8.3. Классификация методов оценки конкурентоспособности товаров. Дифференцированный и комплексный методы
Существует множество методов оценки конкурентоспособности товаров: прямые и косвенные; методы, применяемые на стадиях проектирования и изготовления продукции; методы, применяемые на стадиях реализации и эксплуатации товара; эмпирические (формализованные) и экспертные (интуитивные) методы оценки; расчетные, матричные, графические и комбинированные (расчетно-матричные и расчетно-графические) методы.
К прямым относятся методы, основанные на использовании общего показателя конкурентоспособности товара. Как правило, в зависимости от его значений товары ранжируют, присваивая первое место товару с наивысшим значением. Это самые распространенные в практике методы.
К косвенным относятся методы, базирующиеся на анализе параметров отдельных свойств продукции. Методы отражают качество или цену (как правило, технических или экономических параметров), что позволяет косвенно и неполно судить об уровне конкурентоспособности товара. В качестве критерия оценки конкурентоспособности товара может использоваться степень его соответствия требованиям конкретных стандартов.
Методы, применяемые на стадиях проектирования и изготовления продукции, основаны на определении уровня ее потенциальной конкурентоспособности. Эти методы используются для обоснования принятия решения о целесообразности промышленного производства продукции.
Методы, применяемые на стадиях реализации и эксплуатации товара, в основном привлекаются для обоснованного принятия решения о целесообразности модернизации или разработки новой продукции и ее реализации. Данные методы широко применяются торговыми и потребительскими организациями.
Точность оценки конкурентоспособности товара и принимаемые в дальнейшем решения в значительной степени зависят от выбора «базы» для сравнения. Понятие «база» при оценке конкурентоспособности товара может представлять собой:
• потребность покупателей в оцениваемой и конкурирующей продукции;
• величину необходимого потребителю полезного эффекта продукции или сумму средств, которую потребитель готов израсходовать на приобретение и потребление товара;
• конкурирующий товар;
• гипотетический образец;
• группу аналогов.
Оценка конкурентоспособности товара производится сопоставлением параметров анализируемой продукции с параметрами базы для сравнения. В случае, когда базой для сравнения является потребность покупателей, осуществляется перечень и установление величин параметров потребности покупателей в оцениваемой и конкурирующей продукции. Когда за базу для сравнения принимается величина необходимого потребителю полезного эффекта продукции или сумма средств, которые потребитель готов израсходовать на приобретение и потребление продукции, выделяются в качестве эталона полезный эффект или сумма средств, необходимая для приобретения товара. Если оцениваемая продукция имеет конкурента, то товар-образец моделирует потребность и выступает в качестве материализованных требований, которым должна удовлетворять продукция, подлежащая оценке. В случае, когда «базой» для сравнения выступает гипотетический образец, представляющий собой среднее значение параметров группы изделий, то выявляется потребность, которая может и не существовать. Поэтому эта оценка должна рассматриваться как ориентировочная и подлежащая дальнейшему уточнению. Чаще за «базу» для сравнения принимается группа аналогов, отобранных с точки зрения сопоставления классификационных параметров оцениваемого товара и образца товара-конкурента, из которых выбираются наиболее представительные прогрессивные, имеющие наилучшую перспективу для дальнейшего расширения объема продаж.
При оценке конкурентоспособности товара используются следующие расчетные методы: дифференцированный и комплексный методы оценки, смешанный метод, метод соотношения полезного эффекта от использования потребителем товара и затрат, метод верхнего предела цены, метод радара и экспертные методы.
Дифференцированный метод оценки конкурентоспособности основан на использовании и сопоставлении единичных параметров анализируемого товара и товара базы для сравнения.
Если за базу оценки принимается потребность, расчет единичного показателя конкурентоспособности товара (q) производится по формуле qi = Pi / Pi0 ? 100 %,
где qi – единичный параметрический показатель конкурентоспособности товара по i-му параметру (i = 1, 2, 3,…, n); Рi – величина i-го параметра для анализируемого товара; Pi0 – величина i-го параметра, при котором потребность удовлетворяется полностью.
Если анализируемая продукция имеет параметр, значение которого превышает потребности покупателя, то указанное повышение не будет оцениваться потребителем как преимущество и единичный показатель по данному параметру не может иметь значения больше 100 %.
Если за базу оценки принимается образец, расчет единичного показателя конкурентоспособности товара выполняется по формулам:
qi = Pi / Pi0 ? 100 %; qi = Pi0 / Pi ?100 %,
где qi – единичный параметрический показатель конкурентоспособности товара по i-му параметру.
Из этих двух формул выбирают ту, в которой росту единичного показателя соответствует повышение конкурентоспособности товара. Если технические параметры продукции не имеют количественной оценки, то для придания этим параметрам количественных характеристик используются экспертные методы оценки в баллах.
Дифференцированный метод позволяет лишь констатировать факт конкурентоспособности анализируемого товара или наличия у него недостатков по сравнению с товаром-аналогом. Он, однако, не учитывает влияние предпочтения потребителя при выборе товара. Для устранения этого недостатка используется комплексный метод оценки конкурентоспособности товара. Он основывается на применении комплексных (групповых) показателей или на сопоставлении удельных полезных эффектов анализируемого товара и образца.
Расчет группового показателя конкурентоспособности товара по нормативно-правовым параметрам (Iн-п) выполняется по формуле
Iн-п = ?qHI
где qнI – единичный показатель конкурентоспособности товара по i-му нормативному параметру, рассчитываемый по формуле определения единичного показателя; ? – знак произведения.
Отличительной особенностью данной формулы является то, что если хотя бы один из единичных показателей qнI будет равен 0 (что означает несоответствие параметра обязательной норме), то групповой показатель также будет равен 0 и товар при этом будет неконкурентоспособным.
Расчет группового показателя конкурентоспособности товара по техническим параметрам (кроме нормативных) (Iтех) определяется по формуле
Iтех = ? qj aj,
где aj – весомость j-го параметра в общем наборе из n технических параметров, характеризующих потребность покупателя.
Полученный групповой показатель по техническим параметрам (Iтех) характеризует степень соответствия данного товара существующей потребности по всему набору технических параметров (чем он выше, тем в целом полнее удовлетворяются запросы потребителей). Определение весомости каждого технического параметра осуществляется экспертным путем, основанным на результатах маркетинговых исследований и мнений экспертов. Иногда в целях упрощения расчетов и проведения ориентировочных оценок из технических параметров может быть выбрана наиболее весомая группа или применен комплексный параметр – «полезный эффект», который в дальнейшем участвует в сравнении.
Расчет группового показателя по экономическим параметрам производится на основе определения полных затрат потребителя на приобретение и потребление (эксплуатацию) товара, т. е. используется показатель цены потребления (Цпотр). Полные затраты потребителя определяются по формуле где З – полные затраты потребителя на приобретение и эксплуатацию товара; Зед – единовременные затраты на приобретение (покупку); ЗCi – суммарные затраты на эксплуатацию товара, относящиеся к i-му году ее службы; Т – срок службы;

i – год по порядку (при этом
, где Зj – эксплуатационные затраты по j-й статье; n – количество статей эксплуатационных затрат).
Расчет группового показателя по экономическим параметрам выполняется по формуле
Iэк = З / Зед = Ц / Цт-к,
где Iэк – групповой показатель по экономическим параметрам; З, Зед – затраты потребителя, соответственно полные и единичные; Ц, Цт-к – цена потребления соответственно по оцениваемому товару и товару-конкуренту.
Комплексный метод оценки конкурентоспособности товара предполагает расчет интегрального показателя, который определяется на основе сравнения групповых показателей оцениваемого товара по отношению к товару-конкуренту.
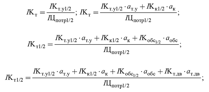
Показатель (индекс) конкурентоспособности анализируемого товара – 1 по сравнению с конкурентом – 2 (IKт) можно определить по формулам, которые расположены в последовательности от простых (и менее точных) до сложных – интегральных (наиболее точных):


где IKт. у, IKк, IKобс – соответственно индексы групповых показателей технического уровня, качества изготовления и качества обслуживания анализируемого товара и товара-конкурента; IKт. дв, IKпродв – индексы коэффициентов товародвижения и продвижения на рынок анализируемого товара и товара-конкурента; IКнорм – соотношение нормативных технических и правых параметров (безопасность и экологичность товара, его соответствие стандартам и законодательным нормам конкретного рынка сбыта) анализируемого товара и товара-конкурента; ат. у, ак, аабс, ат. дв, апрод, анорм – коэффициенты весомости (значимости) показателей, сумма которых в каждой формуле равна 1; IЦпотр – индекс цены потребления анализируемого товара и товара-конкурента.
При IKт ? 1 – анализируемый товар конкурентоспособен, а при IKт ? 1 – товар неконкурентоспособен по сравнению с товаром-конкурентом.
Более 800 000 книг и аудиокниг! 📚
Получи 2 месяца Литрес Подписки в подарок и наслаждайся неограниченным чтением
ПОЛУЧИТЬ ПОДАРОК