10.6. Оценка экономического эффекта и пути повышения качества продукции
Оценка экономического эффекта повышения качества продукции проводится методами, основанными на определении прироста произведенной продукции, прироста выручки от реализации продукции и прироста прибыли, обусловленных повышением качества товара. Влияние качества товара на прирост этих показателей можно определить по формулам:
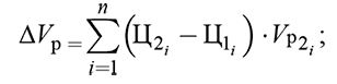
1) прирост произведенной продукции (?Vп):

2) прирост выручки от реализации (продаж) товара (?Vp):

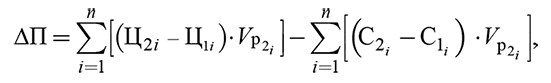
3) прирост прибыли от реализации продукции (?П):

где Vр2i – объем реализованной продукции повышенного качества в натуральном выражении; С2i, C1i – соответственно полная себестоимость единицы i-й продукции после и до изменения качества i, р.; n – количество наименований изделий; Ц2i, Ц1i – соответственно, цена единицы i-го изделия после и до изменения качества, р.
Поскольку влияние повышения качества продукции на прирост прибыли организации является многоплановым, то прирост прибыли может проявляться в следующих вариантах сочетания цены, себестоимости и объема продаж продукции.
1. При улучшении качества продукции общий объем прибыли может увеличиваться за счет расширения рынка сбыта и объема продаж. Если повышение качества товара не сопровождается ростом цен, то прирост прибыли (?П) определяется по формуле
?П = (Ц – С2)VП2 – (Ц – С1)VП1,
где Ц – цена единицы товара (в данном варианте величина постоянная), р.; VП1 и VП2 – соответственно объем продаж в натуральном выражении до и после повышения качества, при этом VП2 > VП1; С1, С2 – соответственно себестоимость единицы продукции до и после повышения качества товара, при этом, как правило, С2 > С1 на величину дополнительных затрат на повышение качества (темпы роста себестоимости должны уступать темпам роста объемов продаж).
2. Общий объем прибыли может увеличиваться за счет роста цен вследствие улучшения качества товара. Если повышение качества товара не сопровождается ростом продаж, но при этом увеличивается цена на единицу изделия, то прирост прибыли рассчитывается по формуле
?П = [(Ц2 – С2) – (Ц1 – С1)]VП,
где VП – объем продаж в натуральном выражении, который в данном варианте не изменился даже после повышения качества; Ц1 и Ц2 – соответственно цена продажи единицы товара до и после повышения качества, при этом, во-первых, Ц2 > Ц1, во-вторых, (Ц2 – Ц1) > (С2 – С1).
3. Повышение качества товара может сопровождаться увеличением объема продаж, повышением цен себестоимости. В этом случае прирост прибыли определяется по формуле
?П = (Ц2 – С2)VП2 – (Ц 1 – С1)VП1.
4. Прирост прибыли при стабильном объеме продаж и цен может увеличиваться при снижении себестоимости продукции, полученной за счет уменьшения затрат, связанных с сокращением брака при производстве продукции повышенного качества. В этом случае прирост прибыли определяется по формуле
?П = [(Ц – С2) – (Ц – С 1)] VП.
Прирост прибыли, получаемый от реализации товара повышенного качества, может быть определен по формуле
?П = ?ПV+?Пц±(Здоп-Збр),
где ?ПV – дополнительная прибыль, полученная предприятием от увеличения объемов реализации товара; ?Пц – дополнительная прибыль, полученная предприятием за счет роста цены продаж; Зд – дополнительные затраты на производство продукции, связанные с улучшением ее качества; Зб – величина снижения затрат на производство продукции в связи с сокращением брака.
Методология оценки повышения качества продукции указывает подходы к определению основных путей улучшения качества, среди них можно выделить следующие:
• совершенствование техники и технологии производства – замена устаревшего оборудования новым, более прогрессивным, автоматизация рабочих машин, технологических линий, широкое применение микропроцессоров;
• совершенствование организации производства и труда – улучшение деятельности служб технического контроля, повышение их ответственности и стимулирование качества продукции, что предполагает:
– заинтересованность высшего руководства в качестве функционирования системы управления производственным технологическим процессом:
– создание в каждом подразделении (цехе) групп работников по улучшению качества или центров ответственности за качество, в состав которых должны входить руководители, технологи, экономисты, работники отдела технического контроля, рабочие, что позволяет в процессе коллективного обсуждения проблемы качества выявлять неиспользованные резервы для улучшения качества, оперативно реагировать на возникающие отклонения и принимать необходимые меры;
– создание эффективной системы взаимодействия подразделений по реализации мероприятий, направленных на улучшение качества, минимизацию производственных затрат, обеспечение обучения и повышение квалификации кадров, мотивацию персонала;
– обеспечение на всех стадиях технологического процесса бездефектного производства и осуществление контроля на всех стадиях производственного цикла, начиная с контроля качества используемых сырья, материалов и комплектующих изделий (входной контроль) и заканчивая установлением соответствия выпущенного продукта техническим характеристикам и параметрам, предусмотренным стандартами или техническими условиями (выходной контроль);
• создание условий для реализации товаров на конкретном рынке – меры по поддержанию конкуренции, учет национальных и региональных особенностей рынка; организация сервиса (качественного технического обслуживания); реклама и другие средства воздействия на потребителя, включая деловую репутацию производителя, известность его товарного знака;
• стимулирование повышения качества – создание системы признания, морального и материального поощрения заслуг работников в достижении высокого качества и наказания за допущенные дефекты или ошибки при выполнении их функциональных обязанностей.
Выделяют три основных направления повышения заинтересованности работников в улучшении качества товара (работ, услуг): материальное, организационно-техническое и моральное стимулирование.
Материальное стимулирование предполагает выплату премий из прибыли в соответствии с утвержденным на предприятии положением за достижение высокого качества, бездефектное изготовление продукции.
Организационно-техническое стимулирование осуществляется посредством поощрения творческой, изобретательской и рационализаторской деятельности работников организации, организации групп (кружков) качества, пропаганды передового опыта, проведения конференций, семинаров, конкурсов на лучший бренд года.
Моральное стимулирование улучшения качества реализуется через присвоение почетных званий и награждение грамотами, вручение ценных подарков, объявление благодарностей, вручение медалей и других знаков отличия работникам, внесшим вклад в работу по повышению качества.
Для обеспечения качества в организациях формируются целевые научно-технические программы повышения качества продукции. Такие программы разрабатываются на конкретную продукцию и содержат задания по повышению технического уровня и качества создаваемой продукции, требования к ресурсному обеспечению всех этапов «петли качества» (требования к оборудованию, сырью, материалам, комплектующим изделиям, метрологическим средствам, производственному и управленческому персоналу), необходимые для производства изделий нужного качества, а также мероприятия, обеспечивающие реализацию требований всеобщей системы управления качеством продукции на предприятии.
Более 800 000 книг и аудиокниг! 📚
Получи 2 месяца Литрес Подписки в подарок и наслаждайся неограниченным чтением
ПОЛУЧИТЬ ПОДАРОК