10.3. Дифференцированные и обобщающие показатели качества продукции и методы их определения
Под показателем качества понимается количественная оценка одного или нескольких свойств продукции, составляющих ее качество. Оценка качества продукции осуществляется по совокупности показателей, установленных в соответствии с назначением продукции. Система показателей качества включает дифференцированные и обобщающие показатели.
Дифференцированные показатели определяют качество конкретных видов продукции через количественную и качественную характеристики свойств продукции, входящих в состав ее качества. В зависимости от количества учитываемых свойств продукции дифференцированные показатели делятся на единичные и комплексные.
Единичные показатели характеризуют какое-то одно свойство продукции. Общепринятой является классификация единичных показателей, определяющих технический уровень качества (показатели назначения, надежности и долговечности, технологичности, стандартизации и унификации, эргономичности, эстетичности, патентно-правовой защиты, экологичности, транспортабельности, безопасности).
Комплексные показатели качества отражают наиболее существенную совокупность свойств продукции (несколько или все свойства данного вида продукции). Расчет комплексного показателя производится двумя методами: аналитическим и коэффициентным.
Аналитический метод используется в тех случаях, когда можно установить функциональную зависимость комплексного показателя от единичных. Этот метод применятся при оценке качества пищевых продуктов, парфюмерных и швейных изделий, мебели, т. е. в тех случаях, когда оценка показателей качества в основном производится органолептическим методом, где показатели выражаются в баллах.
При оценке уровня качества продукции (степени удовлетворения потребностей) возможны два подхода: 1) оценка уровня качества по отношению к лучшим образцам отечественных или зарубежных товаров, т. е. по отношению к базовым изделиям; 2) оценка как степень удовлетворения требований потребителей.
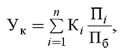
Уровень качества (Ук) при первом подходе определяется сопоставлением качества оцениваемого товара со значениями качества базового изделия где Пi, Пб – соответственно показатели качества оцениваемого и базового изделия.

С учетом коэффициентов весомости единичных показателей (Кi) уровень качества продукции находится по формуле где n – количество свойств товара, учитываемых при оценке качества.

Если уровень качества, рассчитанный по комплексному показателю, больше единицы или равен ей, то изделие по уровню качества является конкурентоспособным, если меньше единицы – неконкурентоспособным.
При втором подходе (оценка качества продукции в зависимости от степени удовлетворения требований потребителя) выделяют следующие уровни качества:
– первый уровень – товар удовлетворяет требованиям стандартов;
– второй уровень – товар соответствует назначению;
– третий уровень – товар соответствует требованиям рынка.
Качество товара на первом уровне оценивается как соответствующее или несоответствующее требованиям стандартов и зависит от конструкторских и технологических возможностей производства. При этом требования потребителей, как правило, не учитываются (технические параметры могут быть ниже требований потребителя или не востребованными ими). Второй уровень качества достигается тогда, когда продукция не только удовлетворяет требованиям стандартов, но и соответствует ее назначению, т. е. параметры продукции отвечают требованиям потребителя. В этом случае товар пользуется спросом, реализуется. Третий уровень качества достигается в том случае, если продукция соответствует требованиям рынка, т. е. имеет высокое качество в сочетании с доступной ценой (что делает товар конкурентоспособным на рынке).
Обобщающие показатели характеризуют качество не конкретных видов продукции, а уровень качества всей продукции организации, отрасли, страны. В число обобщающих показателей входят:
• объем и удельный вес новой продукции в общем объеме произведенной продукции;
• объем и удельный вес продукции, поставляемой на экспорт;
• объем и удельный вес сертифицированной продукции в объеме производства;
• объем и удельный вес продукции, соответствующей мировому уровню качества;
• косвенные показатели, учитываемые по предприятию, отрасли (потери от брака, штрафы и пени за поставки некачественной продукции, затраты на устранение рекламаций).
Все дифференцированные и обобщающие параметры показывают возможность продукции удовлетворять потребности. Но для корректной оценки способности товара удовлетворять потребности необходимо учитывать и затраты на создание продукции и ее эксплуатацию. Для этого определяется относительный комплексный показатель качества продукции, т. е. показатель эффективности (Эк), который рассчитывается по формуле где Эп – суммарный полезный эффект от потребления продукции определенного качества, р.; З – затраты на создание продукции, р.; З – затраты на потребление продукции (при эксплуатации изделия), р.

Таким образом, относительный комплексный показатель соизмеряет важнейшие показатели, определяющие конкурентоспособность товара: показатель соотношения качества и цены потребления (затрат на создание продукции и эксплуатацию товара).
Более 800 000 книг и аудиокниг! 📚
Получи 2 месяца Литрес Подписки в подарок и наслаждайся неограниченным чтением
ПОЛУЧИТЬ ПОДАРОК