9.2. Переход к односторонней трактовке риска в сопоставлении активов и портфелей
Одно из распространенных направлений модификации стандартной однофакторной модели ценообразования и введения новых мер риска диагностирования эффективности инвестирования основано на использовании полувариации в качестве меры риска активов, охватывающей только левостороннее (отрицательное) отклонение от среднего.
Данное предложение мотивируется тем, что дисперсия ожидаемой доходности является не лучшей мерой риска как минимум по двум причинам: во-первых, потому что она правдоподобна только для активов, у которых ожидаемая доходность имеет симметричное распределение, и, во-вторых, она может непосредственно применяться, только когда распределение является нормальным. Однако в реальности эти требования зачастую не выполняются.
В работе Ч. Мамогли и С. Дебюсси [Mamoghli, Daboussi, 2009] представлен сопоставительный анализ 27 развивающихся рынков на отрезке 1995–2004 гг. на предмет тестирования формы распределения месячной доходности. Авторы выявили, что по 20 развивающимся рынкам диагностируется положительная асимметрия, и по семи – отрицательная. Все рынки, за исключением рынка капитала Индии, демонстрируют островершинность в распределении доходности. Тестирование по критерию Jarque-Bera показало, что распределение нельзя признать нормальным по 22 рынкам из выборки (пять рынков могут быть охарактеризованы как подчиняющиеся нормальному распределению: Индия, Тайвань,
Израиль, Марокко, Колумбия). Более того статистический тест Jarque-Bera показал, что и глобальный рынок, оцениваемый по индексу MSCI ЕМ, не позволяет признать гипотезу о нормальности распределения месячной доходности (табл. 9.1).
Таблица 9.1
Сопоставительный анализ рынков на нормальность распределения месячных доходностей

Источник: [Mamoghli, Daboussi, 2009].
Как показывает анализ динамики акций российских компаний [Teplova, Shutova, 2011], а также компаний из развивающихся рынков капитала, одновременное выполнение требований о симметричности и нормальности распределения ожидаемой доходности не достигается[37]. Таблица П.1 приложения показывает островершинность распределения доходности (leptokurtosis) практически по всем компаниям выборки (50 российских публичных компаний, которые определяют 95 % капитализации российского фондового рынка – ММВБ)[38]. Аналогичная ситуация наблюдается и для временного отрезка 2008–2010 гг. Большинство компаний демонстрирует отрицательную асимметрию (в 2004–2007 гг. – 25 финансовых активов из 50, в 2008–2009 гг. – 30 финансовых активов из 50). Решение проблемы ненормальности распределения в ряде академических исследований предлагается искать через отказ от классической (двусторонней) дисперсии, и переход к односторонней (semivariance frameworks).
Односторонняя дисперсия доходности как оценка риска имеет несколько преимуществ. Во-первых, инвесторов действительно беспокоит именно отрицательная волатильность доходности, положительные всплески доходности рассматриваются как достоинство данного актива. Теория поведенческих финансов доказывает, что для инвесторов потери (отрицательная доходность) оказывают большее эмоциональное влияние, чем прибыль того же размера. Во-вторых, для применения односторонней дисперсии не требуется симметричность распределения. Более того, определение односторонней дисперсии предполагает расчет двух характеристик функции распределения: дисперсии и коэффициента скошенности, что дает возможность использовать однофакторную модель для оценки ожидаемого уровня доходности. Так как именно развивающиеся рынки капитала характеризуются повышенной асимметрией, то тестирование связи «односторонний риск – доходность» стало популярным направлением исследований с 90-х годов XX в. с ростом инвестиционной привлекательности быстро растущих рынков капитала Латинской Америки, Азии и Восточной Европы. В качестве односторонних мер систематического риска предлагается использовать односторонний бета-коэффициент (как показатель негативной чувствительности к рыночному риску).
Именно на учете вероятности отрицательных результатов строятся такие меры риска, как коэффициенты Сортино (простой и модифицированный), коэффициент UPR, мера Омега, коэффициент Эстрады.
Коэффициент Сортино (Sortino ratio – SR) предложен в 1994 г. Ф. Сортино и Л. Прайсом [Sortino, Price, 1994] и аналогичен коэффициенту Шарпа, однако вместо общей волатильности
портфеля используется так называемая волатильность вниз, как одностороннее отклонение доходности. Для коэффициента Сортино волатильность рассчитывается по значениям доходности, которые на рассматриваемом отрезке опускались ниже заданного (MAR) минимального допустимого уровня[39]:

?down — одностороннее стандартное отклонение (downside deviation).
Модифицированный коэффициент Сортино вычисляется относительно безрисковой ставки, т. е. в качестве минимально допустимого уровня доходности выступает усредненная безрисковая ставка за рассматриваемый период времени. Односторонняя дисперсия и стандартное отклонение рассчитываются по формуле:

Сопоставление динамики доходности и индикаторов риска по российскому рынку по различным активам глобального рынка представлены в табл. 9.2,9.3и9.4.
Коэффициент UPR (upside potential ratio) предложен в 1999 г. Ф. Сортино, R Ван дер Меером и А. Плантингом [Sortino et al., 1999]. Предложено вместо «чистого риска» как отклонения «вниз» доходности относительно некоторого заданного уровня рассматривать потенциал роста «вверх». Частные моменты высшего порядка (Higher Partial Moment – НРМ) с единичной степенью для функции полезности, которые рассчитываются по превышениям наблюдаемых значений доходности над минимально приемлемым уровнем, делятся на одностороннее стандартное отклонение. Таким образом, в отличие от коэффициента Сортино, где в числителе фигурирует спред между наблюдаемыми значениями доходности и минимально допустимым уровнем, в коэффициенте UPR в числителе – превышение средней доходности над минимальным уровнем.
Таблица 9.2
Традиционные индикаторы риска (стандартного отклонения) и доходности по индексу ММВБ, а также оценки коэффициентов асимметрии и эксцесса распределения недельной доходности

Источник: Расчеты по базе Bloomberg проведены Т.В. Тепловой и К.Ф. Кущ.
Таблица 9.3
Динамика показателей эффективности инвестирования в портфели глобального рынка – коэффициент Шарпа (Сортино) на данных недельной доходности



Источник: Расчеты по базе Bloomberg проведены Т.В. Тепловой и К.Ф. Кущ.
Таблица 9.4
Динамика оценок коэффициентов асимметрии (эксцесса) по портфелям глобального рынка


Аналитическое выражение имеет вид:

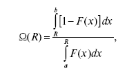
Омега-коэффициент (omega measure) предложен К. Китингом и В. Шедвиком [Keating, Shadwick, 2002] и при расчете учитывает все моменты распределения вероятности. Все доходности, превышающие заданный уровень, делятся на доходности, которые оказались ниже заданного значения:

где R – целевой уровень доходности (заданное значение); интервал от а до b – границы изменения доходности; F(x) – кумулятивная функция распределения доходности.
Омега-коэффициент показывает соотношение вероятностей получить положительную и отрицательную доходность, рассчитанных на основе эмпирически выявленного распределения доходностей активов.
Появление односторонних систематических мер риска (односторонних бета-коэффициентов) способствовало развитию серии показателей эффективности инвестирования, нормирующих полученные избыточные доходности (над неким заданным уровнем) на односторонние бета-коэффициенты (по аналогии с коэффициентом Трейнора). В работе Б. Мишра и М. Рэмана [Mishra, Rahman, 2002] предлагается в качестве знаменателя в коэффициенте Трейнора использовать односторонний бета-коэффициент Харлоу и Pao [Harlow, Rao, 1989]. Таким образом, аналитическое выражение для коэффициента Mishra, Rahman (MR) примет вид:

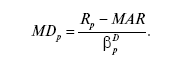
Еще одна попытка развить набор коэффициентов сопоставительной эффективности – использовать односторонний бета-коэффициент Эстрады. Заменяя в формуле MR знаменатель на одностороннюю бетаХ. Эстрады (2007), Ч. Мамогли и С. Дебюсси [Mamoghli, Daboussi, 2009] доказывают преимущества коэффициента MD,

Соответственно по аналогии с альфа-коэффициентом Дженсена, предлагается оценивать меру одностороннего несистематического риска – альфа-коэффициент для «чистого риска». Альфа-коэффициент для этого случая будет показывать превышение доходности портфеля над требуемым уровнем доходности в соответствии с моделью D-CAPM Эстрады [Estrada, 2007].
X. Эстрада предложил еще одну простую меру риска, учитывающую вероятность отрицательного результата инвестирования [Estrada, 2009]. Эта мера получила название «спред выигрыша-потерь» (gain-loss spread – GLS). Мера строится на учете за фиксированный период времени следующих оценок: вероятности потерь, средней величины потерь и средней величины выигрыша. Тестирование новой меры риска автор использовал для объяснения различий в месячной доходности портфелей локальных фондовых рынков и отраслевых портфелей на отрезке 1900–2007 гг. (в выборку вошли 22 развитых рынка капитала и 27 – развивающихся, 57 – отраслей). Эстрада доказывает, что GLS более корректная мера риска в объяснении различий доходности, чем стандартное отклонение или традиционный бета-коэффициент (причем как при сопоставлении стран, так и отраслевых портфелей). В табл. 9.5 представлены оценки доходности и риска по индексу S&P 500 за период с 1900 по 2007 г.
Таблица 9.5
Параметры для расчета меры риска Эстрады для портфеля S&P 500, %

Оценка на годовых интервалах для отрезка 1900–2007 гг. показывает, что GLS индекса S&P 500 составляет 19,1 %, в то время как оценка глобального портфеля составляет 17,6 %.
Источник: [Estrada, 2009].
Здесь и далее (табл. 9.6 и 9.7): Т – число наблюдений; AM – среднее арифметическое значение доходности на рассматриваемом промежутке времени; GM – среднее геометрическое значение доходности; SD – стандартное отклонение (сигма); PL – вероятность потерь; AL – средняя оценка потерь; EL – ожидаемые потери; PG – вероятность выигрыша; AG – средний выигрыш в терминах доходности; EG – ожидаемый выигрыш; GLS – искомая мера риска.
Для демонстрации новой меры риска рассмотрим поведение российского индекса акций биржи ММВБ (MICEX index) на 24-месячном отрезке с начала 2008 по конец 2009 г. Арифметическое среднее и стандартное отклонение помесячной доходности составляют —0,28 и 13,72 % соответственно (табл. 9.6).
Таблица 9.6
Помесячная доходность индекса ММВБ за период 2008–2009 гг., %

Источники: Сайт ММВБ; расчеты Т.В.Тепловой.
Вероятность потерь составляет 42 % (это результат учета тех месяцев из общей величины 24, для которых наблюдалась отрицательная доходность. Таких значений десять – 01.2008, 03.2008, 06.2008, 07.2008, 08.2008, 09.2008, 10.2008, 11.2008, 01.2009 и 06.2009). Ожидаемые потери составили —5,9 % = (0,42)(—14,1 %).
Аналогичные расчеты позволяют получить ожидаемый выигрыш. Вероятность выигрыша на рассматриваемом отрезке составила 58 % (индекс демонстрировал положительное значение в 14 месяцах из 24), среднемесячная доходность по этим месяцам составила 9,6 %, следовательно, ожидаемый выигрыш составил 5,6 % = (0,58)(9,6 %). Спред выигрыша и потерь по российскому рынку (GLS) будет рассчитан как разность ожидаемого выигрыша и ожидаемых потерь: GLS= 5,6 %—(—5,9 %) = 11,5 %.
Расчет для разных компаний российского рынка (в выборку попали 50 финансовых активов, которые определяют 95 % капитализации ММВБ) меры риска Эстрады на шестилетнем временном отрезке позволил получить следующие оценки. Период с января 2004 г. по январь 2010 г. разбит на два отрезка: докризисный и послекризисный. В табл. 9.7 и 9.8 показаны первые 10 компаний выборки по рыночной капитализации.
Таблица 9.7
Расчет GLS для компаний российского рынка за период с 2004 по 2007 г.

Таблица 9.8
Расчет GLS для компаний российского рынка за период с 2008 по 2009 г.
Более 800 000 книг и аудиокниг! 📚
Получи 2 месяца Литрес Подписки в подарок и наслаждайся неограниченным чтением
ПОЛУЧИТЬ ПОДАРОК