где Н— номинальная стоимость конвертируемой облигации; К – коэффициент конвертации.
Рассмотрим пример. Компания продает инвесторам облигации по номиналу 1000 руб., каждую из которых можно обменять на 10 обыкновенных акций. Цена конвертации в этом случае составляет 100 руб. Таким образом, инвестор при покупке облигации заранее знает цену, по которой ему будут переданы акции в случае конверсии.
В нашем примере инвестору обмен облигации на акции выгоден в том случае, если рыночная цена обыкновенной акции превышает 100 руб. Если рыночная цена обыкновенной акции ниже цены конверсии, то облигационеру не имеет смысла конвертировать облигацию в акции. В этом случае он, безусловно, предпочтет держать облигацию, получая фиксированный доход (рис. 4.1).

Рис. 4.1. Рыночная цена акций и цена конвертации
В момент выпуска облигаций рыночная цена акций (Рa) ниже, чем цена конвертации (Рк). Разница между ценой конвертации и рыночной ценой акций представляет собой конверсионную премию. Если в нашем примере цена конвертации составляет 100 руб., а акции котируются на рынке по 85 руб., то премия составляет (100 – 85) =15 руб., или ее иногда выражают в процентах, т. е. (15: 85) = 17,6 %. Традиционно конверсионная премия составляет 10–20 %. Если компания развивается стабильными темпами, то конверсионная премия может быть небольшой, 10–12 %, если компания растет очень быстрыми темпами, то размер премии может быть и больше 20 %. На представленном графике (см. рис. 4.1) видно, что размер премии с течением времени уменьшается в результате роста рыночной стоимости акций. В дату 1 конверсионная премия равна нулю, так как цена акций сравнялась с ценой конвертации (точка А). После этой даты у инвестора появляется возможность проводить конвертацию, так как он получает определенный экономический выигрыш (на рис. 4.1 заштрихованная область) в виде разницы между ценой акции и ценой конвертации.
Цена конвертации не обязательно остается неизменной в течение всего срока действия облигации вплоть до срока погашения. Условия и цены конвертации могут меняться со временем. В ряде случаев компании устанавливают цены конвертации, которые постепенно увеличиваются. Например, облигация номиналом 1000 руб. может иметь цену конвертации в первые два года 100 руб., в следующие два года – 125 руб., в последующие годы – 200 руб. и т. д. Таким образом, компания устанавливает ступенчатые цены конвертации, которые с течением времени возрастают. Соответственно при конвертации одной облигации в первые два года инвестор получит 10 акций, в следующие два года – 8 акций, в последующие годы – 5 акций. Со временем облигация конвертируется во все меньшее число акций, поэтому инвестору выгодна более ранняя конвертация. Компании устанавливают ступенчатые цены конвертации, чтобы стимулировать инвесторов к более ранней конвертации облигаций в акции.
На рис. 4.2 показана динамика изменения рыночной цены акций и цены конвертации, по которой инвестор производит обмен облигации на обыкновенные акции.
Предположим, компания периодически повышает цену конвертации. На 1-м этапе до точки А инвестору не имеет смысла конвертировать облигации, так как цена конвертации выше рыночной цены акций. В случае конвертации он на вложенный капитал получит меньшее количество акций, чем при их приобретении на рынке. Точка А представляет собой точку равновесия, в которой цена конвертации сравнялась с текущей ценой акций, и инвестору при прочих равных условиях безразлично конвертировать облигации в акции или продать облигации, а на вырученные деньги купить на рынке дополнительные акции. При дальнейшем росте курсовой стоимости акций инвестору становится выгодным осуществить конвертацию облигаций. В течение периода Т, пока цена конвертации ниже рыночной, обмен облигаций на акции предпочтителен по сравнению с покупкой акций на рынке. Точка В (см. рис. 4.2) показывает момент введения новой цены конвертации на более высоком уровне, что существенным образом меняет поведение инвестора. Ему опять приходится ждать роста курсовой стоимости акций и достижения ею следующей точки равновесия.

Рис. 4.2. Ступенчатые цены конвертации
Если условиями выпуска предусмотрено периодическое повышение цены конвертации, то при росте курсовой стоимости акций точек равновесия может быть несколько. Заштрихованные участки показывают дополнительный доход, который получает инвестор при конвертации облигаций в акции.
Стоимость конвертируемых облигаций. Конвертируемые ценные бумаги обладают двойными свойствами. Если рассматривать конвертируемую облигацию, то, с одной стороны, это облигация со всеми вытекающими свойствами долговой ценной бумаги, с другой стороны, конвертируемую облигацию можно рассматривать как некоторое число обыкновенных акций, на которое может быть обменена эта облигация. Двойные свойства конвертируемых ценных бумаг накладывают отпечаток на механизм ценообразования. В связи с этим конвертируемой облигации можно дать две стоимостных оценки и определить:
• облигационную (внутреннюю) стоимость, если рассматривать эту ценную бумагу как облигацию;
• конверсионную стоимость, если рассматривать конвертируемую облигацию в качестве некоторого числа обыкновенных акций, получаемых инвестором при обмене облигации на акции.
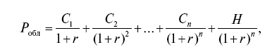
Облигационная (внутренняя) стоимость рассчитывается как приведенная стоимость периодических купонных платежей и номинала, выплачиваемого компанией при погашении облигации по формуле:

где С1, С2, С3, …, Сn – сумма купонных платежей; r – ставка дисконтирования; Н— номинальная стоимость облигации; n – число лет до погашения.
При расчете внутренней стоимости следует обратить внимание на выбор ставки дисконтирования. Если в момент выпуска конвертируемых облигаций существует неопределенность относительно целесообразности конверсии, то инвесторы оценивают конвертируемые облигации исходя из доходности аналогичных неконвертируемых облигаций. Именно показатель этой доходности следует брать в качестве ставки дисконта. Учитывая, что конвертируемая облигация содержит опцион на проведение конверсии, эмитенты устанавливают по конвертируемым облигациям более низкую купонную ставку, в результате чего внутренняя стоимость конвертируемой облигации будет меньше номинала. В ряде случаев компании (например, Hewlett-Packard) выпускают конвертируемые облигации с нулевым купоном. В связи с тем, что конвертируемые ценные бумаги обладают двойными свойствами и имеют особую привлекательность для инвесторов, компании уменьшают стоимость обслуживания облигационного займа путем установления более низкого купонного процента, чем по обычным облигациям. Если, например, по обычным облигациям выплачивается 15 % годовых, то по конвертируемым может быть установлен доход в размере 12–13 %. Разница в 2–3 % – это цена, которую платит инвестор за возможность воспользоваться при благоприятных условиях правом конвертации облигаций в обыкновенные акции. Чем выше потенциал роста компании, тем на более низком уровне можно устанавливать купонную ставку по облигациям.
Если рыночная доходность превышает купонную ставку, эмитент вынужден будет продавать облигацию по цене ниже номинала. Рассмотрим пример: компания выпустила конвертируемые облигации номиналом 1000 руб. сроком на пять лет, установив купонный доход в размере 10 %. Облигации с аналогичным уровнем риска, которые не могут быть конвертированы, приносят инвесторам доходность 13 %. Следовательно, в качестве ставки дисконтирования принимается 13 %. В этом случае внутренняя стоимость конвертируемой облигации составит:

В связи с тем что обычные облигации приносят 13 % дохода, а выпущенная конвертируемая облигация по купону обеспечивает только 10 %-ю доходность, инвесторы не будут покупать облигацию по номиналу, и компании придется продавать ее с дисконтом. Если цена акций данной компании не будет расти и не превысит цену конвертации, то облигация в течение всего срока вплоть до погашения будет продаваться на рынке с дисконтом. Взаимосвязь номинальной и облигационной стоимости конвертируемой облигации представлена на рис. 4.3.
Как видно из рис. 4.3, облигационная стоимость (Робл) ниже номинала (Н), но она постепенно повышается по мере приближения срока погашения (tп).
Однако к определению стоимости конвертируемой облигации можно подойти с точки зрения суммарной стоимости числа акций, на которые может быть обменена эта облигация. Конверсионная стоимость рассчитывается по формуле:
Sk = Pa ? K,
где Sk – конверсионная стоимость конвертируемой облигации; Pa – рыночная цена обыкновенной акции; К – коэффициент конвертации.

Рис. 4.3. Номинальная и облигационная стоимости облигации
Если рыночная цена обыкновенной акции составляет 90 руб., а коэффициент конвертации – 10, то конверсионная стоимость будет равна 900 руб. (90 руб. х 10). По сути, конверсионная стоимость представляет собой рыночную стоимость акций, стоящих за данной облигацией. В нашем примере 900 руб. – это рыночная стоимость 10 акций. Поэтому конверсионная стоимость теоретически должна точно отражать цену акций. Если акции в цене устойчиво и постоянно растут с одинаковым темпом, то и конверсионная стоимость увеличивается аналогичным образом. Если акции возрастут на рынке до 120 руб., то конверсионная стоимость облигации составит 120 х 10 = 1200 руб. На рис. 4.4 представлена динамика конверсионной стоимости постоянно растущих акций.
Конверсионная стоимость (Sk) может расти или падать в соответствии с динамикой цен на акции рассматриваемой компании и быть выше или ниже номинальной стоимости (Н) облигации.
Таким образом, конвертируемая облигация обладает одновременно и облигационной, и конверсионной стоимостями. Чтобы понять, как взаимодействуют эти две стоимостные оценки, совместим графики, представленные на рис. 4.3 и рис. 4.4, в результате получим рис. 4.5.

Рис. 4.4. Номинальная и конверсионная стоимости облигации

Рис. 4.5. Стоимостная оценка конвертируемой облигации
На рис. 4.5 представлены облигационная стоимость (Sобл), конверсионная стоимость (Sk) и номинальная стоимость (Н) конвертируемой облигации. В момент выпуска облигаций в обращение их внутренняя стоимость превышает конверсионную. В период, когда цены акций низкие (соответственно низкой является и конверсионная стоимость), цена облигации зависит от величины купона и ставки дисконтирования, т. е. цена определяется только величиной облигационной стоимости. Если цены акций растут, увеличивается и конверсионная стоимость. В какой-то момент облигационная и конверсионная стоимость сравняются (точка Л). В дальнейшем цена облигации формируется под влиянием конверсионной стоимости.
Таким образом, на отрезке до точки А цена определяется облигационной стоимостью, а на отрезке после точки А – конверсионной. Эта оценка называется теоретической ценой конвертируемой облигации, которая изображена ломаной линией, которая представляет собой нижнюю границу опциона колл.
Рыночная цена (Рm) конвертируемой облигации превышает теоретическую стоимость на определенную величину, называемую премией. Инвесторы готовы переплачивать сверх облигационной стоимости за право конвертации облигации в будущем. На рис. 4.5 видно, что даже в момент размещения облигаций компания может продать их с премией по отношению к облигационной стоимости. Величина премии зависит от реальной возможности реализовать право на конверсию. Сначала она невелика, а по мере роста цены акций и конверсионной стоимости, когда возможность конвертации становится более реальной, премия возрастает и в точке А оказывается значительно больше, чем в момент выпуска. Таким образом, премия сверх облигационной стоимости определяется возможностью будущей конвертации.
По мере роста рыночных котировок акций конверсионная стоимость возрастает, и в дальнейшем уже она определяет теоретическую цену облигации. На участке после точки А рыночная цена акций превышает теоретическую. За что же здесь инвесторы платят премию? На данной стадии после точки А размер премии определяют свойства облигации. Рыночные котировки подвержены значительным колебаниям, и цены акций после роста могут существенно снизиться. Конвертируемая облигация обеспечивает инвесторам защиту от обесценения акций, так как в соответствии со свойствами облигаций их владельцам гарантируется получение купонного дохода и погашение облигаций по их номинальной стоимости. При этом по мере роста конверсионной стоимости размер премии уменьшается. Это обусловлено тем, что угроза снижения рыночных котировок акций ниже цены конвертации становится менее реальной. Свойства облигации как долговой ценой бумаги, гарантирующие защиту инвесторов, на этом этапе являются менее значимыми, что влияет на уменьшение размера премии.
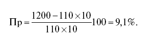
Рыночная цена конвертируемой облигации превышает ее теоретическую стоимость на величину премии. Размер премии определяется по формуле:

где Пр – размер премии по конвертируемой облигации.
Например, рыночная цена одной акции компании А составляет 110 руб. Коэффициент конвертации равен 10. Конвертируемые облигации этой компании номиналом 100 руб. продаются на рынке по цене 1200 руб. Исходя из данных, логично определить премию по конвертируемой ценной бумаге:

Инвестор уплачивает премию сверх теоретической цены за ограничение риска потерь от снижения рыночных котировок акций. Если в нашем примере цена акций снизится до 85 руб., акционер потеряет на каждой акции 25 руб. (110 – 85), или 23 % своего капитала. Владелец конвертируемой облигации также понесет потери. Конверсионная стоимость снизится до 850 руб. (85 х 10). Однако теоретическая цена не может быть ниже конверсионной или облигационной стоимости. Если цена аналогичных неконвертируемых облигаций составляет 1000 руб., облигация может снизиться в цене, но не ниже номинала. Максимальные потери инвестора ограничены 200 руб. (1200–1000), или 16,7 % рыночной цены конвертируемых облигаций. Фактическое снижение цены облигации будет меньше, так как инвесторы будут рассматривать эту ценную бумагу как облигацию с правом конвертации в акции и за это право будут платить определенную премию. Поэтому волатильность цен конвертируемых облигаций меньше, чем акций, в которые может быть проконвертирована данная облигация.
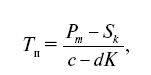
Размер премии, уплачиваемой инвестором при приобретении конвертируемых облигаций, определяется разницей выплачиваемых дивидендов по акциям и купонных выплат по облигациям. Продолжим наш пример и рассмотрим два варианта инвестирования. При первом варианте инвестор покупает 10 акций по цене 110 руб., уплатив в сумме 1100 руб. Во втором варианте он покупает облигацию, которая может быть проконвертирована в 10 акций, заплатив за нее 1200 руб. Разница (1200–1100) составляет премию, равную 100 руб. При определении размера премии инвесторы, оценивающие целесообразность покупки конвертируемых облигаций, сравнивают размеры дивидендов и купонных выплат и рассчитывают срок, в течение которого премия окупается за счет более высоких купонных платежей по сравнению с дивидендами. Период окупаемости премии (Тп) определяется по формуле:

где с – размер годовых купонных выплат; d – размер годовых дивидендов на акцию.
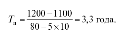
Если годовая купонная ставка составляет 8 %, размер дивиденда на акцию равен 5 руб., срок окупаемости премии будет:

Срок окупаемости показывает, за сколько лет рыночная премия будет покрыта более высокими поступлениями по купонам по сравнению с дивидендами. В нашем примере этот период без учета временной стоимости денег составляет 3,3 года. Этот срок иногда называют периодом безубыточности, т. е. если инвестор будет держать облигацию более 3,3 года, то его расходы на уплату премии будут компенсированы более высокими купонными платежами, если период владения облигаций будет меньше, то инвестор понесет убыток.
Стимулирование конвертации. Компания, выпуская конвертируемые облигации, предполагает, что через определенный период времени инвесторы предъявят облигации к обмену. Инвесторы, как правило, могут реализовать свое право на конвертацию в любой момент в соответствии с условиями, предусмотренными в проспекте эмиссии. Когда же лучше проводить конвертацию и чем определяется выбор даты предъявления облигаций для обмена?
Рассматривая проблему выбора времени для проведения конвертации, необходимо сопоставить интересы компании и интересы инвесторов. В момент выпуска конвертируемых облигаций интересы компаний и инвесторов совпадают: компания привлекает финансовые ресурсы, а инвесторы получают очень привлекательную ценную бумагу. В результате совпадения интересов состоялась сделка купли-продажи облигаций. Если бы интересы хотя бы одной стороны не были соблюдены, компания не смогла бы разместить свои облигации.
Однако с течением времени интересы компании и интересы инвесторов расходятся. Компания заинтересована в более ранней конвертации, а инвесторы при устойчивом и стабильном росте курсовой стоимости акций предпочтут отложить конвертацию на более поздние сроки, так как им гарантирован купонный доход и плюс к этому они получают доход от прироста стоимости акций. Рассмотрим источник получения дохода владельца конвертируемой облигации, состоящий из двух компонентов: купонного дохода и прироста курсовой стоимости акций. Доход по конвертируемой облигации (Д) рассчитывается по формуле:
Дк. o. =Ck +(P1a ?P0a )K, (4.1)
где Ck – годовой доход по купону; P0a – рыночная цена акции в предшествующем году; P1a – рыночная цена акции в текущем году; К – коэффициент конвертации.
Владелец конвертируемой облигации помимо того, что его облигации защищены надежнее, чем вложения в акции, к тому же извлекает и более высокий доход по сравнению с акционерами. Доход акционера также состоит из двух частей: дивиденда (da) и прироста курсовой стоимости акции (P1a– P0a), т. е. доход по одной акции равен:
Дa =da + (P1a ? P0a) (1 0). (4.2)
Чтобы сопоставить доход по конвертируемой облигации с доходом по акции, необходимо показатели дохода привести к сопоставимому виду. Разница заключается в том, что при конвертации облигация обменивается не на одну, а на несколько акций в соответствии с коэффициентом конвертации. Поэтому, если мы хотим сравнить доход по одной конвертируемой облигации с акциями, необходимо для сопоставления брать число акций, равное коэффициенту конвертации. Например, одна облигация может быть обменена на 10 обыкновенных акций, поэтому для сопоставления необходимо брать одну конвертируемую облигацию и 10 акций.
В общем виде можно записать, что для сравнения следует исчислять доход по одной конвертируемой облигации и сравнивать его с доходом по сопоставимому числу акций в соответствии с коэффициентом конвертации, т. е. Да х К. Таким образом, необходимо сравнивать показатель Дко с Да х К. Для этого выражение (4.2) необходимо умножить на коэффициент конвертации:
Дa ? K = da ? K + (P1a ?P0a )K (4.3)
Сравнивая выражение (4.1) с выражением (4.3), можно заметить, что второе слагаемое в обеих формулах одинаково (P1a ?P0a )K. Следовательно, для сравнения можно сопоставить только размер купона с величиной дивидендов.
Статистика за достаточно длительный период показывает, что в развитых странах дивидендная доходность составляет 3–5 % (табл. 4.1).
Таблица 4.1
Дивидендная доходность за 1950–2005 гг.

Купонная доходность по корпоративным конвертируемым облигациям составляет 7—10 %, т. е. доходности акций и облигаций различаются примерно в 2–3 раза. При таких различиях в дивидендной и купонной доходностях владелец облигации воздержится от конвертации и будет держать облигацию как можно дольше с тем, чтобы извлечь дополнительный доход по сравнению с акционерами.
Однако интересы владельцев облигации расходятся с интересами компании, вынужденной нести дополнительные расходы, связанные с выплатой фиксированного купонного дохода, который выше ставки дивиденда по акциям. Кроме того, компания может в определенный период времени не выплачивать дивиденды, тогда как по облигациям она вынуждена нести постоянные расходы, связанные с купонными выплатами. С этой точки зрения компания заинтересована в конвертации облигаций в акции с тем, чтобы уменьшить стоимость обслуживания привлекаемых финансовых ресурсов. Кроме того, у фирмы могут быть и другие побудительные мотивы проведения конвертации облигаций: необходимость улучшения структуры капитала, сокращения купонных выплат, выпуска нового облигационного займа и т. д. Из-за существующих расхождений в интересах компании и владельцев конвертируемых облигаций менеджеры фирмы должны найти способы, побуждающие инвесторов конвертировать облигации в акции. Наиболее широко используются следующие стимулы, подталкивающие инвесторов к конвертации облигаций.
Во-первых, фирма может установить более высокие дивиденды по обыкновенным акциям по сравнению с купонными выплатами по конвертируемым облигациям. Более высокая доходность по обыкновенным акциям может побудить владельцев облигаций провести их конвертацию. Однако этот метод для компании достаточно дорогой, так как всем акционерам необходимо будет платить повышенные дивиденды, что может оказаться весьма обременительным для фирмы. При этом не все держатели конвертируемых облигаций могут соблазниться повышенными дивидендами, так как нет гарантий, что высокие дивиденды будут выплачиваться постоянно.
Во-вторых, компания может стимулировать обмен облигаций на акции путем установления ступенчатых цен конвертации, которые повышаются с течением времени. Данный способ стимулирует инвесторов к более ранней конвертации, так как в этом случае на одну облигацию они получат большее количество акций. Например, компания выпустила конвертируемые облигации номиналом 1000 руб., по которым установлены ступенчатые цены конвертации: в момент t цена конвертации равна 100 руб., в момент 1 – 125 руб.
Данные для расчета представлены в табл. 4.2.
При цене конвертации, равной 100 руб., коэффициент конвертации составит 10 (1000: 100), а при цене 125 руб. коэффициент конвертации – 8 (1000: 125). Рассмотрим поведение двух инвесторов. Инвестор А проконвертировал свою облигацию в дату t и получил 10 акций. В момент конвертации его капитал составил 1080 руб. (108 х 10). Инвестор В решил не конвертировать свои облигации, так как не уверен в том, что рост акций будет иметь в дальнейшем устойчивый характер. В дату 1 когда цена акции достигла 140 руб., инвестор В производит конвертацию и получает восемь акций на одну облигацию, так как цена конвертации в это время составляет 125 руб. Конвертация, безусловно, выгодна, рыночная цена акции выше цены конвертации. Капитал инвестора В в дату 1 составит 1120 руб. (140 х 8), а капитал инвестора А (при условии, что он не продал свои акции, полученные в результате конвертации) будет 1400 руб. (140 х 10). Как видим, при ступенчатых ценах инвесторы, уверенные в росте цен на акции данной компании, проведут конвертацию. Однако ряд инвесторов предпочтет иметь облигации как наиболее надежные бумаги, приносящие стабильный доход и имеющие приоритет при ликвидации компании по сравнению с обыкновенными акциями.
Таблица 4.2
Стоимость акции и цены конвертации

В-третьих, стимулирование конвертации может осуществляться путем включения механизма досрочного выкупа облигаций. В связи с тем, что требование фирмы о предъявлении облигаций к выкупу обязательно для их владельцев, компания за счет разницы в цене выкупа и конвертационной стоимости может создать условия, побуждающие инвесторов провести конвертацию. Для этого фирма должна установить цену выкупа значительно ниже конвертационной стоимости. Обычно эта разница составляет примерно 20 %. Если инвестор не воспользуется правом конвертации, то облигации будут выкуплены, и он понесет ощутимые потери.
Условия выкупа облигаций оговариваются в проспекте эмиссии. Компания может в проспекте эмиссии установить конкретный срок возникновения права выкупа облигаций. Например, проспект эмиссии может предусматривать, что предприятие имеет право произвести выкуп 10-летних конвертируемых облигаций через пять лет после выпуска. Следовательно, первые пять лет компания погасить облигации не имеет права. По истечении этого срока она в любой момент может осуществлять выкуп облигаций по заранее объявленной цене.
Другой способ установления времени выкупа основан на том, что в проспекте эмиссии не указан конкретный срок, а предусмотрены условия возникновения у компании права выкупа. Например, в проспекте эмиссии может быть сделана запись, гласящая, что если рыночная цена акций на 25 % превысит цену конвертации и в течение 14 банковских дней не опустится ниже этой отметки, то у фирмы появляется право на выкуп конвертируемых облигаций. Если предположить, что цена конвертации составляет 100 руб., то право выкупа возникает у фирмы, когда рыночная цена акции в течение установленного срока стабильно будет превышать 125 руб.
В ряде случаев компания оговаривает свое право на выкуп через установление предельного уровня конверсионной стоимости и цены выкупа.
Рассмотрим пример. Компания выпустила 10-летние конвертируемые облигации номинальной стоимостью 1000 руб., по которым установлена единая цена конвертации равная 100 руб., т. е. каждая облигация обменивается на 10 акций. В проспекте эмиссии предусмотрено, что компания имеет право выкупить облигации по цене 1250 руб., если конверсионная стоимость достигнет 1450 руб. и не опустится ниже этой отметки в течение 30 календарных дней.
При достижении конверсионной стоимости отметки 1450 руб. у компании появляется право на выкуп облигаций по цене 1250 руб. Однако компания этим правом может воспользоваться только по истечении 30 дней. Рыночная цена облигации превышает конверсионную стоимость на величину премии. По мере приближения конверсионной стоимости к отметке 1450 руб. рыночная цена облигации растет более медленными темпами, а премия постепенно сокращается, и в точке равновесия она равна нулю.
Введение в проспект эмиссии оговорки о возможности компании досрочно погасить облигацию заставляет инвесторов проводить конвертацию. Если инвестор не проведет конвертацию, облигация будет выкуплена по цене 1250 руб., и владелец облигации понесет потери в виде разницы между конверсионной стоимостью и ценой выкупа. Если он проведет конвертацию, то получит 10 акций, каждая из которых на рынке стоит 145 руб. При необходимости он может эти акции продать и получить 1450 руб., а при выкупе облигаций ему будет выплачено 1250 руб., т. е. его потери составят 200 руб. на каждой облигации. Безусловно, в данной ситуации разумный инвестор предпочтет провести конвертацию, чем дожидаться, когда компания произведет выкуп облигаций.
Последствия конвертации. Проведение конвертации облигаций существенным образом влияет на финансовые показатели деятельности компании, что необходимо учитывать как инвесторам, так и самой фирме.
Выпуск конвертируемых облигаций можно рассматривать как отложенную эмиссию обыкновенных акций. Если инвесторы воспользуются правом конвертации, то на смену облигациям в обращение будут выпущены дополнительные обыкновенные акции, что приведет к изменению соотношения собственного и заемного капитала, появлению новых акционеров и т. д. Возможность конвертации облигаций в обыкновенные акции впоследствии может значительно повлиять на деятельность компании. Наиболее важные факторы выпуска конвертируемых облигаций следующие.
Во-первых, свойством конвертации облигаций в обыкновенные акции могут воспользоваться агрессивные инвесторы для приобретения контрольного пакета. Скупка облигаций явно не указывает на намерения инвестора по формированию контрольного пакета. Поэтому этот процесс идет довольно спокойно. Если инвестор воспользуется своим правом конвертации, то в результате он может стать владельцем большого числа обыкновенных акций. В ряде случаев инвесторы прибегают к такой тактике, так как данный способ приобретения контрольного пакета зачастую оказывается дешевле, чем прямая скупка акций.
Во-вторых, акционеры должны четко представлять себе, что с течением времени произойдет разводнение капитала, т. е. конвертируемые облигации будут обращены в акции, будет увеличен уставный капитал, появятся новые акционеры с правом голоса. Увеличение количества акций ведет к тому, что в расчете на одну акцию получается меньшая прибыль. Поэтому фирма, публикуя годовой отчет, должна показывать данные в двух разрезах: по реально выпущенным акциям и с учетом разводнения капитала после конвертации облигаций. Прибыль на одну акцию в случае конвертации облигаций может быть значительно ниже, чем прибыль в расчете на реально обращающееся число акций. В результате этого инвесторы, неудовлетворенные размером данного показателя, могут выставить свои акции на продажу. За счет увеличения предложения может снизиться курсовая стоимость акций.
Следует учитывать, что выпуск конвертируемых облигаций обладает целым рядом преимуществ и выгоден эмитенту. Важным преимуществом эмиссии конвертируемых облигаций выступает условие, что фирма может обеспечить увеличение акционерного капитала при его меньшем разводнении по сравнению с традиционной эмиссией обыкновенных акций. Например, акционерный капитал фирмы составляет 100 млн руб., а рыночная цена акций – 100 руб. Для того чтобы удвоить акционерный капитал, фирма должна выпустить 1000 000 обыкновенных акций (100 млн руб.: 100 руб.). На практике акций придется выпустить больше, так как при появлении на рынке дополнительных акций текущие рыночные цены могут снизиться. Чтобы добиться меньшего разводнения капитала, компания может выпустить конвертируемые облигации на общую сумму 100 млн руб. и установить цену конвертации в размере 200 руб. После конвертации количество дополнительных обыкновенных акций составит 500 000 (100 млн руб.: 200 руб). При использовании механизма конверсии фирма обеспечивает удвоение капитала при меньшем числе дополнительно эмитируемых акций, которых будет выпущено в 2 раза меньше, чем при традиционной эмиссии.
Таким образом, выпуск конвертируемых облигаций дает компании бесспорные преимущества за счет следующих факторов:
• экономии при выплате купонного дохода, размер которого ниже, чем по обычным облигациям;
• до момента конвертации облигаций не происходит разводнение капитала, т. е. не появляются новые акционеры;
• после конвертации облигаций произойдет меньшее разводнение капитала;
• сочетание права конвертации облигаций с возможностью их досрочного погашения позволяет компании оптимизировать структуру капитала;
• уменьшения затрат на привлечение дополнительного капитала.
Как уже отмечалось, конвертируемые облигации имеют определенные черты, присущие акциям. Поэтому вполне логично, что законодательство многих стран предусматривает наделение владельцев конвертируемых облигаций правом голоса. Например, по Закону от 26.12.1995 № 208-ФЗ «Об акционерных обществах» уставом компании может быть предоставлено право голоса владельцам конвертируемых ценных бумаг пропорционально тому числу акций, в которые может быть проконвертирована эта облигация или привилегированная акция. Если облигация обменивается на 15 обыкновенных акций, владельцы конвертируемых облигаций могут получить 15 голосов на каждую облигацию.
Обычно компания выпускает конвертируемые облигации, которые обмениваются на акции этой же фирмы. Однако встречаются выпуски облигаций, которые конвертируются в акции другой компании. Такие облигации называются обмениваемыми. Например, В США компания National Distillers выпустила облигации на сумму 49 млн долл. США, которые можно обменять на 20,41 акции компании Cetus Corporations. Выпуская обмениваемые облигации, компании, как правило, уже имеют на балансе акции другой фирмы, в которые будут конвертироваться облигации. Если этих акций у компании нет, ей в процессе конвертации придется покупать акции на рынке, что, возможно, слишком дорого.
В российской практике выпуск конвертируемых облигаций большая редкость. Успешно использовала преимущества конвертируемых облигаций акционерная компания ЛУКОЙЛ, которая разместила четыре выпуска конвертируемых облигаций. Если по первым двум выпускам действовало правило обязательной конвертации облигаций в акции в дату, установленную эмитентом, то по последним выпускам право на конвертацию принадлежало инвесторам.
Более 800 000 книг и аудиокниг! 📚
Получи 2 месяца Литрес Подписки в подарок и наслаждайся неограниченным чтением
ПОЛУЧИТЬ ПОДАРОК