6.2. Модель оценки CDS на основе кредитного спреда и стоимости облигации
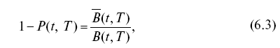
Между ценой рисковой дисконтной облигации и вероятностью дефолта существует фундаментальная зависимость. Данную зависимость отразили западные авторы в конце 1990-х годов, например, С. Дас [Das, 1998] и Д. Даффи [Duffle, 1999]. Для краткости проведем доказательство данной зависимости, ограничившись итоговой формулой:

где Т – срок погашения облигации (или облигаций); P(t, Т) – вероятность «выживания» рисковой дисконтной облигации, в момент времени t; B(t, Т) – цена рисковой дисконтной облигации в момент времени t; B(t, Т) – цена безрисковой дисконтной облигации в момент времени t.
Другими словами, 1 – P(t, Т) есть вероятность дефолта облигации в период между временем t и сроком погашения облигации.
Таким образом, стоимость дисконтной рискованной облигации равна стоимости аналогичной безрисковой, умноженной на вероятность дефолта.
На основе соотношения (6.3) можно построить модель оценки кредитного дефолтного свопа, выписанного на облигации отдельного эмитента.
Суть модели заключается в том, что «справедливую» цену инструмента можно получить при равенстве ожидаемых потоков для продавца и покупателя этого инструмента. Поскольку с помощью цен дисконтной рисковой и безрисковой облигации можно определить вероятность дефолта базового актива, то можно оценить вероятный денежный поток покупателя и продавца защиты. Единственный оценочный параметр в данном методе – коэффициент покрытия – часть номинала облигации, которую получает ее держатель при дефолте эмитента.
Полученные стоимости потоков должны быть приведены к одному моменту времени с помощью безрисковой ставки, и при этом учтена вероятность совершения платежа, или фактически вероятность дефолта в каждом отдельном периоде.
Оценка вероятности риска по формуле (6.3) предполагает, что спред между облигациями обусловлен только кредитным риском. Таким образом, временная структура спредов рисковой облигации относительно безрисковой является временной структурой вероятностей дефолта рисковой облигации.
При расчете приведенных потоков продавца защиты некоторые авторы расходятся во мнении, учитывать ли вероятность дефолта. Например, Дж. Халл [Hull, White, 2000] учитывает данную вероятность, а П. Шонбутчер [Schonbucher, 2003] нет. Дело в том, что от вероятности дефолта напрямую зависит, будет совершен платеж или нет, поскольку если наступит дефолт, то покупатель уже ничего не платит, а наоборот, получает платеж от продавца. На наш взгляд, данную вероятность следует принимать во внимание для расчета приведенных потоков продавца защиты, поскольку, если есть вероятность несовершения платежа, то ее надо учесть. И продавец должен ее учитывать, так как, если он, выписывая CDS, уверен, что дефолт базового актива не наступит, то продавец может принимать на себя неограниченные риски, или в предельном случае просить за предоставляемую защиту сколь угодно маленькую сумму. Поэтому в данном случае будем опираться на вариант модели Халла [Hull, White, 2000] и учтем вероятность совершения платежа при расчете будущих потоков продавца защиты.
Вторым отличием моделей является расчет вероятности дефолта в отдельном периоде между двумя периодическими платежами. Хотя Шонбутчер не использует напрямую вероятность дефолта, в его модели участвует интенсивность наступления дефолта в данном периоде, рассчитанная на основе формулы (6.3). Дело в том, что вероятность наступления дефолта в каждый отдельный период у Халла одинакова, т. е. в его модели используется вероятность дефолта в периоде I, и считается, что она будет неизменной на все остальные периоды. Таким образом, получается, что временная структура процентных ставок имеет плоскую форму – является горизонтальной прямой. Но как показывает практика, временная структура процентных ставок имеет не плоскую форму, а, как правило, форму возрастающей функции: ставки возрастают по мере увеличения срока, а также расширяются спреды. Поскольку временная структура процентных ставок отражает временную структуру вероятности дефолта, то для точности модели важно использовать именно реальную кривую процентных ставок. Действительно оценочная вероятность дефолта в более поздние периоды должна быть выше для участников сделки CDS, поскольку с увеличением срока увеличивается неопределенность. Поэтому будем использовать подход Шонбутчера и рассчитаем вероятность дефолта по периодам на основе временной структуры кривой процентных ставок.
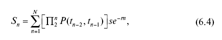
Приведенная стоимость периодических платежей продавца защиты выражается формулой:

где s – стоимость CDS в процентах от номинала облигации; r – непрерывная безрисковая ставка дисконтирования; n,N— период платежа и общее количество периодов (срок контракта); е-rn – дисконтирующий коэффициент по непрерывной годовой ставке r; P(tn_2, tn-1) – вероятность того, что по рисковой дисконтной облигации, в период времени (tn_2, tn-1) не произойдет дефолта;
Значит, произведение П2n P(tn_2, tn-1) выражает вероятность того, что не произойдет дефолта до начала периода n.
Таким образом, в формуле (6.4) суммируется приведенный платеж по CDS, умноженный на вероятность его совершения.
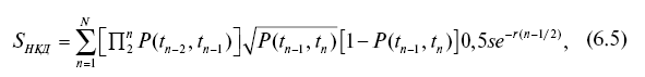
Кроме того, необходимо оценить платежи за защиту в период t – tn – время от совершения последнего платежа до дефолта. Поскольку распределение дефолтов между платежами считается равномерным, то в среднем дефолт должен произойти посередине периода. Поэтому приведенная стоимость одноразовой выплаты половины s в случае дефолта в периоде п рассчитывается по формуле:

где
– вероятность, что дефолта не произойдет до середины периода n; (1 – P(tn-1, tn) – вероятность наступления дефолта в период n.
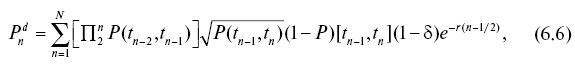
По аналогии с формулой (6.4) оценим приведенную стоимость платежа, которую получит покупатель защиты CDS в случае наступления дефолта:

где ? – коэффициент покрытия.
Следовательно, (1 – ?) – платеж продавца защиты в случае дефолта.
Как уже отмечалось, условием определения справедливой цены по CDS выступает равенство ожидаемых потоков покупателя и продавца CDS. Таким образом, цена CDS определяется по следующему уравнению относительно s:
Sn + SНКД=Pnd. (6.7)
Единственным оценочным параметром в данной модели является коэффициент покрытия 8. Он отражает, сколько будет стоить в процентах от номинала базовый актив, в нашем случае дисконтная облигация, сразу после наступления дефолта. Разницу между номиналом и стоимостью облигации после дефолта в заранее оговоренный день расчетов уплачивает продавец CDS покупателю. Данный параметр напрямую влияет на стоимость CDS, поэтому его оценка очень важна, поскольку, если переоценить покрытие в случае дефолта, то стоимость CDS будет заниженной, и наоборот.
В данной главе описывается общая методология оценки CDS, поэтому не будем заострять внимание на оценке коэффициента покрытия. Лишь заметим, что существует множество разных способов оценки данного параметра: метод Монте-Карло, модель Альтмана, оценка на основе исторических данных о стоимости долговых активов после дефолта, например, Меррик проводил подобные исследования [Merrick, 2001].
Кроме того, встречается такой вид CDS, как CDS с фиксированной ставкой покрытия (fixed recovery CDS), где ставка покрытия оговорена заранее и не зависит от того, насколько обесценится базовый актив после дефолта.
Следует также обратить внимание на следующие важные аспекты данной модели: временную структуру процентных ставок и безрисковую ставку
При расчете вероятности дефолта по периодам на основе временной структуры процентных ставок для точности модели необходимо правильно сконструировать кривую процентных ставок. Вероятность дефолта в каждом периоде рассчитывается как P(tn-1, tn), то необходима структура безрисковых и рисковых ставок на начало и конец каждого периода, т. е. фактически знать цены рисковой и безрисковой облигаций на начало и конец периода. Поскольку цена облигации и структура процентных ставок – понятия взаимосвязанные, будем говорить о структуре процентных ставок, подразумевая, что на ее основе узнаем цену дисконтной облигации.
В модели оценки CDS на основе кредитного спреда применяют два вида кривых временной структуры процентных ставок: рисковой и безрисковой, а их спред является основой для расчета вероятности. Проблема построения безрисковой кривой процентных ставок подробно рассмотрена в западной литературе.
Для оценки CDS рассчитываются форвардные спреды за каждый период, поскольку CDS оценивается в нулевой момент времени, а структура спредов нам необходима на протяжении всей жизни оцениваемого CDS. Поэтому для данной модели строится форвардная структура процентных ставок или спредов.
Очевидным способом построения кривой доходностей или спредов является построение на основе рыночных цен дисконтных облигаций разной срочности, а уже на их основе можно построить кривую форвардных спредов. Выбор доходностей именно дисконтных облигаций обусловлен тем, что они не имеют риска рефинансирования, т. е. их доходность устойчива к изменению кривой доходности. Доходность дисконтной облигации определенной продолжительности называется спот-ставкой на данный период, например, годовая спот-ставка.
Но дело в том, что дисконтных облигаций достаточно мало, и построить кривую временной структуры их доходностей на основе рыночных данных практически невозможно. Хотя на рынке США присутствует довольно большое количество так называемых стрипов – облигаций, структурированных в дисконтные из купонов купонных облигаций. Но во-первых, рынок США для данных целей не может выступать безусловным бенчмарком, а во-вторых, стрипы не столь ликвидны, как остальные государственные облигации, поэтому могут содержать премию за ликвидность. Таким образом, можно сделать вывод, что кривую форвардных процентных ставок необходимо моделировать, или строить косвенным путем, а не только на основе рыночной доходности дисконтных облигаций. Смоделированная кривая форвардных процентных ставок называется теоретической кривой форвардных процентных ставок.
Модели построения кривой временной спредов можно разделить на параметрические и непараметрические.
Параметрический метод построения структуры процентных ставок в настоящее время является наиболее распространенным методом построения срочной системы спот-ставок. Данный метод заключается в использовании одной параметрической функции для описания всего множества спот-ставок на сроках, не превышающих срок погашения наиболее длинной облигации. Его отличительная особенность от сплайнового подхода состоит в том, что для его реализации требуется гораздо меньший набор параметров, что одновременно позволяет достичь большей гладкости получаемой процентной структуры. Однако по этой причине у параметрического метода меньшая способность к аппроксимации сложных форм срочных структур, а также априорное наложение взаимосвязи динамики отдельных секторов фондового рынка, что затрудняет проведение анализа процентных ставок в рамках теории рыночной сегментации.
Задача исследователя, избравшего данный метод оценивания структуры процентных ставок, заключается в выборе функции, которая позволяет приемлемым образом описывать форму кривой спот-ставок. Выбор параметрической функции представляет собой весьма непростую проблему, выступающую зачастую предметом отдельного исследования.
В настоящее время применяются несколько моделей, различающихся функцией, используемой при выведении процентных ставок.
Можно выделить следующие виды параметрических кривых:
• константные кривые: S(0, T) = ?0. Здесь временная структура форвардных спредов выражается постоянной величиной, подобно тому, как было представлено в модели Халла [Hull, White, 2000].
• константные кривые относительно функции: S(0, T) = ?0 + f(x), где f(x) – некая функция-бенчмарк, относительно которой строится кривая временной структуры форвардных спредов;
• линейные кривые: S(0, T) = ?0 + ?1T.
Здесь кривая определяется функцией от времени с двумя параметрами;
• квадратичные кривые: S(0, T) = ?0 + ?1T + ?2T 2;
• моделируемые кривые. Здесь кривая временной структуры форвардных спредов вида S(?, 0, T) моделируется на основе определенных параметров, определяющих данную кривую.
Целевая функция для данных моделей имеет вид:

К непараметрическим кривым можно отнести следующие методы построения кривой форвардной структуры процентных ставок.
• Бутстреппинг (bootstrap) обычно используется для построения кривой временной структуры процентных ставок на основе доходностей купонных облигаций (так называемое стрипование). Суть метода в том, что на основе параметров длинных купонных облигаций и доходностей коротких дисконтных выстраивается кривая временной структуры процентных ставок. Рассмотрим механизм бутстреппинга подробнее.
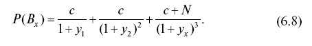
Допустим, на рынке обращаются три облигации: две казначейские дисконтные облигации D1 и D2 с дюрацией один и два года и с доходностями (спот-ставками) у1 и у2 соответственно, и одна купонная облигация Вx со сроком погашения через три года (рис. 6.1).
На основе двух данных спот-ставок можно вычислить спот-ставку теоретической бескупонной облигации с длительностью три года. Цена теоретической бескупонной казначейской ценной бумаги со сроком погашения три года будет равна приведенной стоимости трех денежных потоков реальной купонной казначейской облигации с длительностью три года. Доходность, используемая для дисконтировании в данном случае, и будет спот-ставкой, соответствующей данному денежному потоку. Таким образом, получаем уравнение (6.8), решая которое относительно^, рассчитываем спот-ставку на три года. Аналогичные действия проводятся при вычислении спот-ставок на более длительные периоды:


Рис. 6.1. Механизм бутстреппинга
Основной недостаток метода заключается в том, что немного безрисковых облигаций обращается одновременно на рынке, и приходится рассчитывать доходность за определенный период на основе далекого по сроку периода. Но как показывают расчеты и статистика, данный метод достаточно точно отражает временную структуру доходностей.
• Сплайновый метод – это статистический метод оценки срочной структуры процентных ставок; был впервые предложен Дж. Маккаллохом (McCulloch, 1971), и в настоящее время является одним из широко используемых подходов. Данный метод состоит в разбиении интервала, охватывающего максимальный срок обращения государственных облигаций, на отдельные сегменты, каждый из которых содержит собственную аппроксимирующую процентную структуру-функцию. К достоинствам метода можно отнести то, что он использует данные о всех государственных облигациях, находящихся в данный момент в обращении. Метод также достаточно подробно описан О. Васичек [Vasicek, Gong, 1982] и Дж. Маккаллохом.
Кроме того, существуют разные статистические и эконометрические методики аппроксимации и сглаживания временной кривой структуры процентных ставок.
Последним аспектом, который следовало бы рассмотреть в рамках оценки стоимости CDS-методом на основе кредитного спреда и стоимости облигаций, является выбор безрисковой ставки. При разработке любой модели вопросу выбора безрисковой ставки должно уделяться достаточно внимания, ведь, несмотря на кажущуюся простоту, это зачастую принципиальный и довольно сложный момент. Рассмотрим некоторые аспекты выбора безрисковой ставки и ее возможные варианты.
Наиболее распространенным инструментом, доходность которого отражает безрисковую ставку, являются долговые обязательства правительства США в виде облигаций, нот, векселей. Наряду с этим в качестве бенчмарка используют доходности долговых ценных бумаг правительств других стран. Но между доходностями правительственных облигаций разных государств возможен спред в несколько сотен процентных пунктов. Поэтому при выборе неверной безрисковой ставки модель может быть существенно смещена.
При использовании в качестве бенчмарка американских правительственных ценных бумаг проблема в том, что их доходность обусловлена не только кредитным риском. Как правило, в их цене заложена премия за ликвидность, возможности рефинансирования (репования) и налоговые преференции. Поэтому спред между ними и другими финансовыми активами может быть слишком большой, и оценки на их основе могут быть несостоятельными, что зачастую показывает практика.
Кроме того, за безрисковую ставку часто принимают либор. Но либор – это ставка, под которую занимают деньги крупнейшие и самые надежные банки, но даже не все из них имеют кредитный рейтинг ААА, поэтому данную ставку нельзя считать абсолютно безрисковой. К тому же некоторые правительственные облигации, не только США, имеют доходность ниже либора, т. е. их спред отрицательный, что подразумевает отрицательный риск дефолта, а это противоречит экономическому смыслу.
Исследователи склоняются к тому, чтобы в качестве безрисковой ставки брать доходность казначейских обязательств США, в то время как практики все более склоняются к тому, чтобы использовать либор.
Другой альтернативой при выборе безрисковой ставки доходности выступает ставка репо, дело в том, что ставка репо, как правило, наименьшая из ставок, под которую может рефинансироваться участник рынка. Кроме того, его заем обеспечен ценными бумагами, с рыночной стоимостью большей суммы займа, поэтому ставку репо в определенной мере можно считать безрисковой. Ряд исследований показали, что ставка репо в моделях оценки CDS является лучшей мерой безрисковой ставки и оценка на ее основе точнее. Хотя некоторые авторы говорят, что ставку репо возможно использовать только при оценке CDS невысокого рейтинга.
В заключение следует обратить внимание на следующие моменты. Данная модель применима к оценке более простых видов CDS, так называемых одноименных CDS (single name CDS), корзинные дефолтные свопы (basket credit default swap) с ее помощью оценить нельзя. Модель можно применять к оценке дисконтных облигаций, облигаций с постоянным или плавающим купоном, форвардных контрактов на CDS и процентных свопов. Основную роль в данной модели играют верное моделирование временной структуры процентных ставок, выбор безрисковой ставки и оценка покрытия долга, или ликвидационной стоимости облигации после наступления кредитного события. Кроме того, с помощью данной модели на основе рыночных доходностей долговых инструментов можно смоделировать временную структуру вероятностей дефолта, если применить ее в обратном направлении.
Более 800 000 книг и аудиокниг! 📚
Получи 2 месяца Литрес Подписки в подарок и наслаждайся неограниченным чтением
ПОЛУЧИТЬ ПОДАРОК